Информационная система
«Ёшкин Кот»

Скачать базу одним архивом
Скачать обновления
История создания базы
Карта сайта

Скачать ТСЦ Краснодарского края 81-01-2001 Территориальный сборник сметных цен на перевозку грузов для строительства и капитального ремонта зданий и сооружений

Дата актуализации: 10.08.2017

ТСЦ Краснодарского края 81-01-2001

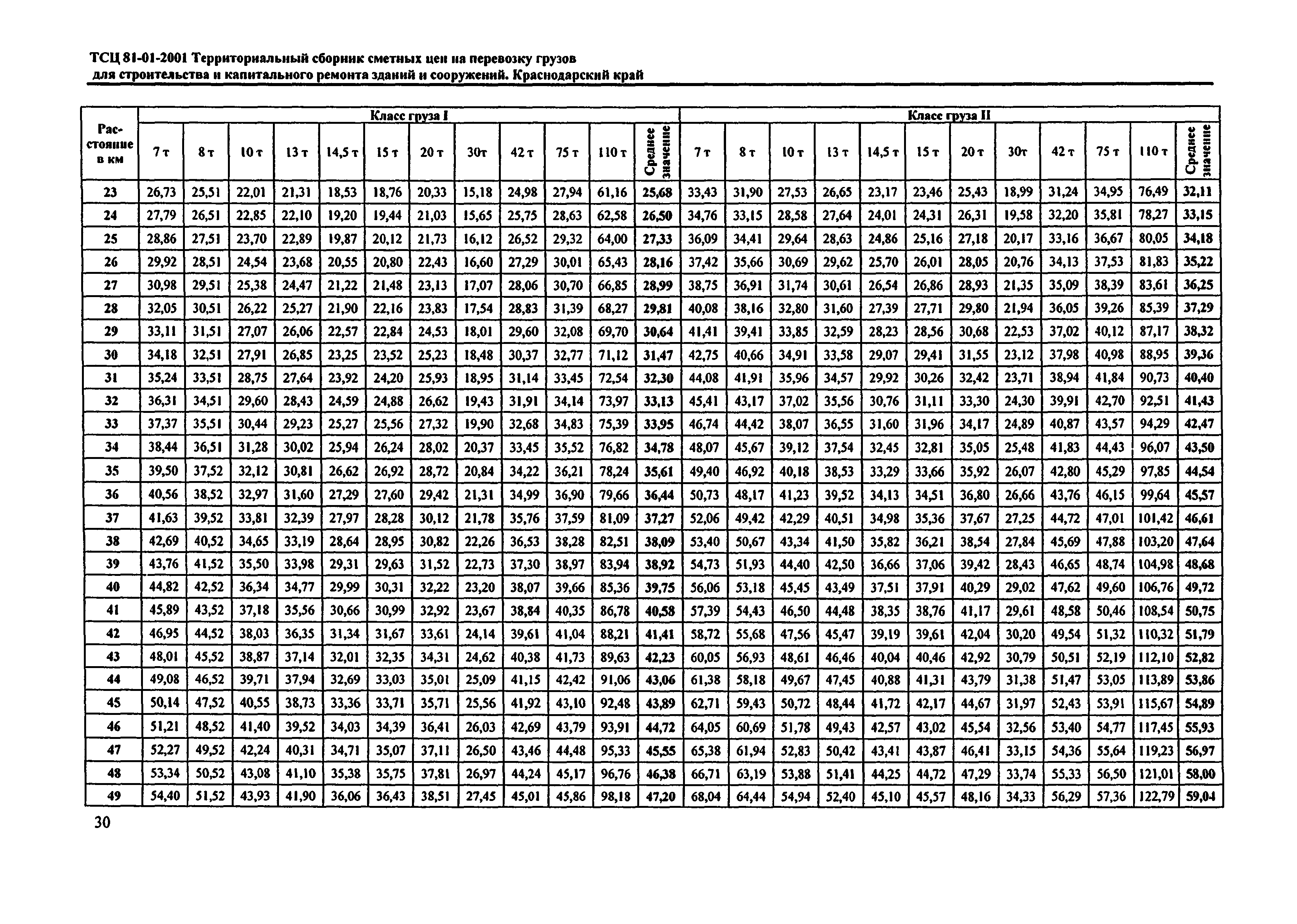
Территориальный сборник сметных цен на перевозку грузов для строительства и капитального ремонта зданий и сооружений

Обозначение: ТСЦ Краснодарского края 81-01-2001
Обозначение англ: 81-01-2001
Статус:действует
Название рус.:Территориальный сборник сметных цен на перевозку грузов для строительства и капитального ремонта зданий и сооружений
Дата добавления в базу:01.09.2013
Дата актуализации:05.05.2017
Дата введения:01.09.2003
Оглавление:Автомобильные перевозки
Общие указания
Раздел 1. Сметные цены на тару, упаковку, реквизит
Раздел 2. Сметные цены на погрузочно-разгрузочные работы при железнодорожных и автомобильных перевозках
Раздел 3. Сметные цены на перевозки грузов автомобильным транспортом
Разработан: Краснодарский краевой центр ценообразования в строительстве Кубаньстройцена
Утверждён:01.09.2003 Глава администрации Краснодарского края (Head of Administration, Krasnodar Territory )
Издан: Краснодарский краевой центр ценообразования в строительстве Кубаньстройцена (2004 г. )
Расположен в:Техническая документация Строительство Нормативные документы Нормативные документы субъектов Российской Федерации Нормативные документы Краснодарского края
ТСЦ Краснодарского края 81-01-2001ТСЦ Краснодарского края 81-01-2001ТСЦ Краснодарского края 81-01-2001ТСЦ Краснодарского края 81-01-2001ТСЦ Краснодарского края 81-01-2001ТСЦ Краснодарского края 81-01-2001ТСЦ Краснодарского края 81-01-2001ТСЦ Краснодарского края 81-01-2001ТСЦ Краснодарского края 81-01-2001ТСЦ Краснодарского края 81-01-2001ТСЦ Краснодарского края 81-01-2001ТСЦ Краснодарского края 81-01-2001ТСЦ Краснодарского края 81-01-2001ТСЦ Краснодарского края 81-01-2001ТСЦ Краснодарского края 81-01-2001ТСЦ Краснодарского края 81-01-2001ТСЦ Краснодарского края 81-01-2001ТСЦ Краснодарского края 81-01-2001ТСЦ Краснодарского края 81-01-2001ТСЦ Краснодарского края 81-01-2001ТСЦ Краснодарского края 81-01-2001ТСЦ Краснодарского края 81-01-2001ТСЦ Краснодарского края 81-01-2001ТСЦ Краснодарского края 81-01-2001ТСЦ Краснодарского края 81-01-2001ТСЦ Краснодарского края 81-01-2001ТСЦ Краснодарского края 81-01-2001ТСЦ Краснодарского края 81-01-2001ТСЦ Краснодарского края 81-01-2001ТСЦ Краснодарского края 81-01-2001ТСЦ Краснодарского края 81-01-2001ТСЦ Краснодарского края 81-01-2001ТСЦ Краснодарского края 81-01-2001ТСЦ Краснодарского края 81-01-2001ТСЦ Краснодарского края 81-01-2001ТСЦ Краснодарского края 81-01-2001ТСЦ Краснодарского края 81-01-2001

© 2013 Ёшкин Кот :-) Карта сайта