Информационная система
«Ёшкин Кот»

Скачать базу одним архивом
Скачать обновления
История создания базы
Карта сайта

Скачать Методические рекомендации по проведению полевых испытаний свай в сооружениях ПГС методом ЭЛДИ с применением ударной нагрузки

Дата актуализации: 10.08.2017

Методические рекомендации по проведению полевых испытаний свай в сооружениях ПГС методом ЭЛДИ с применением ударной нагрузки

Статус:действует
Название рус.:Методические рекомендации по проведению полевых испытаний свай в сооружениях ПГС методом ЭЛДИ с применением ударной нагрузки
Дата добавления в базу:01.09.2013
Дата актуализации:05.05.2017
Область применения:Методические рекомендации определяют проведение полевых испытаний несущей способности свай методом ЭЛДИ с применением ударной нагрузки, включая подготовку конструкций, использование оборудования и измерительной аппаратуры, подачу испытательной нагрузки, получение и обработку информации, представление и сдачу-приемку результатов испытаний, а также технику безопасности и контроль качества работ в процессе производства. Методические рекомендации предназначены для использования при выполнении полевых испытаний свай всех видов, в том числе призматических, цилиндрических, свай-оболочек, с уширенной пятой, висячих, свай-столбов и других, независимо от их материала, способа погружения или устройства в грунте (забивных, вибропогружаемых, буронабивных и т.п.), проводимых в комплексе проектно-изыскательских работ и контрольных испытаний при проектировании и возведении объектов промышленно-гражданского строительства, а также транспортного и гидротехнического назначения
Оглавление:Предисловие
1. Общие положения
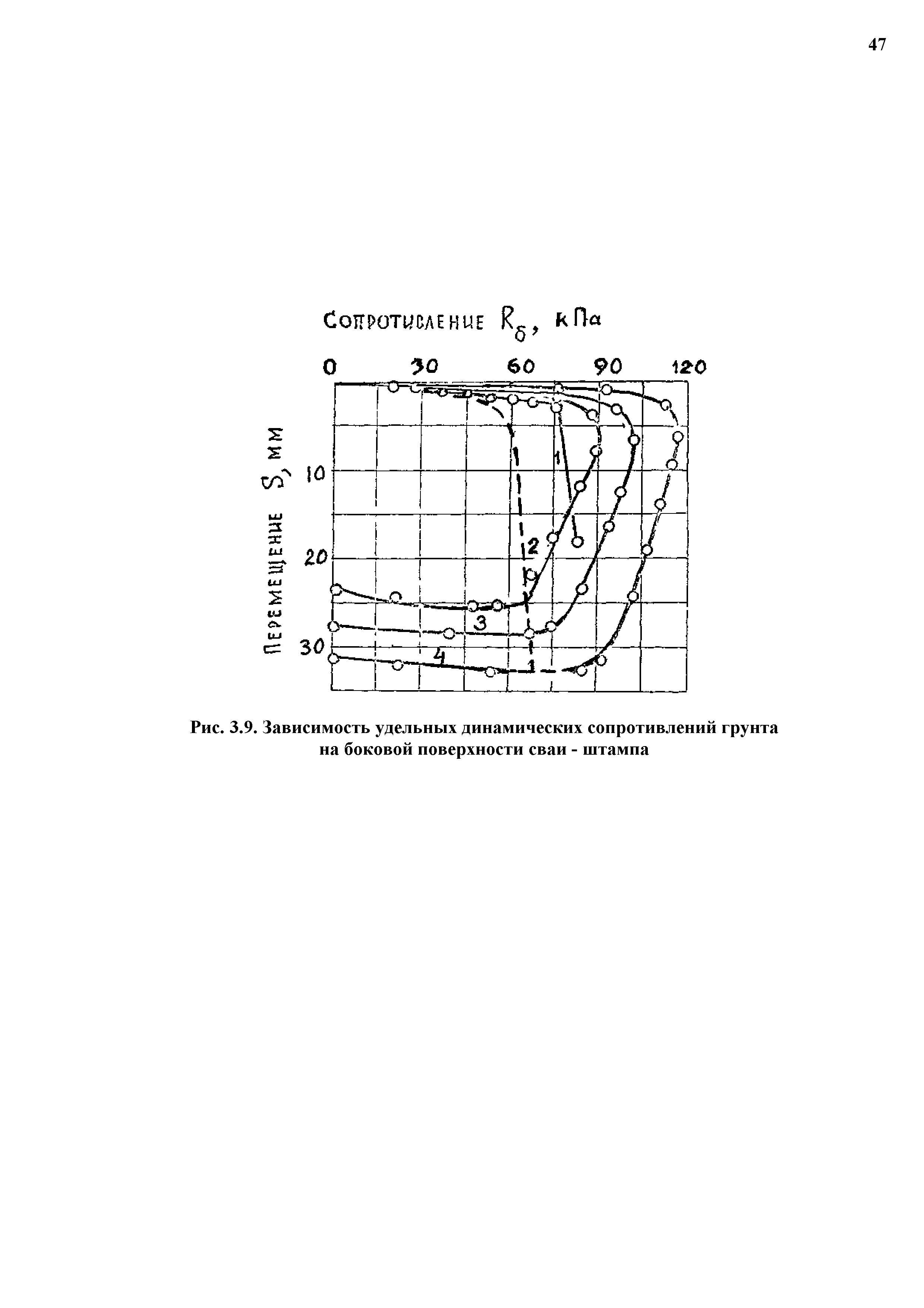
2. Принципы и теоретические основы метода ЭЛДИ
3. Нагружающие устройства ударного действия
4. Измерительные приборы и регистрирующая аппаратура
5. Подготовка свай к испытаниям
6. Проведение испытаний свай ударной нагрузкой
7. Обработка и представление результатов испытаний
8. Техника безопасности при производстве работ
9. Технический контроль и приемка работ
10. Приложения
Разработан: НИИОСП им. Герсеванова Госстроя России
Утверждён: НИИОСП им. Н.М. Герсеванова Госстроя СССР (Gersevanov NIIOSP, USSR Gosstroy )
Расположен в:Техническая документация Экология ГРАЖДАНСКОЕ СТРОИТЕЛЬСТВО Гражданское строительство в целом Строительство Справочные документы Директивные письма, положения, рекомендации и др.
Нормативные ссылки:

© 2013 Ёшкин Кот :-) Карта сайта