Информационная система
«Ёшкин Кот»

Скачать базу одним архивом
Скачать обновления
История создания базы
Карта сайта

Скачать ТЕР 2001-24 СПб Сборник № 24. Теплоснабжение и газопроводы - наружные сети

Дата актуализации: 10.08.2017

ТЕР 2001-24 СПб

Сборник № 24. Теплоснабжение и газопроводы - наружные сети

Обозначение: ТЕР 2001-24 СПб
Обозначение англ: TER 2001-24 СПб
Статус:не действует
Название рус.:Сборник № 24. Теплоснабжение и газопроводы - наружные сети
Дата добавления в базу:01.09.2013
Дата актуализации:05.05.2017
Область применения:Территориальные единичные расценки на строительные работы для применения в Санкт-Петербурге в базисных ценах на 1 января 2000 года предназначены для определения прямых затрат в сметной стоимости выполнения работ по наружным сетям теплоснабжения и газопровода и составления сметных расчетов (смет), а также для расчетов за выполненные строительные работы. ТЕР отражают среднеотраслевой уровень по принятой технике, технологии и организации работ на каждый вид строительных работ и, в этой связи, могут применяться для определения сметной стоимости строительства всеми заказчиками и подрядчиками независимо от их ведомственной подчиненности и организационно-правовой формы.
Оглавление:Техническая часть
Раздел 01. Теплоснабжение - наружные сети
   01. Трубопроводы в каналах и надземные
   02. Бесканальная прокладка трубопроводов
   03. Установка компенсаторов
   04. Установка задвижек или клапанов стальных, вентилей и клапанов обратных муфтовых, грязевиков
Раздел 02. Газопроводы городов и посёлков
   01. Сборка и сварка газопроводов из полиэтиленовых труб
   02. Противокоррозионная изоляция стальных газопроводов
   03. Подземная укладка трубопроводов
   04. Надземная прокладка стальных газопроводов
   05. Установка стальных кранов и задвижек на газопроводах
   06. Вводы газопровода в здание
   07. Установка сборника конденсата, гидрозатворов и компенсаторов на газопроводах
   08. Прочие устройства на сетях газопроводов
   09. Врезка под газом в действующие стальные газопроводы
   10. Отключение и заглушка под газом действующих газопроводов
   11. Электрохимзащита газопроводов городов и посёлков
   12. Очистка полости и испытание трубопроводов
Раздел 03. Золошлакопроводы
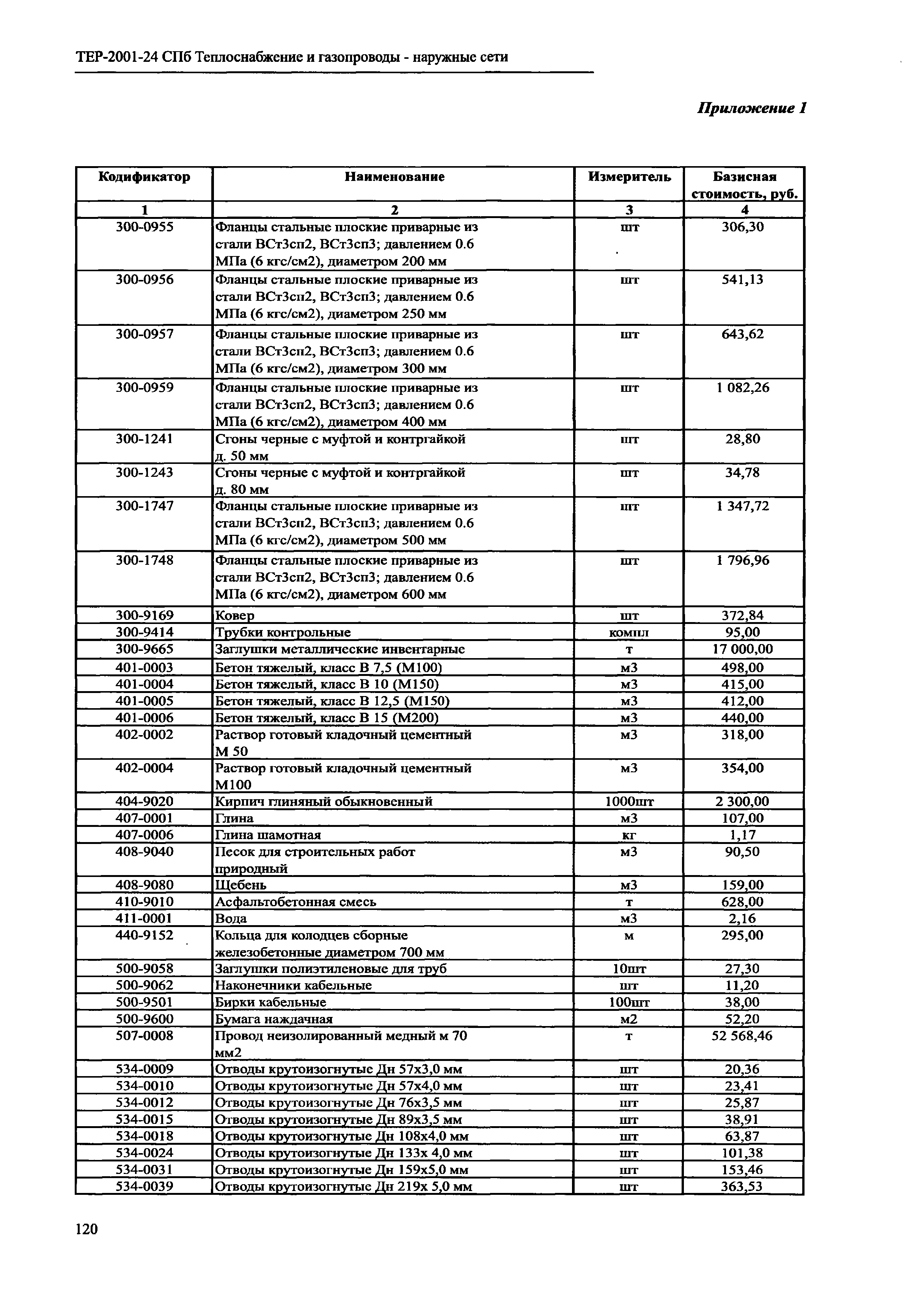
Приложение 1
Разработан: Государственное учреждение Центр мониторинга и экспертизы цен
