Информационная система
«Ёшкин Кот»

Скачать базу одним архивом
Скачать обновления
История создания базы
Карта сайта

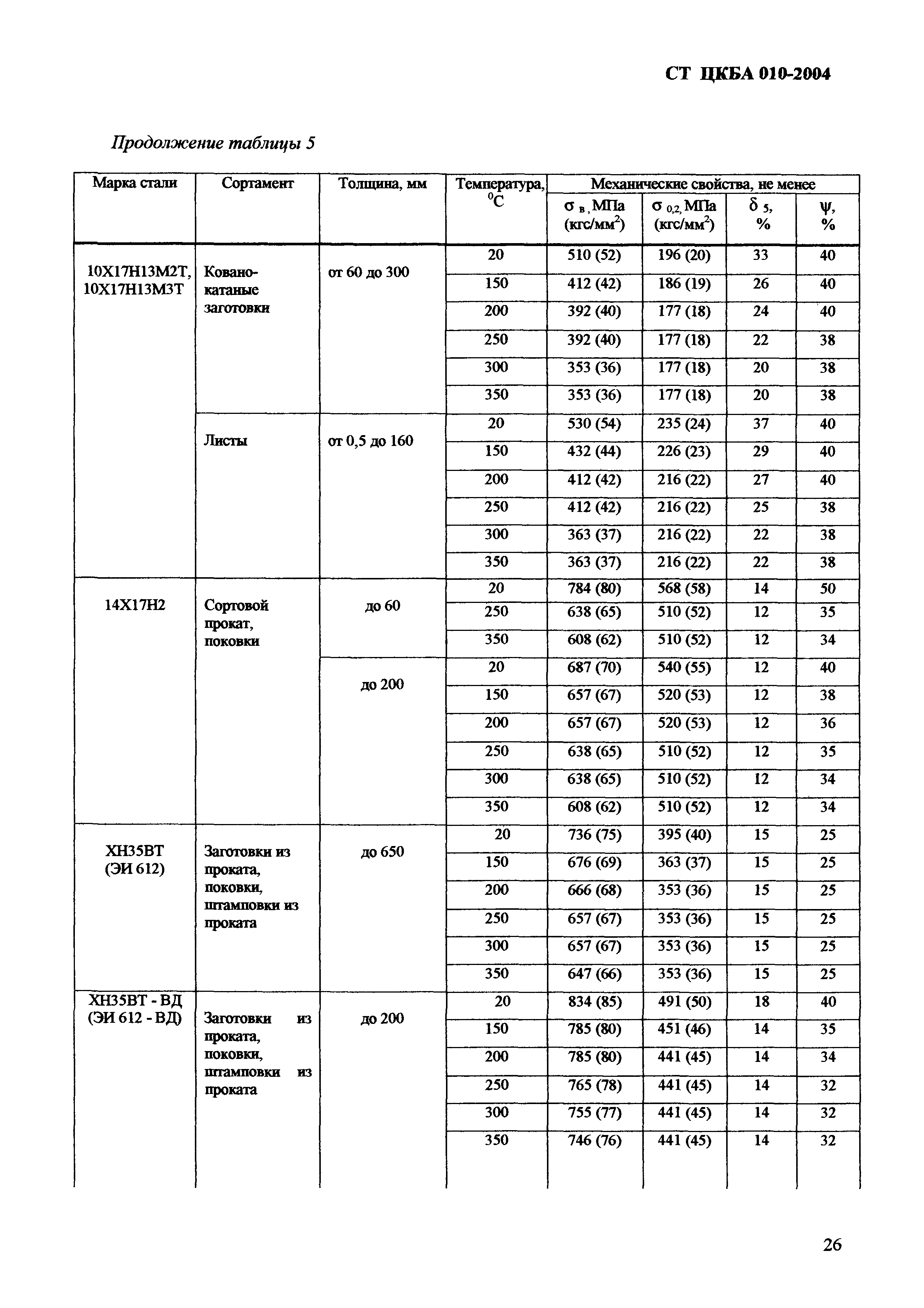
Скачать СТ ЦКБА 010-2004 Арматура трубопроводная. Поковки, штамповки и заготовки из проката. Технические требования

Дата актуализации: 10.08.2017

СТ ЦКБА 010-2004

Арматура трубопроводная. Поковки, штамповки и заготовки из проката. Технические требования

