| ||||||||||||||||||||
Скачать Типовые нормы бесплатной выдачи специальной одежды, специальной обуви и других средств индивидуальной защиты работникам, занятым на работах с вредными и (или) опасными условиями труда, а также на работах, выполняемых в особых температурных условиях или связанных с загрязнениемДата актуализации: 10.08.2017 |
| Статус: | действует |
| Название рус.: | Типовые нормы бесплатной выдачи специальной одежды, специальной обуви и других средств индивидуальной защиты работникам, занятым на работах с вредными и (или) опасными условиями труда, а также на работах, выполняемых в особых температурных условиях или связанных с загрязнением |
| Дата добавления в базу: | 01.09.2013 |
| Дата актуализации: | 05.05.2017 |
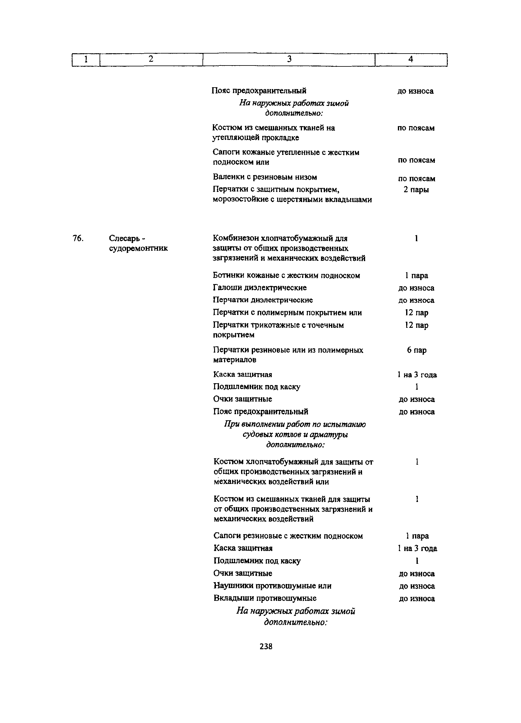
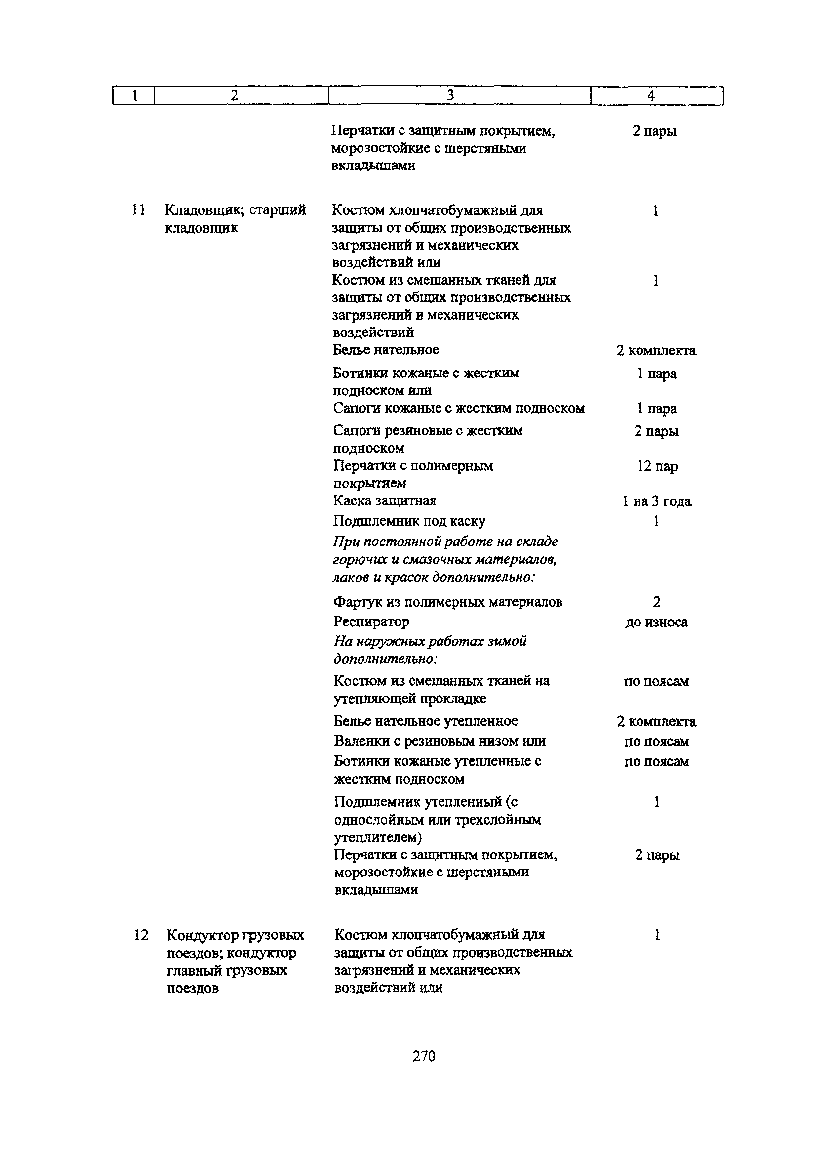
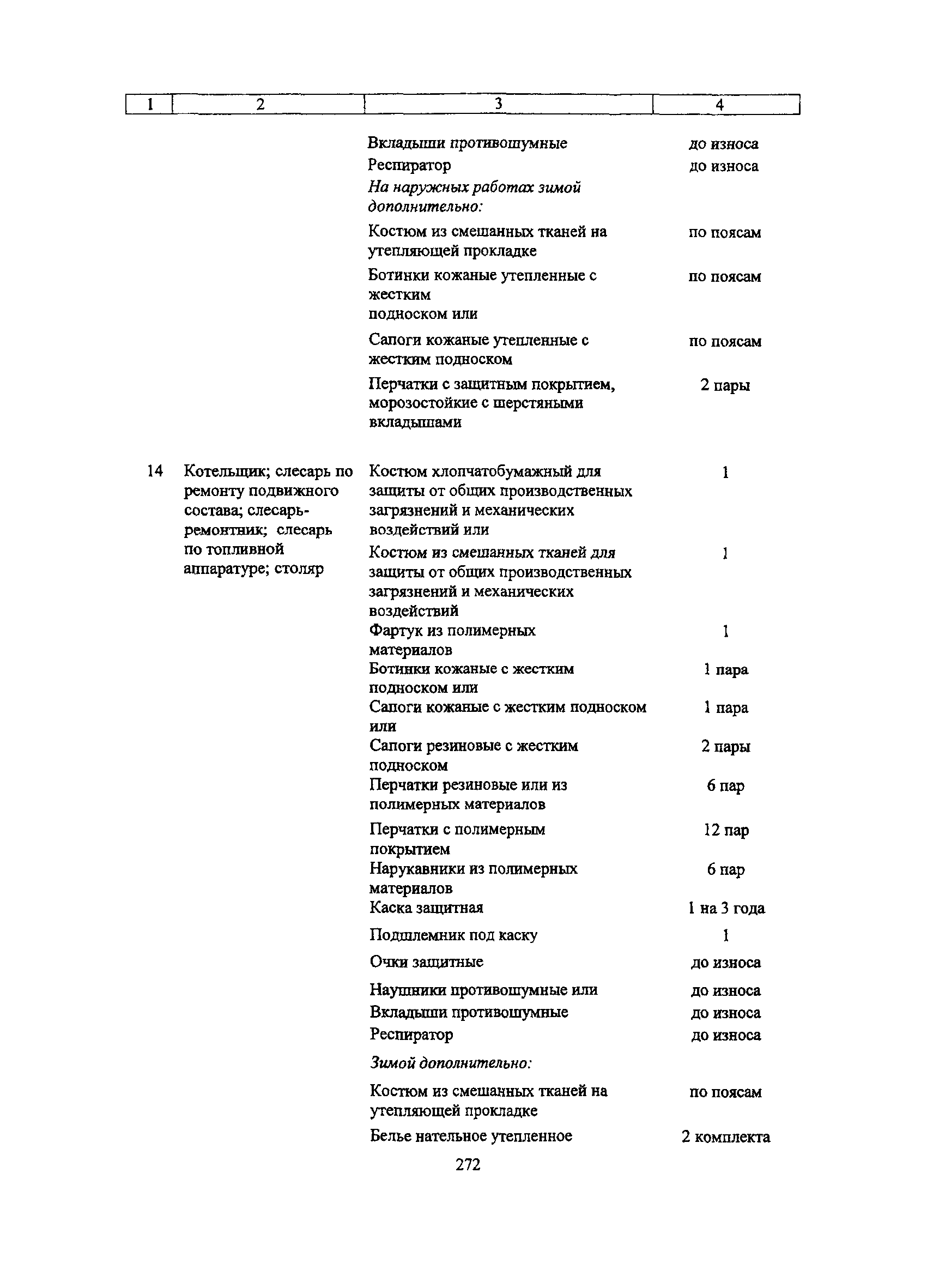
| Оглавление: | Приложение № 1 Типовые нормы бесплатной выдачи специальной одежды, специальной обуви и других средств индивидуальной защиты работникам автомобильного транспорта и шоссейных дорог, занятым на работах с вредными и (или) опасными условиями труда, а также на работах, выполняемых в особых температурных условиях или связанных с загрязнением Приложение № 2 Типовые нормы бесплатной выдачи специальной одежды, специальной обуви и других средств индивидуальной защиты работникам воздушного транспорта, занятым на работах с вредными и (или) опасными условиями труда, а также выполняемых в особых температурных условиях или связанных с загрязнением Перечень местностей Российской Федерации для бесплатной выдачи теплой специальной одежды и теплой специальной обуви работникам воздушного транспорта по климатическим районам Приложение № 3 Типовые нормы бесплатной выдача специальной одежды, специальной обуви я других средств индивидуальной защиты работникам морского транспорта, занятым на работах с вредными и (или) опасными условиями труда, а также на работах, выполняемых в особых температурных условиях или связанных с загрязнением Приложение № 4 Типовые нормы бесплатной выдача специальной одежды, специальной обуви я других средств индивидуальной защиты работникам речного транспорта, занятым на работах с вредными и (или) опасными условиями труда, а также выполняемых в особых температурных условиях или связанных с загрязнением Приложение № 5 Типовые нормы бесплатной выдачи специальной одежды, специальной обуви и других средств индивидуальной защиты работникам железнодорожного транспорта организаций (железнодорожного внутризаводского транспорта), занятым на работах с вредными и (или) опасными условиями труда, а также на работах, выполняемых в особых температурных условиях или связанных с загрязнением |
| Утверждён: | 22.06.2009 Минздравсоцразвития России (357н) |
| Расположен в: | |
| Список изменений: |
|


















































































































































































































































































































