| ||||||||||||||||||||||||||||||||||||
Скачать ТСЦ Краснодарского края 81-01-2001 Часть I. Материалы для общестроительных работДата актуализации: 10.08.2017
|
| Обозначение: | ТСЦ Краснодарского края 81-01-2001 |
| Обозначение англ: | 81-01-2001 |
| Статус: | действует |
| Название рус.: | Часть I. Материалы для общестроительных работ |
| Дата добавления в базу: | 01.09.2013 |
| Дата актуализации: | 05.05.2017 |
| Дата введения: | 01.09.2003 |
| Область применения: | Территориальный сборник сметных цен на материалы, изделия и конструкции предназначен для определения сметной стоимости строительно-монтажных (ремонтно-строительных) работ, а также при разработке Территориальных единичных расценок на строительные, монтажные и ремонтно-строительные работы |
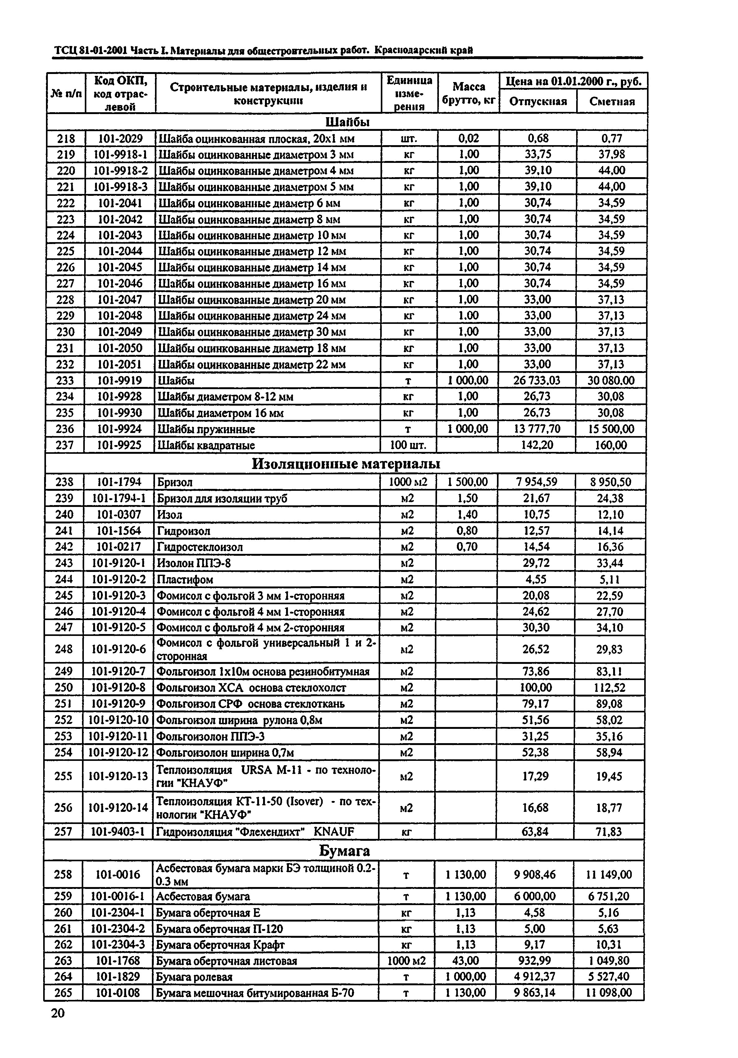
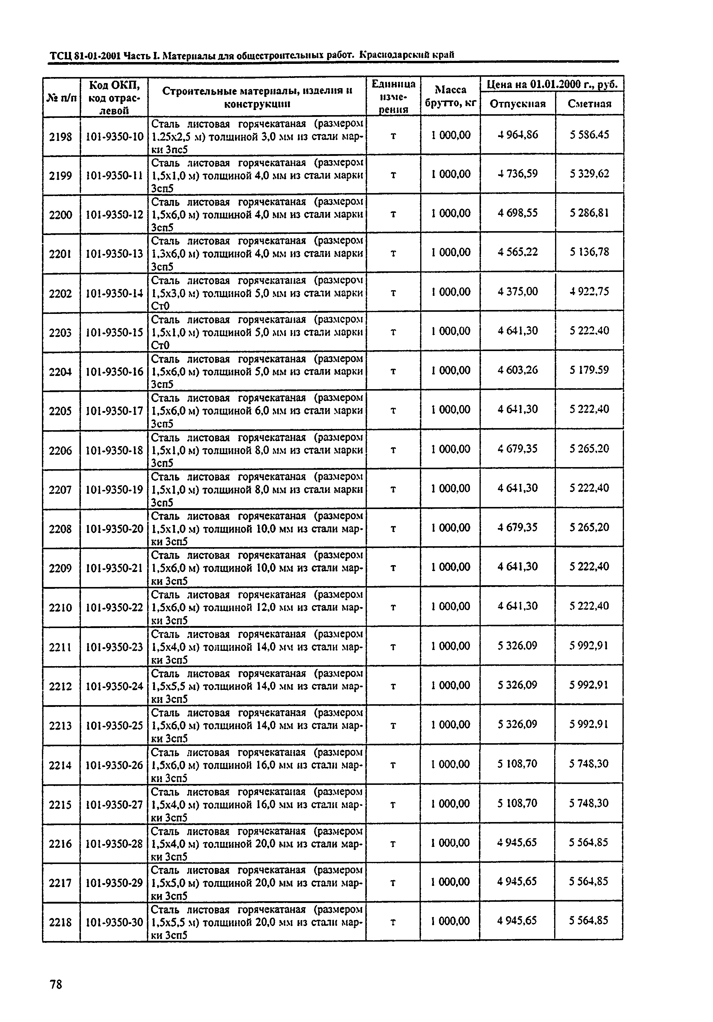
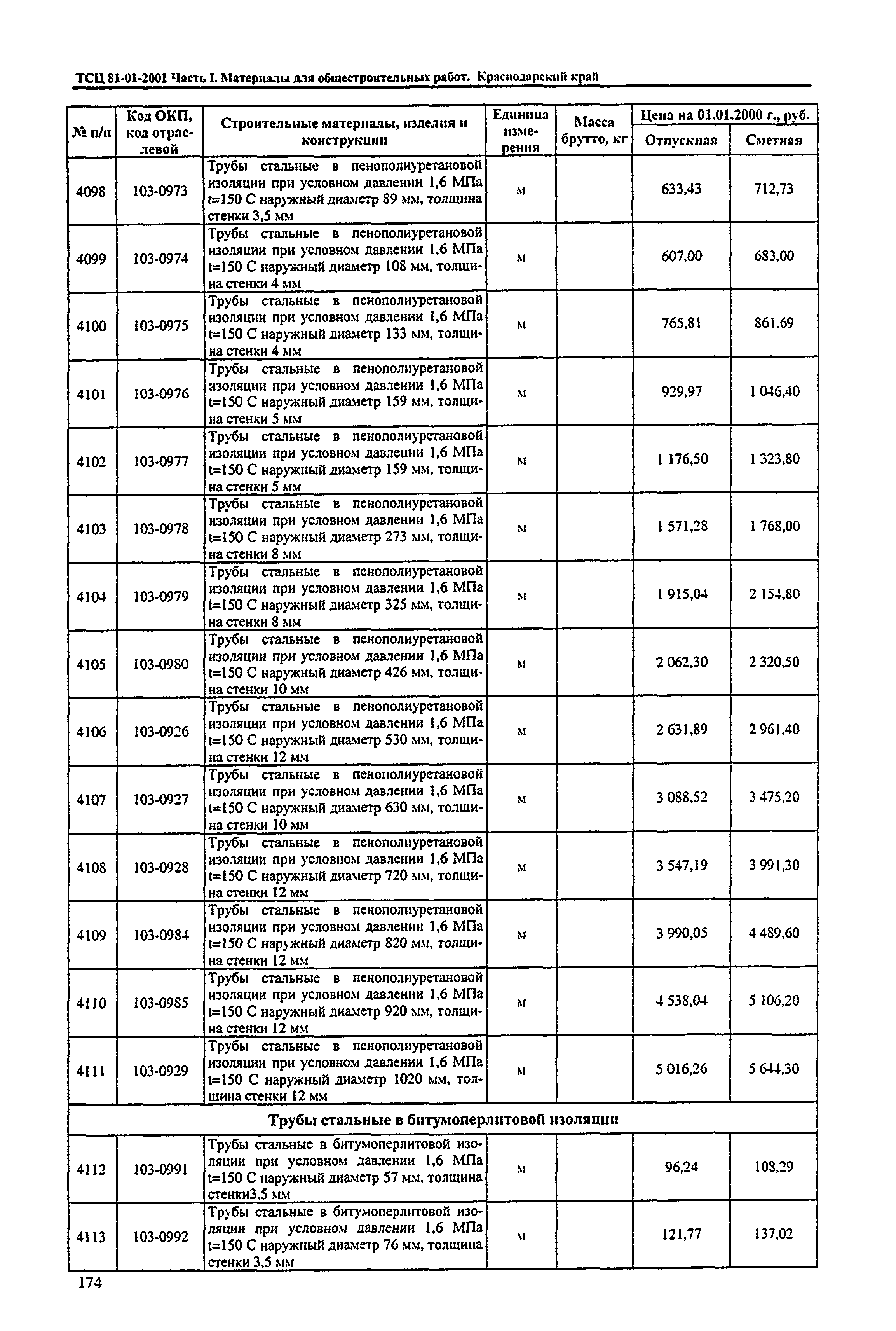
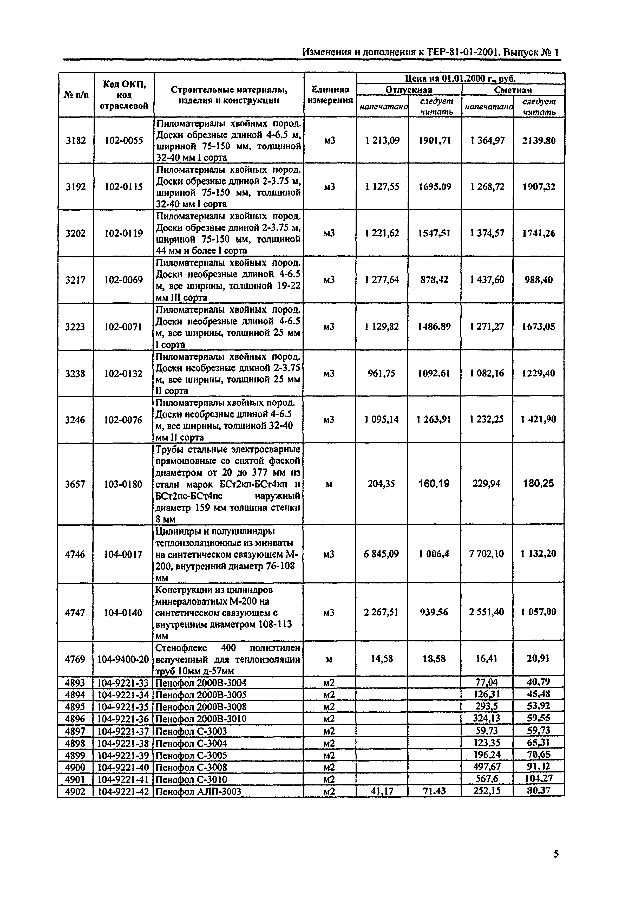
| Оглавление: | Общие положения Техническая часть Раздел 1.01. Материалы для общестроительных работ Асбест Асботекстолит Асбестовое волокно Асбестовый картон Асбестовые шнуры Асбестоцементные листы и детали к листам асбоцементным Ацетилен Бензин Битумы Битумы нефтяные строительные Битумы нефтяные дорожные Болты, гайки, шайбы Болты Гайки Шайбы Изоляционные материалы Бумага Веревки, шпагаты Ветошь Винты Войлок Воск Гудрон Гвозди, дюбели, шурупы Гвозди Дюбели Шурупы Герметик Гипс Грунтовки Гипсокартонные листы и плиты Гипсобетонные панели Известь Керамические изделия Плитки керамические для внутренних работ Плитки керамические фасадные Плитка разная Изразцы керамические Плитки керамические для полов Канаты Канифоль Карбид Картон Кислород Керосин Кислоты Клеи Краски, эмали, лаки, пигменты Краски Эмали Лаки Кровельные материалы Материалы мягкой кровли Изопласт Материалы мягкой кровли Бикрост Материалы мягкой кровли Вестопласт Материалы мягкой кровли Кинепласт