Обозначение: СТ ЦКБА 010-2004
Обозначение англ: 010-2004
Статус:действует
Название рус.:Арматура трубопроводная. Поковки, штамповки и заготовки из проката. Технические требования
Дата добавления в базу:01.09.2013
Дата актуализации:05.05.2017
Дата введения:01.01.2005
Область применения:Распространяется на поковки, штамповки, заготовки из проката для трубопроводной арматуры, устанавливаемой на опасных производственных объектах, поднадзорных Федеральной службе по экологическому, технологическому и атомному надзору, Министерству обороны России (МО РФ) и арматуры общепромышленного назначения. Устанавливает группы заготовок и основные технические требования к их приемке и поставке. Не распространяется на заготовки, технические требования к которым установлены специальными стандартами или техническими условиями, в том числе на заготовки основного расчетного крепежа.
Оглавление:1. Область применения
2. Классификация
3. Технические требования
4. Методы испытаний
5. Правила приемки
6. Порядок оформления в чертежах технических требований, предъявляемым к деталям, изготовляемым из заготовок
Приложение А. Марки стали в зависимости от диаметра (толщины) поковок и заготовок из проката требуемой категории прочности
Приложение Б. Критическая температура хрупкости
Приложение В. Примечания к измерениям твердости по шкале "С" Роквелла
Приложение Г. Перечень ссылочных нормативных документов
Разработан: ЗАО НПФ ЦКБА
Научно-промышленная ассоциация арматуростроителей (НПАА)
Утверждён:28.12.2004 ЗАО НПФ ЦКБА (58)
Принят:29.07.2004 ОАО НИИхиммаш (NIIkhimmash OAO 7064-21-8/517)
07.02.2005 Федеральная служба по экологическому, технологическому и атомному надзору (06-04/106)
22.12.2004 ФГУП ЦНИИКМ Прометей (6-11/2021)
ТК 259 Трубопроводная арматура и сильфоны
1024 ВП МО РФ
08.02.2005 Федеральная служба по экологическому, технологическому и атомному надзору - Управление технического надзора (09-03/220)
Издан: ЗАО НПФ ЦКБА (2004 г. )
ЗАО НПФ ЦКБА (2011 г. )
Расположен в:Техническая документация
Список изменений:
Заменяет собой:
Нормативные ссылки:
СТ ЦКБА 010-2004СТ ЦКБА 010-2004СТ ЦКБА 010-2004СТ ЦКБА 010-2004СТ ЦКБА 010-2004СТ ЦКБА 010-2004СТ ЦКБА 010-2004СТ ЦКБА 010-2004СТ ЦКБА 010-2004СТ ЦКБА 010-2004СТ ЦКБА 010-2004СТ ЦКБА 010-2004СТ ЦКБА 010-2004СТ ЦКБА 010-2004СТ ЦКБА 010-2004СТ ЦКБА 010-2004СТ ЦКБА 010-2004СТ ЦКБА 010-2004СТ ЦКБА 010-2004СТ ЦКБА 010-2004СТ ЦКБА 010-2004СТ ЦКБА 010-2004СТ ЦКБА 010-2004СТ ЦКБА 010-2004СТ ЦКБА 010-2004СТ ЦКБА 010-2004СТ ЦКБА 010-2004СТ ЦКБА 010-2004СТ ЦКБА 010-2004СТ ЦКБА 010-2004СТ ЦКБА 010-2004СТ ЦКБА 010-2004СТ ЦКБА 010-2004СТ ЦКБА 010-2004СТ ЦКБА 010-2004СТ ЦКБА 010-2004СТ ЦКБА 010-2004СТ ЦКБА 010-2004СТ ЦКБА 010-2004СТ ЦКБА 010-2004СТ ЦКБА 010-2004СТ ЦКБА 010-2004СТ ЦКБА 010-2004СТ ЦКБА 010-2004СТ ЦКБА 010-2004СТ ЦКБА 010-2004СТ ЦКБА 010-2004СТ ЦКБА 010-2004СТ ЦКБА 010-2004СТ ЦКБА 010-2004СТ ЦКБА 010-2004СТ ЦКБА 010-2004СТ ЦКБА 010-2004СТ ЦКБА 010-2004СТ ЦКБА 010-2004

Текстовое изменение № 7 от 01.01.2015

№ 7№ 7№ 7№ 7№ 7№ 7№ 7№ 7№ 7№ 7№ 7№ 7№ 7№ 7

Текстовое изменение № 8 от 01.12.2016

№ 8№ 8№ 8№ 8№ 8№ 8№ 8№ 8№ 8№ 8№ 8№ 8№ 8№ 8№ 8№ 8

© 2013 Ёшкин Кот :-) Карта сайта