Информационная система
«Ёшкин Кот»

Скачать базу одним архивом
Скачать обновления
История создания базы
Карта сайта

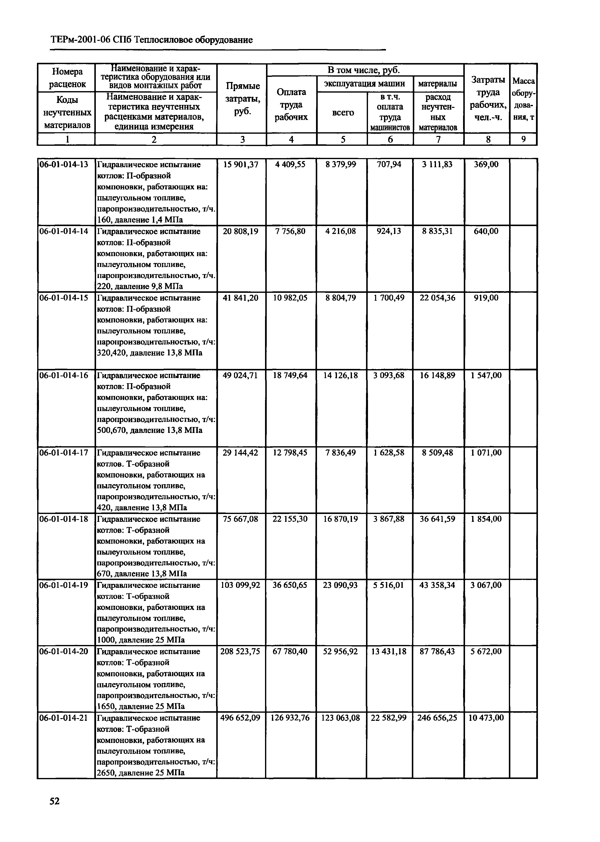
Скачать ТЕРм 2001-06 СПб Теплосиловое оборудование. Территориальные единичные расценки на монтаж оборудования

Дата актуализации: 10.08.2017

ТЕРм 2001-06 СПб

Теплосиловое оборудование. Территориальные единичные расценки на монтаж оборудования

