Информационная система
«Ёшкин Кот»

Скачать базу одним архивом
Скачать обновления
История создания базы
Карта сайта

Скачать ТЕРм Воронежской области 81-03-06-2001 Теплосиловое оборудование. Территориальные единичные расценки на монтаж оборудования

Дата актуализации: 10.08.2017

ТЕРм Воронежской области 81-03-06-2001

Теплосиловое оборудование. Территориальные единичные расценки на монтаж оборудования

Обозначение: ТЕРм Воронежской области 81-03-06-2001
Обозначение англ: 81-03-06-2001
Статус:действует
Название рус.:Теплосиловое оборудование. Территориальные единичные расценки на монтаж оборудования
Дата добавления в базу:01.09.2013
Дата актуализации:05.05.2017
Дата введения:25.01.2005
Область применения:Сборник предназначен для определения прямых затрат и сметной стоимости при выполнении работ по монтажу теплосилового оборудования
Оглавление:Техническая часть
Отдел 01. Паровые и водогрейные стационарные котлы
   Раздел 1. Элементы паровых стационарных котлов
   Раздел 2. Котлы паровые автоматизированные
   Раздел 3. Элементы водогрейных котлов
Отдел 02. Котельно-вспомогательное оборудование
   Раздел 1. Топочные устройства
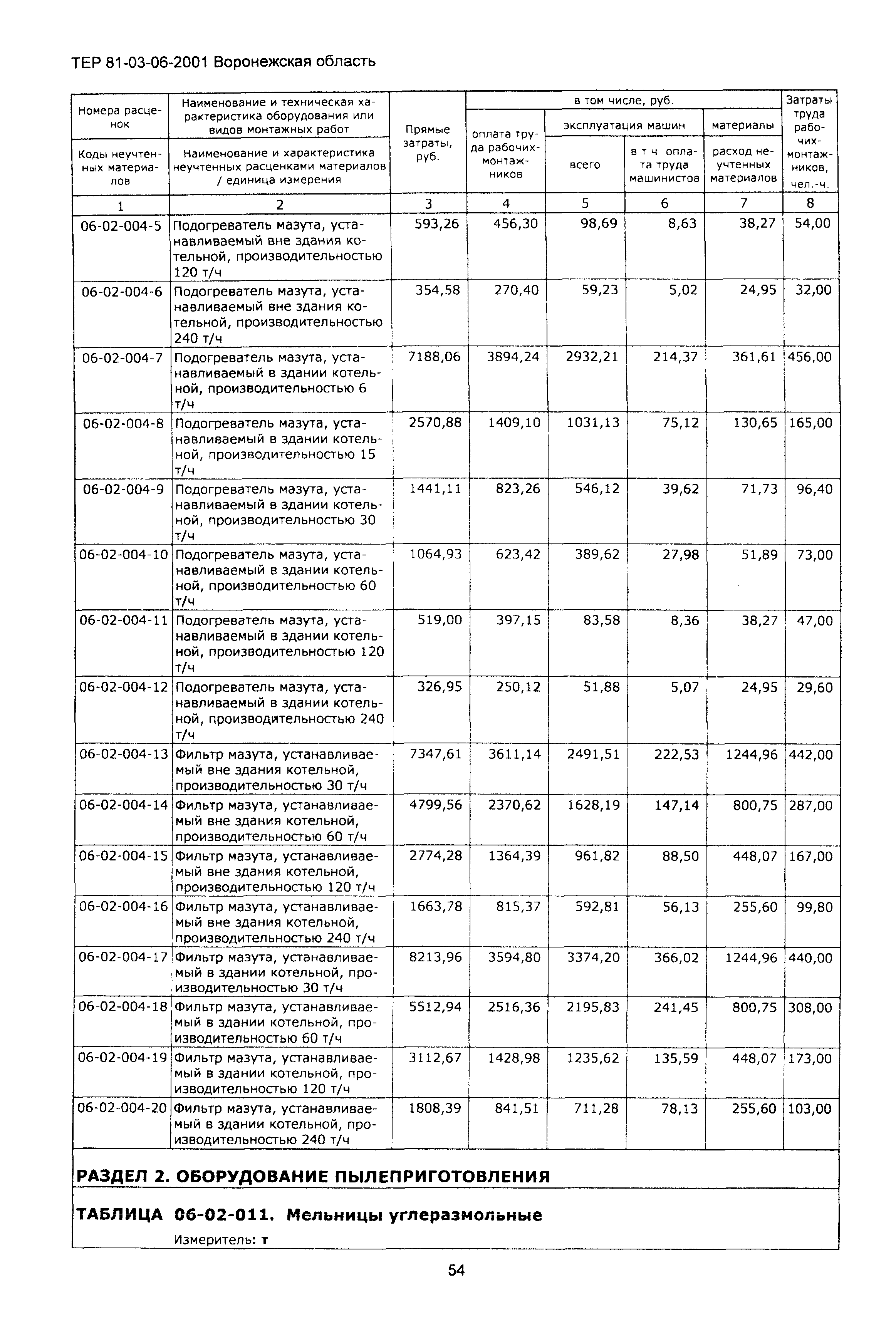
   Раздел 2. Оборудование пылеприготовления
Отдел 03. Оборудование водоподготовки
   Раздел 1. Аппаратура для химической очистки воды
   Раздел 2. Аппаратура для термической обработки воды
   Раздел 3. Станционные баки
   Раздел 4. Установки для преобразования пара
Отдел 04. Агрегаты паротурбинные и газотурбинные
   Раздел 1. Турбины паровые стационарные и установки газотурбинные стационарные
   Раздел 2. Конденсаторы
   Раздел 3. Турбогенераторы
Отдел 05. Турбинное вспомогательное оборудование
Разработан: Центр по ценообразованию в строительстве (ЦЦС)
Утверждён:24.01.2005 Администрация Воронежской области (27)
Издан: ЦЦС (2005 г. )
Расположен в:Техническая документация Строительство Нормативные документы Нормативные документы субъектов Российской Федерации Нормативные документы Воронежской области Документы Системы нормативных документов в строительстве Нормативные документы по экономике к.81 Ценообразование и сметы Классификатор ISO Нормативные документы по экономике Ценообразование и сметы
Нормативные ссылки:
ТЕРм Воронежской области 81-03-06-2001ТЕРм Воронежской области 81-03-06-2001ТЕРм Воронежской области 81-03-06-2001ТЕРм Воронежской области 81-03-06-2001ТЕРм Воронежской области 81-03-06-2001ТЕРм Воронежской области 81-03-06-2001ТЕРм Воронежской области 81-03-06-2001ТЕРм Воронежской области 81-03-06-2001ТЕРм Воронежской области 81-03-06-2001ТЕРм Воронежской области 81-03-06-2001ТЕРм Воронежской области 81-03-06-2001ТЕРм Воронежской области 81-03-06-2001ТЕРм Воронежской области 81-03-06-2001ТЕРм Воронежской области 81-03-06-2001ТЕРм Воронежской области 81-03-06-2001ТЕРм Воронежской области 81-03-06-2001ТЕРм Воронежской области 81-03-06-2001ТЕРм Воронежской области 81-03-06-2001ТЕРм Воронежской области 81-03-06-2001ТЕРм Воронежской области 81-03-06-2001ТЕРм Воронежской области 