| ||||||||||||||||||||||||||||||||
Скачать ФЕР 81-02-Пр(2)-2001 Приложения. Книга 2 (редакция 2008 года). Приложения. Федеральные единичные расценки на строительные работыДата актуализации: 10.08.2017
|
| Обозначение: | ФЕР 81-02-Пр(2)-2001 |
| Обозначение англ: | FER 81-02-Пр(2)-2001 |
| Статус: | утратил силу |
| Название рус.: | Приложения. Книга 2 (редакция 2008 года). Приложения. Федеральные единичные расценки на строительные работы |
| Дата добавления в базу: | 01.09.2013 |
| Дата актуализации: | 05.05.2017 |
| Дата введения: | 11.10.2013 |
| Область применения: | Федеральные единичные расценки на строительные и специальные строительные работы предназначены для определения затрат при выполнении строительных работ и составления на их основе сметных расчетов (смет) на производство указанных работ. |
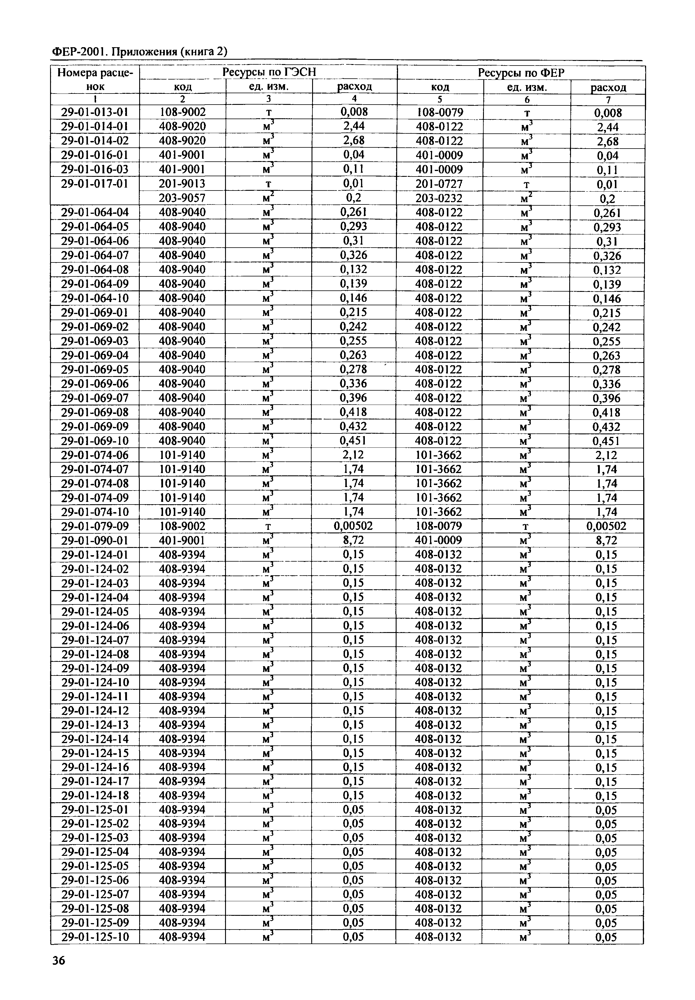
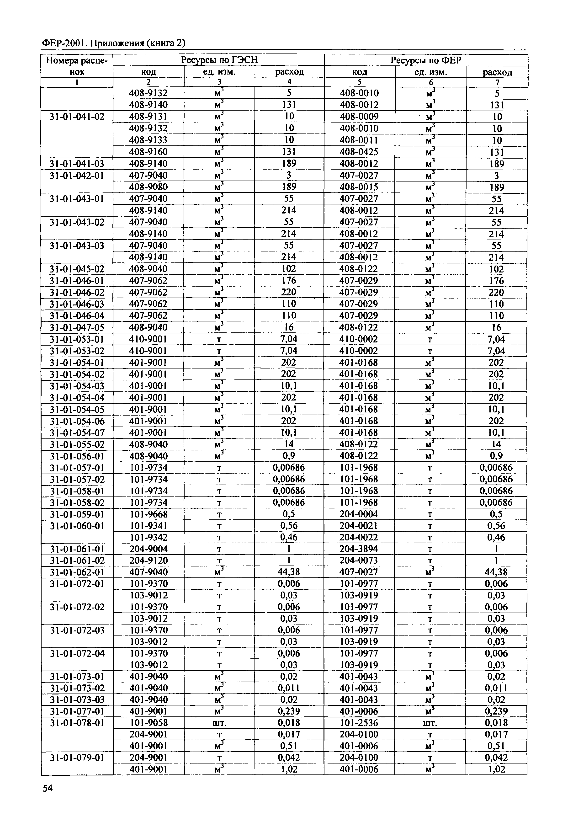
| Оглавление: | Железные дороги Тоннели и метрополитены Мосты и трубы Аэродромы Трамвайные пути Линии электропередач Сооружения связи, радиовещания и телевидения Горнопроходческие работы Земляные конструкции гидротехнических сооружений Бетонные и железобетонные конструкции гидротехнических сооружений Каменные конструкции гидротехнических сооружений Металлические конструкции гидротехнических сооружений Деревянные конструкции гидротехнических сооружений Гидроизоляционные работы в гидротехнических сооружениях Берегоукрепительные работы Судовозные пути стапелей и слипов Подводно-строительные (водолазные) работы Промышленные печи и трубы Работы при реконструкции зданий и сооружений Озеленение, защитные лесонасаждения Приложение 48. Показатели часовой оплаты труда рабочих-строителей в зависимости от среднего разряда работ для ФЕР частей 1,3-47 Приложение 49. Показатели часовой оплаты труда рабочих-строителей в зависимости от среднего разряда работ для ФЕР части 2 Приложение 50. Сметные расценки на эксплуатацию строительных машин и механизмов в базисных ценах по состоянию на 01.01.2000 г. Приложение 50. Сметные цены на материалы, изделия и конструкции в базисных ценах по состоянию на 01.01.2000 г. |
| Разработан: | Федеральный центр ценообразования в строительстве и промышленности строительных материалов |
| Утверждён: | 17.11.2008 Министерство регионального развития Российской Федерации (253) |
| Издан: | ФГУ Федеральный центр ценообразования в строительстве и промышленности строительных материалов (2009 г. ) |
| Расположен в: | |
| Список изменений: |
|

















































































































































































































































Текстовое изменение № И2 от 03.08.2010





Текстовое изменение № И6 от 29.12.2011






