Информационная система
«Ёшкин Кот»

Скачать базу одним архивом
Скачать обновления
История создания базы
Карта сайта

Скачать ГОСТ Р 52978-2008 Информатизация здоровья. Состав данных о лечебно-профилактическом учреждении для электронного обмена этими данными. Общие требования

Дата актуализации: 10.08.2017

ГОСТ Р 52978-2008

Информатизация здоровья. Состав данных о лечебно-профилактическом учреждении для электронного обмена этими данными. Общие требования

Обозначение: ГОСТ Р 52978-2008
Обозначение англ: GOST R 52978-2008
Статус:действует
Название рус.:Информатизация здоровья. Состав данных о лечебно-профилактическом учреждении для электронного обмена этими данными. Общие требования
Название англ.:Health informatics. Database structure of medical entity for electronic exchange of these data. General requirements
Дата добавления в базу:01.09.2013
Дата актуализации:05.05.2017
Дата введения:01.05.2009
Область применения:Стандарт устанавливает общие требования к составу данных электронного паспорта лечебно-профилактического учреждения для обеспечения электронного обмена этими данными при информационном взаимодействии автоматизированных информационных систем. Стандарт распространяется на автоматизированные информационные системы, формирующие или использующие данные электронного паспорта лечебно-профилактического учреждения. Понятие "электронный обмен" используется с целью распространения области применения стандарта только на данные электронного паспорта лечебно-профилактического учреждения, используемые для взаимодействия автоматизированных информационных систем.
Оглавление:1 Область применения
2 Нормативные ссылки
3 Термины, определения и сокращения
4 Общие требования
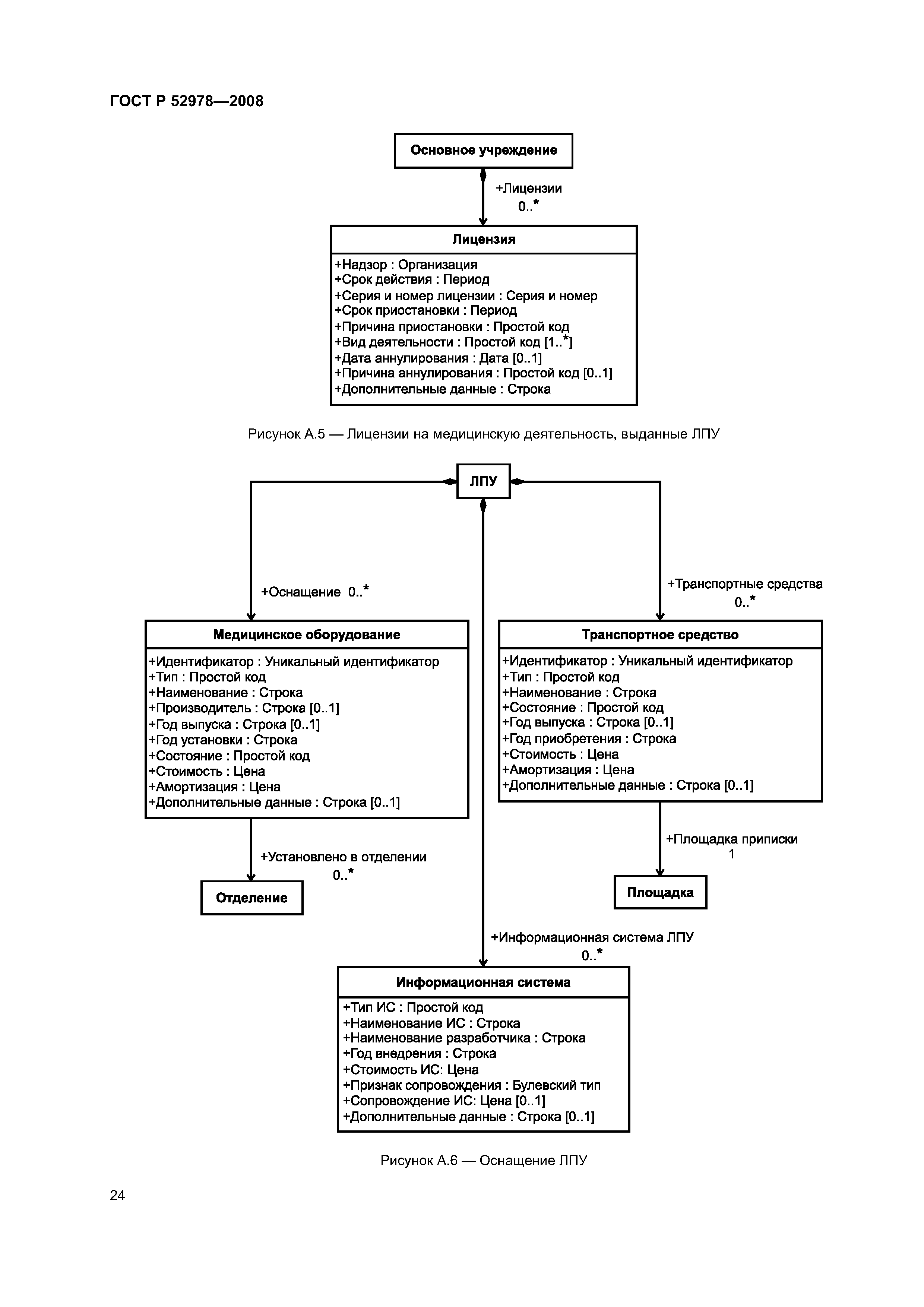
Приложение А (справочное) Диаграммы классов информационных объектов на унифицированном языке моделирования UML
Библиография
Разработан: ГУП ЦНИИ организации и информатизации здравоохранения
Утверждён:13.10.2008 Федеральное агентство по техническому регулированию и метрологии (241-ст)
Издан: Стандартинформ (2009 г. )
Расположен в:Техническая документация Электроэнергия ИНФОРМАЦИОННЫЕ ТЕХНОЛОГИИ. МАШИНЫ КОНТОРСКИЕ Применение информационных технологий Применение информационных технологий в здравоохранении Экология ИНФОРМАЦИОННЫЕ ТЕХНОЛОГИИ. МАШИНЫ КОНТОРСКИЕ Применение информационных технологий Применение информационных технологий в здравоохранении
Нормативные ссылки:
ГОСТ Р 52978-2008ГОСТ Р 52978-2008ГОСТ Р 52978-2008ГОСТ Р 52978-2008ГОСТ Р 52978-2008ГОСТ Р 52978-2008ГОСТ Р 52978-2008ГОСТ Р 52978-2008ГОСТ Р 52978-2008ГОСТ Р 52978-2008ГОСТ Р 52978-2008ГОСТ Р 52978-2008ГОСТ Р 52978-2008ГОСТ Р 52978-2008ГОСТ Р 52978-2008ГОСТ Р 52978-2008ГОСТ Р 52978-2008ГОСТ Р 52978-2008ГОСТ Р 52978-2008ГОСТ Р 52978-2008ГОСТ Р 52978-2008ГОСТ Р 52978-2008ГОСТ Р 52978-2008ГОСТ Р 52978-2008ГОСТ Р 52978-2008ГОСТ Р 52978-2008ГОСТ Р 52978-2008ГОСТ Р 52978-2008ГОСТ Р 52978-2008ГОСТ Р 52978-2008ГОСТ Р 52978-2008

© 2013 Ёшкин Кот :-) Карта сайта