81-03-06-2001ТЕРм Воронежской области 81-03-06-2001ТЕРм Воронежской области 81-03-06-2001ТЕРм Воронежской области 81-03-06-2001ТЕРм Воронежской области 81-03-06-2001ТЕРм Воронежской области 81-03-06-2001ТЕРм Воронежской области 81-03-06-2001ТЕРм Воронежской области 81-03-06-2001ТЕРм Воронежской области 81-03-06-2001ТЕРм Воронежской области 81-03-06-2001ТЕРм Воронежской области 81-03-06-2001ТЕРм Воронежской области 81-03-06-2001ТЕРм Воронежской области 81-03-06-2001ТЕРм Воронежской области 81-03-06-2001ТЕРм Воронежской области 81-03-06-2001ТЕРм Воронежской области 81-03-06-2001ТЕРм Воронежской области 81-03-06-2001ТЕРм Воронежской области 81-03-06-2001ТЕРм Воронежской области 81-03-06-2001ТЕРм Воронежской области 81-03-06-2001ТЕРм Воронежской области 81-03-06-2001ТЕРм Воронежской области 81-03-06-2001ТЕРм Воронежской области 81-03-06-2001ТЕРм Воронежской области 81-03-06-2001ТЕРм Воронежской области 81-03-06-2001ТЕРм Воронежской области 81-03-06-2001ТЕРм Воронежской области 81-03-06-2001ТЕРм Воронежской области 81-03-06-2001ТЕРм Воронежской области 81-03-06-2001ТЕРм Воронежской области 81-03-06-2001ТЕРм Воронежской области 81-03-06-2001ТЕРм Воронежской области 81-03-06-2001ТЕРм Воронежской области 81-03-06-2001ТЕРм Воронежской области 81-03-06-2001ТЕРм Воронежской области 81-03-06-2001ТЕРм Воронежской области 81-03-06-2001ТЕРм Воронежской области 81-03-06-2001ТЕРм Воронежской области 81-03-06-2001ТЕРм Воронежской области 81-03-06-2001ТЕРм Воронежской области 81-03-06-2001ТЕРм Воронежской области 81-03-06-2001ТЕРм Воронежской области 81-03-06-2001ТЕРм Воронежской области 81-03-06-2001ТЕРм Воронежской области 81-03-06-2001ТЕРм Воронежской области 81-03-06-2001ТЕРм Воронежской области 81-03-06-2001ТЕРм Воронежской области 81-03-06-2001ТЕРм Воронежской области 81-03-06-2001ТЕРм Воронежской области 81-03-06-2001ТЕРм Воронежской области 81-03-06-2001ТЕРм Воронежской области 81-03-06-2001ТЕРм Воронежской области 81-03-06-2001ТЕРм Воронежской области 81-03-06-2001ТЕРм Воронежской области 81-03-06-2001ТЕРм Воронежской области 81-03-06-2001ТЕРм Воронежской области 81-03-06-2001ТЕРм Воронежской области 81-03-06-2001ТЕРм Воронежской области 81-03-06-2001ТЕРм Воронежской области 81-03-06-2001ТЕРм Воронежской области 81-03-06-2001ТЕРм Воронежской области 81-03-06-2001ТЕРм Воронежской области 81-03-06-2001ТЕРм Воронежской области 81-03-06-2001ТЕРм Воронежской области 81-03-06-2001ТЕРм Воронежской области 81-03-06-2001ТЕРм Воронежской области 81-03-06-2001ТЕРм Воронежской области 81-03-06-2001ТЕРм Воронежской области 81-03-06-2001ТЕРм Воронежской области 81-03-06-2001ТЕРм Воронежской области 81-03-06-2001ТЕРм Воронежской области 81-03-06-2001ТЕРм Воронежской области 81-03-06-2001ТЕРм Воронежской области 81-03-06-2001ТЕРм Воронежской области 81-03-06-2001ТЕРм Воронежской области 81-03-06-2001ТЕРм Воронежской области 81-03-06-2001ТЕРм Воронежской области 81-03-06-2001ТЕРм Воронежской области 81-03-06-2001ТЕРм Воронежской области 81-03-06-2001

© 2013 Ёшкин Кот :-) Карта сайта