Утверждён:07.09.2001 Комитет экономического развития, промышленной политики и торговли Администрации Санкт-Петербурга (223)
Расположен в:Техническая документация Строительство Нормативные документы Нормативные документы субъектов Российской Федерации Нормативные документы г. Санкт-Петербурга
Список изменений:
Заменяет собой:
Нормативные ссылки:
ТЕР 2001-24 СПбТЕР 2001-24 СПбТЕР 2001-24 СПбТЕР 2001-24 СПбТЕР 2001-24 СПбТЕР 2001-24 СПбТЕР 2001-24 СПбТЕР 2001-24 СПбТЕР 2001-24 СПбТЕР 2001-24 СПбТЕР 2001-24 СПбТЕР 2001-24 СПбТЕР 2001-24 СПбТЕР 2001-24 СПбТЕР 2001-24 СПбТЕР 2001-24 СПбТЕР 2001-24 СПбТЕР 2001-24 СПбТЕР 2001-24 СПбТЕР 2001-24 СПбТЕР 2001-24 СПбТЕР 2001-24 СПбТЕР 2001-24 СПбТЕР 2001-24 СПбТЕР 2001-24 СПбТЕР 2001-24 СПбТЕР 2001-24 СПбТЕР 2001-24 СПбТЕР 2001-24 СПбТЕР 2001-24 СПбТЕР 2001-24 СПбТЕР 2001-24 СПбТЕР 2001-24 СПбТЕР 2001-24 СПбТЕР 2001-24 СПбТЕР 2001-24 СПбТЕР 2001-24 СПбТЕР 2001-24 СПбТЕР 2001-24 СПбТЕР 2001-24 СПбТЕР 2001-24 СПбТЕР 2001-24 СПбТЕР 2001-24 СПбТЕР 2001-24 СПбТЕР 2001-24 СПбТЕР 2001-24 СПбТЕР 2001-24 СПбТЕР 2001-24 СПбТЕР 2001-24 СПбТЕР 2001-24 СПбТЕР 2001-24 СПбТЕР 2001-24 СПбТЕР 2001-24 СПбТЕР 2001-24 СПбТЕР 2001-24 СПбТЕР 2001-24 СПбТЕР 2001-24 СПбТЕР 2001-24 СПбТЕР 2001-24 СПбТЕР 2001-24 СПбТЕР 2001-24 СПбТЕР 2001-24 СПбТЕР 2001-24 СПбТЕР 2001-24 СПбТЕР 2001-24 СПбТЕР 2001-24 СПбТЕР 2001-24 СПбТЕР 2001-24 СПбТЕР 2001-24 СПбТЕР 2001-24 СПбТЕР 2001-24 СПбТЕР 2001-24 СПбТЕР 2001-24 СПбТЕР 2001-24 СПбТЕР 2001-24 СПбТЕР 2001-24 СПбТЕР 2001-24 СПбТЕР 2001-24 СПбТЕР 2001-24 СПбТЕР 2001-24 СПбТЕР 2001-24 СПбТЕР 2001-24 СПбТЕР 2001-24 СПбТЕР 2001-24 СПбТЕР 2001-24 СПбТЕР 2001-24 СПбТЕР 2001-24 СПбТЕР 2001-24 СПбТЕР 2001-24 СПбТЕР 2001-24 СПбТЕР 2001-24 СПбТЕР 2001-24 СПбТЕР 2001-24 СПбТЕР 2001-24 СПбТЕР 2001-24 СПбТЕР 2001-24 СПбТЕР 2001-24 СПбТЕР 2001-24 СПбТЕР 2001-24 СПбТЕР 2001-24 СПбТЕР 2001-24 СПбТЕР 2001-24 СПбТЕР 2001-24 СПбТЕР 2001-24 СПбТЕР 2001-24 СПбТЕР 2001-24 СПбТЕР 2001-24 СПбТЕР 2001-24 СПбТЕР 2001-24 СПбТЕР 2001-24 СПбТЕР 2001-24 СПбТЕР 2001-24 СПбТЕР 2001-24 СПбТЕР 2001-24 СПбТЕР 2001-24 СПбТЕР 2001-24 СПбТЕР 2001-24 СПбТЕР 2001-24 СПбТЕР 2001-24 СПбТЕР 2001-24 СПбТЕР 2001-24 СПбТЕР 2001-24 СПбТЕР 2001-24 СПбТЕР 2001-24 СПбТЕР 2001-24 СПбТЕР 2001-24 СПбТЕР 2001-24 СПбТЕР 2001-24 СПб

Текстовое изменение № 1 от 01.07.2008

№ 1№ 1№ 1№ 1№ 1

© 2013 Ёшкин Кот :-) Карта сайта