Обозначение: ТЕРм 2001-06 СПб
Обозначение англ: TERm 2001-06 СПб
Статус:не действует
Название рус.:Теплосиловое оборудование. Территориальные единичные расценки на монтаж оборудования
Дата добавления в базу:01.09.2013
Дата актуализации:05.05.2017
Область применения:Расценки для применения в Санкт-Петербурге в базисных ценах на 01 января 2000 года предназначены для определения затрат в сметной стоимости выполнения работ по монтажу теплосилового оборудования и составления сметных расчетов (смет), а также для расчетов за выполненные работы. ТЕРм отражают среднеотраслевой уровень затрат по принятой технике, технологии и организации работ на каждый вид монтажных работ и в этой связи могут применяться для определения сметной стоимости всеми заказчиками и подрядчиками независимо от их ведомственной подчиненности и организационно-правовой формы. Сборник содержит сметные расценки по монтажу паровых и водогрейных стационарных котлов, котельно-вспомогательного оборудования, оборудования водоподготовки, паро и газотурбинных агрегатов, турбинно-вспомогательного оборудования при строительстве новых, расширении и реконструкции и техническом перевооружении действующих тепловых электрических станций, промышленных и отопительных котельных.
Оглавление:Техническая часть
Приложение 1
Приложение 2
Приложение 3
Отдел 01. Паровые и водогрейные стационарные котлы
   Раздел 01. Элементы паровых стационарных котлов
   Раздел 02. Котлы паровые автоматизированные
   Раздел 03. Элементы водогрейных котлов
Отдел 02. Котельно-вспомогательное оборудование
   Раздел 01. Топочные устройства
   Раздел 02. Оборудование пылеприготовления
Отдел 03. Оборудование водоподготовки
   Раздел 01. Аппаратура для химической очистки воды
   Раздел 02. Аппаратура для термической обработки воды
   Раздел 03. Стационарные баки
   Раздел 04. Установки для преобразования пара
Отдел 04. Агрегаты паротурбинные и газотурбинные
   Раздел 01. Турбины паровые стационарные и установки газотурбинные стационарные
   Раздел 02. Конденсаторы
   Раздел 03. Турбогенераторы
Отдел 05. Турбинное вспомогательное оборудование
   Раздел 01. Турбинное вспомогательное оборудование
Приложение 1
Разработан: Государственное учреждение Центр мониторинга и экспертизы цен
Утверждён:07.09.2001 Комитет экономического развития, промышленной политики и торговли Администрации Санкт-Петербурга (223)
Расположен в:Техническая документация Экология СТРОИТЕЛЬНЫЕ МАТЕРИАЛЫ И СТРОИТЕЛЬСТВО Строительная промышленность Стоимость строительства и обслуживания зданий и сооружений -50 Стоимость строительных и строительно-монтажных работ Строительство Нормативные документы Нормативные документы субъектов Российской Федерации Нормативные документы г. Санкт-Петербурга Документы Системы нормативных документов в строительстве Нормативные документы по экономике к.81 Ценообразование и сметы Классификатор ISO Нормативные документы по экономике Ценообразование и сметы
Заменяет собой:
Нормативные ссылки:
ТЕРм 2001-06 СПбТЕРм 2001-06 СПбТЕРм 2001-06 СПбТЕРм 2001-06 СПбТЕРм 2001-06 СПбТЕРм 2001-06 СПбТЕРм 2001-06 СПбТЕРм 2001-06 СПбТЕРм 2001-06 СПбТЕРм 2001-06 СПбТЕРм 2001-06 СПбТЕРм 2001-06 СПбТЕРм 2001-06 СПбТЕРм 2001-06 СПбТЕРм 2001-06 СПбТЕРм 2001-06 СПбТЕРм 2001-06 СПбТЕРм 2001-06 СПбТЕРм 2001-06 СПбТЕРм 2001-06 СПбТЕРм 2001-06 СПбТЕРм 2001-06 СПбТЕРм 2001-06 СПбТЕРм 2001-06 СПбТЕРм 2001-06 СПбТЕРм 2001-06 СПбТЕРм 2001-06 СПбТЕРм 2001-06 СПбТЕРм 2001-06 СПбТЕРм 2001-06 СПбТЕРм 2001-06 СПбТЕРм 2001-06 СПбТЕРм 2001-06 СПбТЕРм 2001-06 СПбТЕРм 2001-06 СПбТЕРм 2001-06 СПбТЕРм 2001-06 СПбТЕРм 2001-06 СПбТЕРм 2001-06 СПбТЕРм 2001-06 СПбТЕРм 2001-06 СПбТЕРм 2001-06 СПбТЕРм 2001-06 СПбТЕРм 2001-06 СПбТЕРм 2001-06 СПбТЕРм 2001-06 СПбТЕРм 2001-06 СПбТЕРм 2001-06 СПбТЕРм 2001-06 СПбТЕРм 2001-06 СПбТЕРм 2001-06 СПбТЕРм 2001-06 СПбТЕРм 2001-06 СПбТЕРм 2001-06 СПбТЕРм 2001-06 СПбТЕРм 2001-06 СПбТЕРм 2001-06 СПбТЕРм 2001-06 СПбТЕРм 2001-06 СПбТЕРм 2001-06 СПбТЕРм 2001-06 СПбТЕРм 2001-06 СПбТЕРм 2001-06 СПбТЕРм 2001-06 СПбТЕРм 2001-06 СПбТЕРм 2001-06 СПбТЕРм 2001-06 СПбТЕРм 2001-06 СПбТЕРм 2001-06 СПбТЕРм 2001-06 СПбТЕРм 2001-06 СПбТЕРм 2001-06 СПбТЕРм 2001-06 СПбТЕРм 2001-06 СПбТЕРм 2001-06 СПбТЕРм 2001-06 СПбТЕРм 2001-06 СПбТЕРм 2001-06 СПбТЕРм 2001-06 СПбТЕРм 2001-06 СПбТЕРм 2001-06 СПбТЕРм 2001-06 СПбТЕРм 2001-06 СПбТЕРм 2001-06 СПбТЕРм 2001-06 СПбТЕРм 2001-06 СПбТЕРм 2001-06 СПбТЕРм 2001-06 СПбТЕРм 2001-06 СПбТЕРм 2001-06 СПбТЕРм 2001-06 СПбТЕРм 2001-06 СПбТЕРм 2001-06 СПбТЕРм 2001-06 СПбТЕРм 2001-06 СПбТЕРм 2001-06 СПбТЕРм 2001-06 СПбТЕРм 2001-06 СПб

© 2013 Ёшкин Кот :-) Карта сайта