Информационная система
«Ёшкин Кот»

Скачать базу одним архивом
Скачать обновления
История создания базы
Карта сайта

Скачать Рекомендации по проектированию зданий и сооружений в карстовых районах СССР

Дата актуализации: 10.08.2017

Рекомендации по проектированию зданий и сооружений в карстовых районах СССР

Статус:действует
Название рус.:Рекомендации по проектированию зданий и сооружений в карстовых районах СССР
Дата добавления в базу:01.09.2013
Дата актуализации:05.05.2017
Оглавление:Предисловие
1 Общие положения
2 Инженерно-геологические условия строительства и их оценка
3 Особенности составления схем районной планировки, генеральных планов городов и проектов детальной планировки
4 Проектирование жилых и гражданских зданий
5 Выбор конструктивных схем и решений промышленных зданий и сооружений
Приложение 1. Обоснование к таблице 1 "Рекомендуемый характер жилищно-гражданского строительства на закарстованных территориях в зависимости от среднегодового количества провалов на 1 км кв.
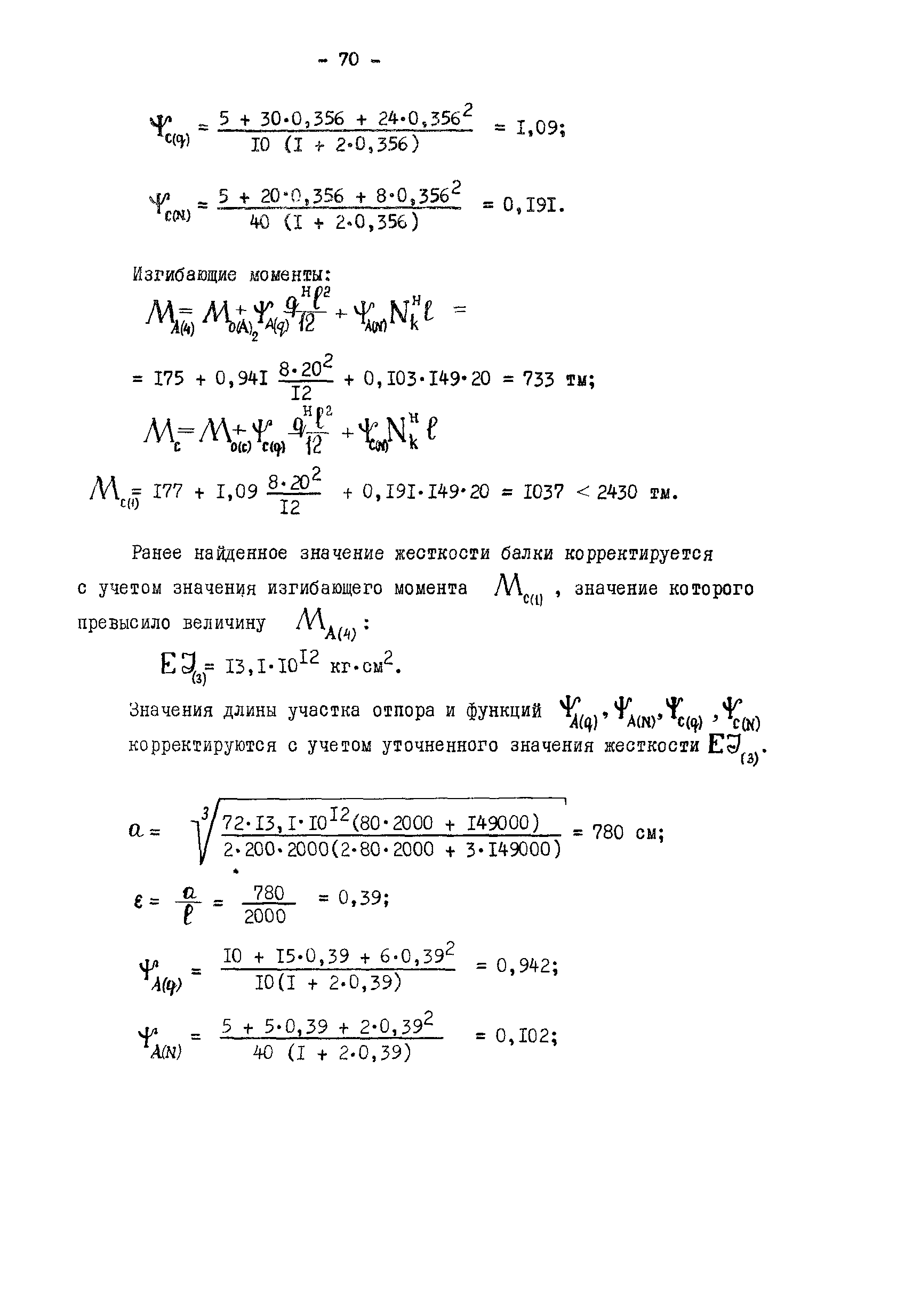
Приложение 2. Рекомендации по расчету ленточных фундаментов
Разработан: Донецкий Промстройниипроект
ЦНИИП градостроительства
ПНИИИС Госстроя России
ЦНИИЭП жилища
Утверждён:27.09.1967 ПНИИИС Госстроя СССР (PNIIIS, USSR Gosstroy )
Расположен в:Техническая документация Экология СТРОИТЕЛЬНЫЕ МАТЕРИАЛЫ И СТРОИТЕЛЬСТВО Строительство Строительство в целом Строительство Справочные документы Директивные письма, положения, рекомендации и др.

© 2013 Ёшкин Кот :-) Карта сайта