| ||||||||||||||||||||||||||||||||||||
Скачать ТСЦ Краснодарского края 81-01-2001 Часть II. Строительные конструкции и изделияДата актуализации: 10.08.2017
|
| Обозначение: | ТСЦ Краснодарского края 81-01-2001 |
| Обозначение англ: | 81-01-2001 |
| Статус: | действует |
| Название рус.: | Часть II. Строительные конструкции и изделия |
| Дата добавления в базу: | 01.09.2013 |
| Дата актуализации: | 05.05.2017 |
| Дата введения: | 01.09.2003 |
| Область применения: | Территориальный сборник сметных цен на материалы, изделия и конструкции предназначен для определения сметной стоимости строительно-монтажных (ремонтно-строительных) работ, а также при разработке Территориальных единичных расценок на строительные, монтажные и ремонтно-строительные работы |
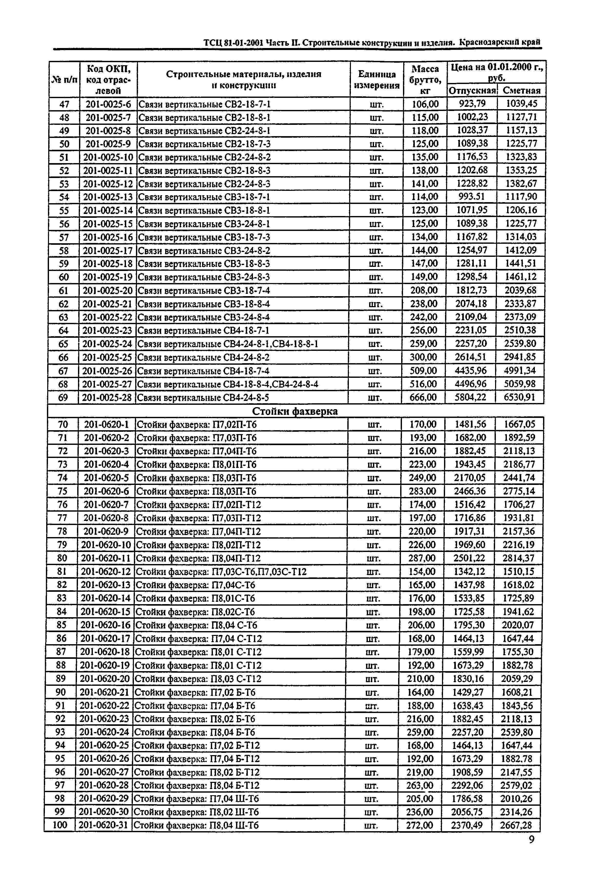
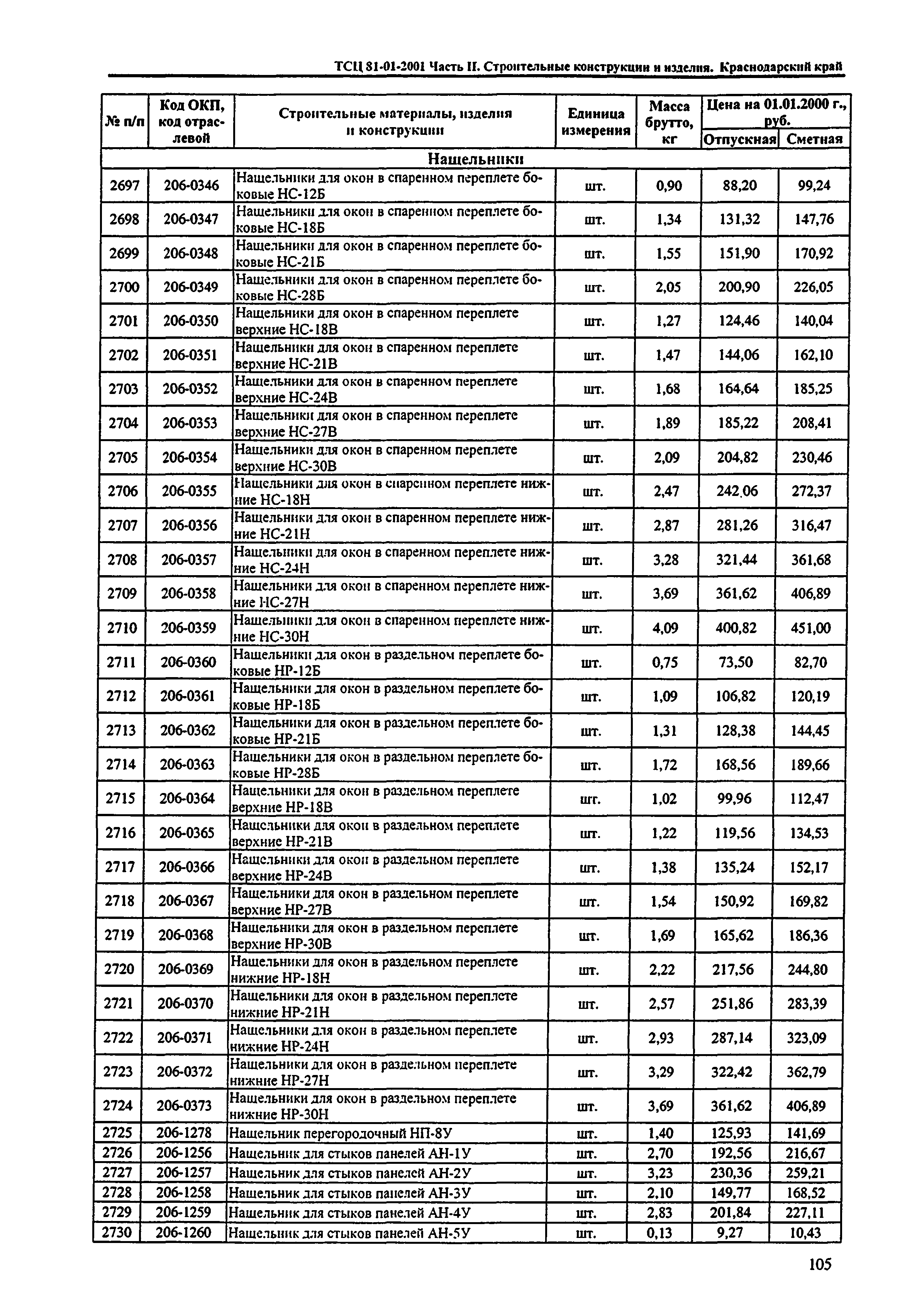
| Оглавление: | Общие указания Техническая часть Раздел 2.01. Строительные конструкции промышленных и сельскохозяйственных зданий, сооружений и мостов Раздел 2.02. Строительные конструкции гидротехнических сооружений Раздел 2.03. Деревянные конструкции и изделия Раздел 2.04. Арматура товарная для монолитных железобетонных конструкций Раздел 2.06. Алюминиевые конструкции |
| Разработан: | Краснодарский краевой центр ценообразования в строительстве Кубаньстройцена |
| Утверждён: | 01.09.2003 Администрация Краснодарского края |
| Издан: | Администрация Краснодарского края (2003 г. ) |
| Расположен в: | |
| Список изменений: |
|
| Заменяет собой: | |
| Нормативные ссылки: |

































































































































Текстовое изменение № от 01.09.2003



































































