Информационная система
«Ёшкин Кот»

Скачать базу одним архивом
Скачать обновления
История создания базы
Карта сайта

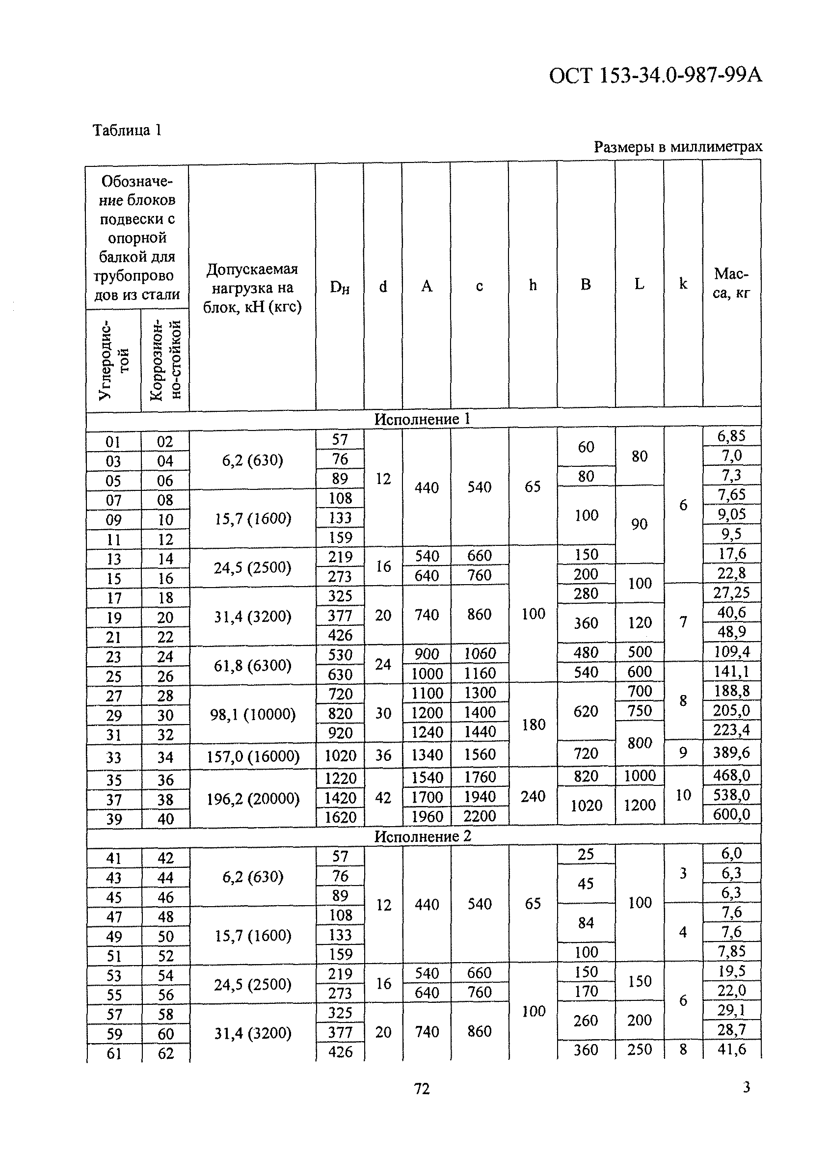
Скачать ОСТ 153-34.0-987-99А Сборочные единицы и детали подвесок станционных трубопроводов атомных станций Pу <= 4,0 МПа (40 кгс/см2). Блок подвески с опорной балкой. Конструкция и размеры

Дата актуализации: 10.08.2017

ОСТ 153-34.0-987-99А

Сборочные единицы и детали подвесок станционных трубопроводов атомных станций Pу <= 4,0 МПа (40 кгс/см2). Блок подвески с опорной балкой. Конструкция и размеры

Обозначение: ОСТ 153-34.0-987-99А
Обозначение англ: OST 153-34.0-987-99А
Статус:отменен
Название рус.:Сборочные единицы и детали подвесок станционных трубопроводов атомных станций Pу <= 4,0 МПа (40 кгс/см2). Блок подвески с опорной балкой. Конструкция и размеры
Дата добавления в базу:01.09.2013
Дата актуализации:05.05.2017
Дата введения:25.08.2004
Область применения:Стандарт распространяется на блоки с опорной балкой для подвески горизонтальных станционных трубопроводов низкого давления групп В и С атомных станций по ПН АЭ Г-7-008-89 "Правила устройства и безопасной эксплуатации оборудования и трубопроводов атомных энергетических установок" с рабочей температурой среды не более 300 градусов Цельсия. Подвески трубопроводов относятся к классу 2 безопасности по ОПБ-88/97 "Общие положения обеспечения безопасности атомных станций" и к категории 1 сейсмостойкости по ПН АЭ Г-5-006-89 "Нормы проектирования сейсмостойких атомных станций". Допускается применение сборочных единиц и деталей подвесок по настоящему стандарту для станционных трубопроводов атомных станций, на которые распространяются РД 03-94 "Правила пара и горячей воды" и СНиП 3.05.05-94
Оглавление:1. Область применения
2. Нормативные ссылки
3. Конструкция и размеры
4. Требования
Приложение А. Библиография
Разработан: ОАО Энергомонтажпроект
ОАО Севзапэнергомонтажпроект
Утверждён:23.01.2001 Министерство энергетики РФ (Russian Federation Ministry of Energy 19)
Расположен в:Техническая документация Экология ЭНЕРГЕТИКА И ТЕПЛОТЕХНИКА Атомная энергетика Атомная энергетика, прочие аспекты Строительство Стандарты Отраслевые стандарты и технические условия Отраслевые стандарты
Нормативные ссылки:
ОСТ 153-34.0-987-99АОСТ 153-34.0-987-99АОСТ 153-34.0-987-99АОСТ 153-34.0-987-99АОСТ 153-34.0-987-99АОСТ 153-34.0-987-99АОСТ 153-34.0-987-99АОСТ 153-34.0-987-99АОСТ 153-34.0-987-99АОСТ 153-34.0-987-99АОСТ 153-34.0-987-99АОСТ 153-34.0-987-99АОСТ 153-34.0-987-99АОСТ 153-34.0-987-99А

© 2013 Ёшкин Кот :-) Карта сайта