| ||||||||||||||||||||||||||||
Скачать Методика определения расчетных величин пожарного риска на производственных объектахДата актуализации: 10.08.2017 |
| Статус: | действует |
| Название рус.: | Методика определения расчетных величин пожарного риска на производственных объектах |
| Дата добавления в базу: | 01.09.2013 |
| Дата актуализации: | 05.05.2017 |
| Дата введения: | 25.09.2009 |
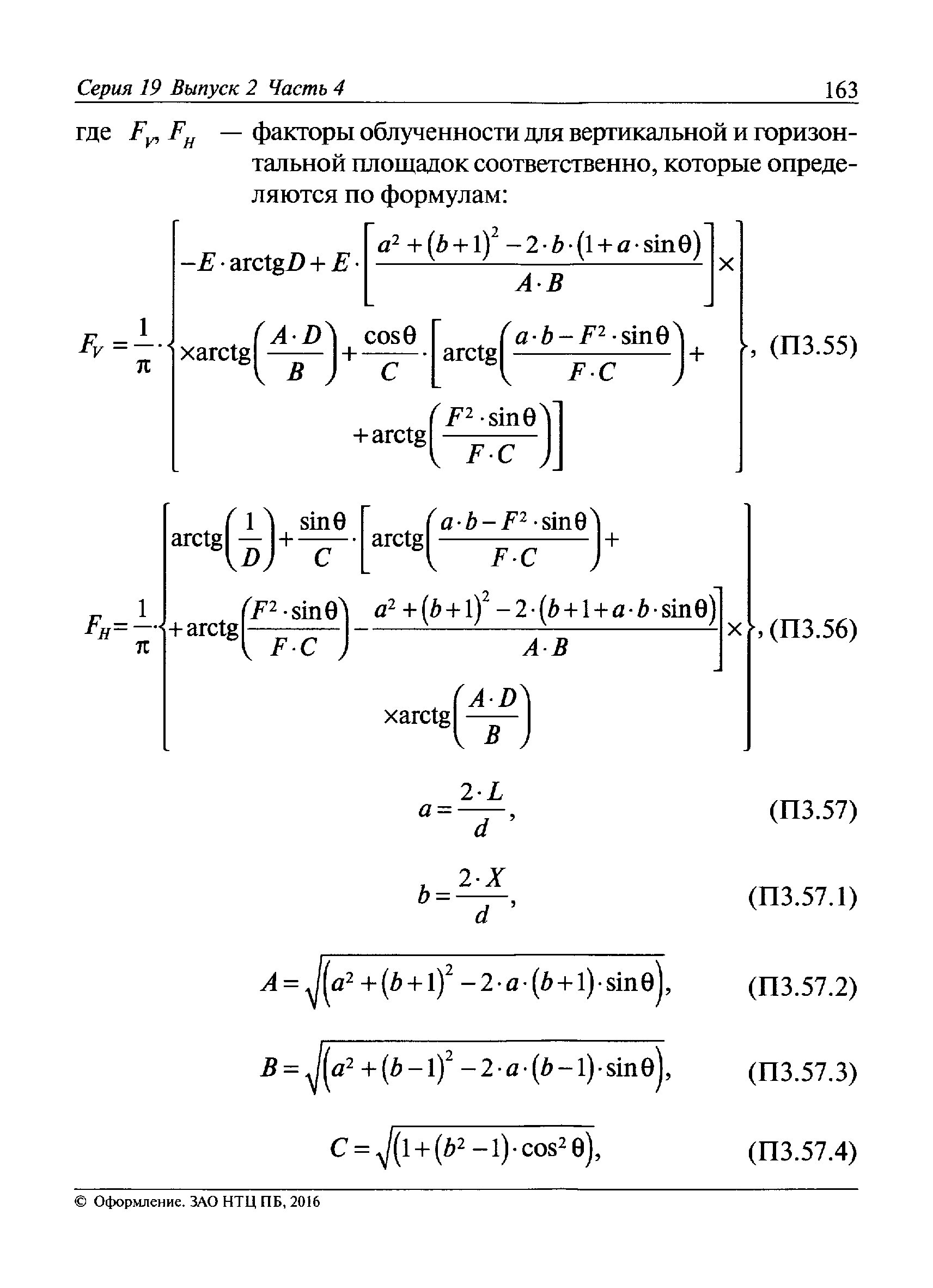
| Область применения: | Методика определения расчетных величин пожарного риска на производственных объектах устанавливает порядок расчета величин пожарного риска на производственных объектах. Положения Методики не распространяются на определение расчетных величин пожарного риска на производственных объектах специального назначения, в том числе объектах военного назначения, объектах производства, переработки, хранения радиоактивных и взрывчатых веществ и материалов, объектах уничтожения и хранения химического оружия и средств взрывания, наземных космических объектах и стартовых комплексах, горных выработках, объектах, расположенных в лесах, линейной части магистральных трубопроводов |
| Оглавление: | I. Общие положения II. Общие требования к определению расчетных величин пожарного риска III. Порядок вычисления расчетных величин пожарного риска на объекте Приложение № 1. Сведения по частотам реализации инициирующих пожароопасные ситуации событий для некоторых типов оборудования объектов, частотам утечек из технологических трубопроводов, а также частотам возникновения пожаров в зданиях Приложение № 2. Процедура построения логического дерева событий Приложение № 3. Методы оценки опасных факторов пожара Приложение № 4. Детерминированные и вероятностные критерии оценки поражающего действия волны давления и теплового излучения на людей Приложение № 5. Методы определения времени от начала пожара до блокирования эвакуационных путей в результате распространения на них опасных факторов пожара и расчетного времени эвакуации |
| Утверждён: | 10.07.2009 МЧС России (Russian Federation MChS 404) |
| Издан: | Бюллетень нормативных актов федеральных органов исполнительной власти (2009 г. (37)) ЗАО НТЦ ПБ (2016 г. (выпуск 2, часть 4)) |
| Расположен в: | |
| Список изменений: |
|
| Нормативные ссылки: |























































































Текстовое изменение № 1 от 04.03.2011