Материалы мягкой кровли Крунам Материалы мягкой кровли Линокром Материалы мягкой кровли Ондулин Материалы мягкой кровли Рубемаст Материалы мягкой кровли Рубитекс Материалы мягкой кровли Саркров Материалы мягкой кровли Стеклоизол Материалы мягкой кровли Техноэласт Материалы мягкой кровли Унифлекс Материалы мягкой кровли Экопласт Черепица Шифер алюминевый Шифер оцинкованный Шифер пластиковый Шифер из поливинилхлорида Лист кровельный медный Пленка кровельная Купорос Латекс Ленты для строительно-монтажных работ разные Магний Мазут Мастики, эмульсии Мастики Эмульсии и эмульгаторы Масла Материалы для устройства пола Линолеум Покрытия полов, настилы и ковры Пол -ламинат Наливные полы Выравнивающие смеси для пола Мел Мешки бумажные Мыло Нитки для строительно-монтажных работ Натр едкий Нашатырь Обои Олифа Отвердитель Панели облицовочные поливинилхлоридные Плинтусы и поручни Пакля Парафин Пасты и пропитки Пергамин Полистирол, пластик Плиты древесноволокнистые Плиты древесностружечные Плиты фибролитовые Плитки поливинилхлоридные Плиты цементно-стружечные Плиты чугунные Плиты фильтрующие Плиты гипсоволокнистые Плиты стальные Плиты для облицовки потолков Поковки, заклепки, шпильки Поковки Заклепки Шпильки Проволока Пудра Разбавители и растворители Резина, изделия из резины Резина Пластины Резина листовая Прокладки резиновые Прочие резинотехнические изделия Патроны монтажные и сверлильные Пена монтажная Рубероид Рукава металлические Стеклорубероид Сетки металлические Скобяные изделия Смазки Сода кальцинированная Спирты Сталь разная (Металлопрокат) Сталь двутавровая Сталь швеллерная Сталь угловая Сталь листовая Сталь листовая оцинкованная Сталь кровельная Сталь полосовая Рифленый прокат Просечно-вытяжной листовой прокат Сталь квадратная Сортовой и фасонный горячекатаный прокат Профили гнутые Сталь круглая (для армирования железобетонных конструкций) Ленты стальные Листы