Скачать СТП 26.260.484-2004 Термическая обработка коррозионно-стойких сталей и сплавов на железоникелевой основе в химическом машиностроенииДата актуализации: 10.08.2017 СТП 26.260.484-2004
Термическая обработка коррозионно-стойких сталей и сплавов на железоникелевой основе в химическом машиностроенииОбозначение: | СТП 26.260.484-2004 | Обозначение англ: | STP 26.260.484-2004 | Статус: | организационно-ограниченного применения | Название рус.: | Термическая обработка коррозионно-стойких сталей и сплавов на железоникелевой основе в химическом машиностроении | Дата добавления в базу: | 01.09.2013 | Дата актуализации: | 12.02.2016 | Дата введения: | 01.07.2004 | Область применения: | Стандарт устанавливает режимы термической обработки коррозионно-стойких сталей и сплавов на железоникелевой основе, применяемых в химическом машиностроении и других отраслях промышленности.
Требования, изложенные в стандарте, должны учитываться при:
а) составлении инструкций и разработке технологических процессов на термическую обработку конкретных изделий;
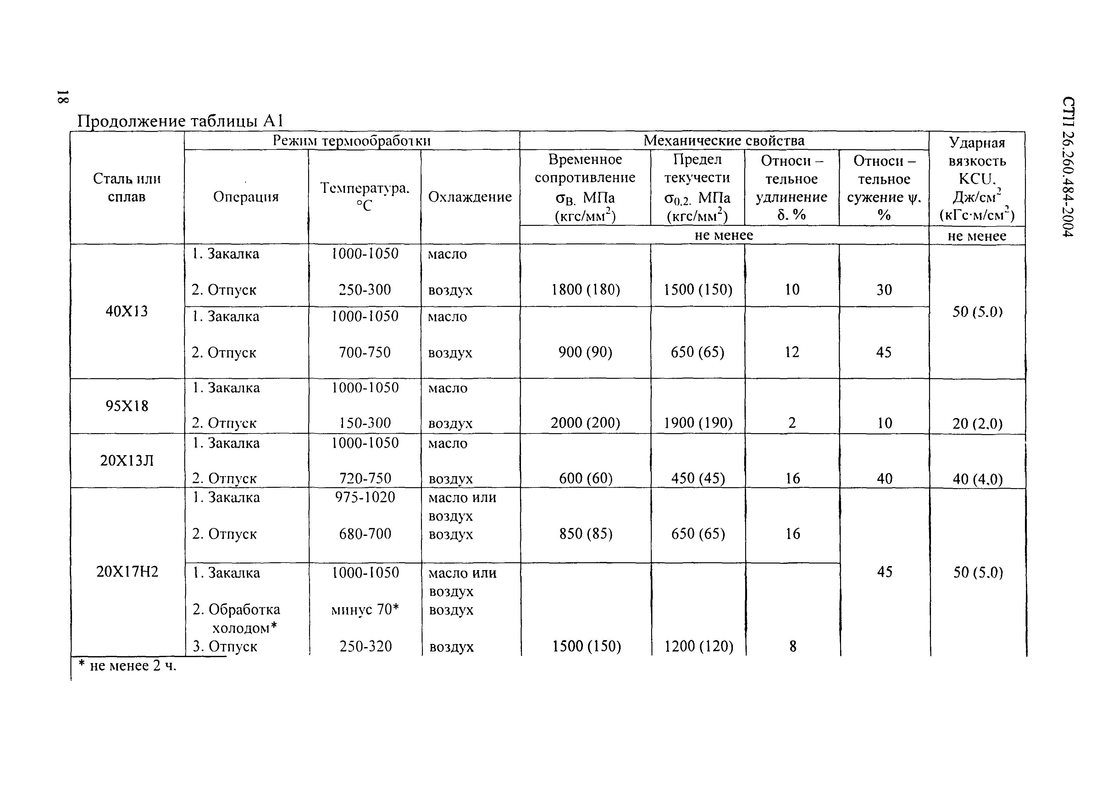
б) проектировании оборудования (в чертежах и технических условиях) | Оглавление: | 1. Общие положения 2. Термическая обработка изделий из сталей мартенситного класса 20Х13, 30Х13, 40Х13, 95Х18, 20Х17Н2, 20Х13Л 3. Термическая обработка изделий из сталей мартенсито-ферритного класса 12Х13, 14Х17Н2 4. Термическая обработка изделий из сталей ферритного класса 08Х13, 08Х17Т, 15Х25Т, 15Х28 5. Термическая обработка изделий из сталей аустенито-мартенситного класса 09Х15Н8Ю, 07Х16Н6, 08Х17Н5М3 6. Термическая обработка изделий из сталей аустенито-ферритного класса 12Х21Н5Т, 08Х22Н6Т, 08Х21Н6М2Т, 20Х23Н13, 04Х25Н5М2, 08Х18Г8Н2Т, 15Х18Н12С4ТЮ, 03Х24Н6АМ3, 10Х21Н6М2Л, 35Х23Н7СЛ, 40Х24Н12СЛ 7. Термическая обработка изделий из сталей аустенитного класса 8. Термическая обработка изделий из сплавов на железоникелевой основе ХН32Т, 06ХН28МДТ, 03ХН28МДТ, ХН30МДБ, 07ХН25МДТЛ, ХН35ВТ 9. Контроль за термической обработкой 10. Приложение А (справочное) | Расположен в: |
| Список изменений: | |
                                
Текстовое изменение № 1 от 01.06.2005
|