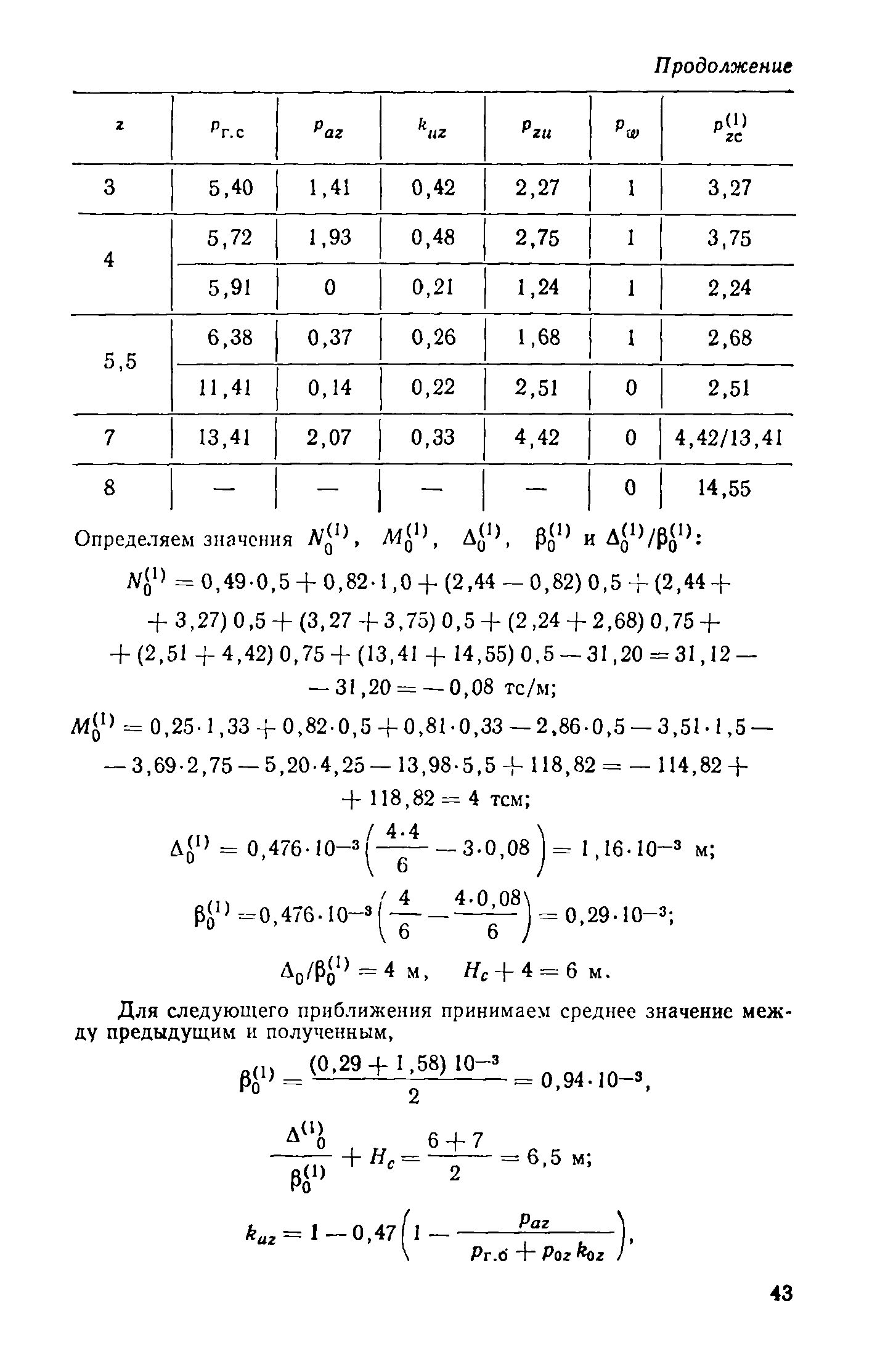
Скачать Руководство по проектированию стен сооружений и противофильтрационных завес, устраиваемых способом стена в грунтеДата актуализации: 10.08.2017
Руководство по проектированию стен сооружений и противофильтрационных завес, устраиваемых способом "стена в грунте"Статус: | действует | Название рус.: | Руководство по проектированию стен сооружений и противофильтрационных завес, устраиваемых способом "стена в грунте" | Дата добавления в базу: | 01.09.2013 | Дата актуализации: | 05.05.2017 | Дата введения: | 26.08.1977 | Область применения: | Требования должны выполняться при проектировании подземных и заглубленных в грунт стен сооружений, а также противофильтрационных завес, устраиваемых способом "стена в грунте". | Оглавление: | Предисловие 1 Общие положения 2 Нагрузки и воздействия 3 Основные положения расчета 4 Несущие стены 5 Анкеры 6 Противофильтрационные завесы 7 Требования по конструированию 8 Несущие стены 9 Противофильтрационные завесы Приложения | Разработан: | НИИОСП им. Н.М. Герсеванова Госстроя СССР ВНИИГС Минмонтажспецстроя СССР
| Утверждён: | НИИОСП им. Н.М. Герсеванова Госстроя СССР (Gersevanov NIIOSP, USSR Gosstroy )
| Издан: | Стройиздат (1977 г. )
| Расположен в: |
|
                                                                                                                                 
|