латунные Профнастилы Профили металлические и каркасы для монтажа конструкций по технологии "Кнауф" Стекло, строительные материалы из стекла, оргстекло Стекло листовое Стекло витринное Стекло декоративное Стекло профильное Сетка стеклянная Стеклопакеты Стеклоблоки Оргстекло Сверла Сиккативы Скипидар Тальк Ткань разная, марля, миткаль, парусина, брезент, Толуол Толь Топливо Уголь Фольга Фотоматериалы Холст стеклянный и стеклохолст Цемент Портландцемент Шлакопортландцемент Цемент разный Шпатлевки, смеси штукатурные и затирочные Шпатлевки Масляно-клеевые Для внутренних работ Для наружных работ По дереву По металлу Для производства работ по технологии "КНАУФ" Разные шпатлевки Смеси штукатурные Смеси штукатурные для внутренних работ Смеси штукатурные для наружных работ Смеси штукатурные для производства работ по технологии "КНАУФ" Прочие штукатурные смеси Затирочные смеси и заполнители швов Шнуры разные Шлифовальные материалы Шкурка шлифовальная Карборунд Электроды Материалы для дорожных работ Прочие материалы для строительно-монтажных работ Раздел 1.02. Лесоматериалы Лесоматериалы круглые Лесоматериалы круглые для свай Лесоматериалы круглые для опоры Подтоварник Жерди Стойки Лесоматериалы круглые для линий связи, автоблокировки, мачт радио, опор линий электропередачи Лесоматериалы круглые хвойных пород для выработки пиломатериалов и заготовок (пластины) Строительные брёвна Подтоварник Жерди Пиломатериалы хвойных пород Бруски (брусья обрезные) и шпунтовые Бруски и брусья необрезные Доски обрезные Доски необрезные Горбыль Пиломатериалы мягких лиственных пород: берёза и липа Бруски обрезные Доски обрезные Доски необрезные Пиломатериалы осина, ольха, тополь и другие мягкие породы Бруски обрезные Доски обрезные Доски необрезные Пиломатериалы из твердых пород Доски обрезные Доски необрезные Дрова Дрань Паркет Доски и щиты паркетные Фанера Прочие лесоматериалы Раздел 1.03. Трубы стальные, чугунные, асбестоцементные и керамические и полиэтиленовые Трубы стальные сварные водогазопроводные Трубы стальные сварные водогазопроводные черные легкие (неоцинкованные) Трубы стальные сварные водогазопроводные черные обыкновенные (неоцинкованные) Трубы стальные сварные водогазопроводные с резьбой черные усиленные (неоцинкованные) Трубы стальные сварные водогазопроводные оцинкованные Трубы стальные сварные водогазопроводные с резьбой оцинкованные легкие Трубы стальные сварные водогазопроводные с резьбой оцинкованные обыкновенные Трубы стальные сварные водогазопроводные с резьбой оцинкованные усиленные Трубы стальные электросварные Трубы стальные электросварные прямошовные со снятой фаской диаметром от 20 до 377 мм из стали марок БСт2кп-БСт4кп и БСт2пс-БСт4пс Трубы стальные электросварные прямошовные и спирально-шовные больших диаметров Трубы стальные бесшовные, горячедеформированные Трубы бесшовные обсадные Трубы стальные в изоляции Трубы стальные в армопенобетонной изоляции Трубы стальные в пенополиуритановой изоляции Трубы стальные в битумоперлитовой изоляции Трубы бурильные Трубы стальные сварные для магистральных газонефтепроводов Трубы стальные профильные Трубы чугунные Трубы чугунные напорные раструбные Трубы чугунные напорные фланцевые Трубы чугунные напорные со стыковым соединением под резиновые уплотнительные манжеты Трубы асбестоцементные Трубы асбестоцементные ВТ-6 Трубы асбестоцементные ВТ-9 Трубы асбестоцементные ВТ-12 Трубы асбестоцементные ВТ-15 Трубы асбестоцементные безнапорные Трубы асбестоцементные дренажные Трубы керамические Трубы керамические канализационные Трубы керамические дренажные Трубы поливинилхлоридные дренажные Трубы полиэтиленовые дренажные Фасонные и соединительные части к трубопроводам Фасонные чугунные соединительные части Угольники из ковкого чугуна Тройники из ковкого чугуна Кресты из ковкого чугуна Контргайки из ковкого чугуна Муфты Муфты из ковкого чугуна Муфты асбестоцементные Муфты к трубам бурильным Фасонные стальные сварные части Соединения пульпопроводных труб Раструбные соединения Быстроразъемные соединения Прочие материалы для прокладки труб Кольца резиновые Люки и лазы Раздел 1.04. Материалы для теплоизоляционных работ Вата минеральная Войлок Вермикулит вспученный Конструкции теплоизоляционные полносборные Маты теплоизоляционные Маты минераловатные Маты из базальтового штапельного волокна Маты строительные Маты технические Маты рулоные Маты из стекловолокна Маты обшитые стеклотканью Маты минераловатные вертикально-слоистые Маты в обкладках Плиты теплоизоляционные Плиты теплоизоляционные из минеральной ваты Фольма-пена Плиты на основе муллитокремнеземистой ваты и глиняной связки Плиты известково-кремнеземистые Плиты теплоизоляционные из пенопласта Плиты теплоизоляционные из стеклянного штапельного волокна Плиты теплоизоляционные перлитоцементные Плиты теплоизоляционные из пенополиуретана Плиты теплоизоляционные из пеноизола Сегменты, скорлупы, полуцилиндры, цилиндры для теплоизоляционных работ Сегменты Блоки сегментные теплоизоляционные Скорлупы битумоперлитовые Скорлупы из пенобетона Скорлупы из пенополиуритана Полуцилиндры (скорлупы) теплоизоляционные из пенополиуретана Цилиндры и полуцилиндры теплоизоляционные из минваты Полуцилиндры теплоизоляционные перлитоцементные Трубная теплоизоляция Стенофлекс Термофлекс Профлекс Энергофлекс Материалы теплоизоляционные рулонные Стеклопластик рулонный Лакоткань Холсты стекловолокнистые Ткань стеклянная конструкционная Фольга алюминиевая Фольга - ткань Теплоизоляция Пенофол Шнуры теплоизоляционные Прочие материалы для теплоизоляционных работ Раздел 1.05. Материалы верхнего строения пути железных дорог широкой колеи Болты, шайбы, шурупы, костыли, клеммы Болты путевые Болты для рельсовых стыков Болты клеммные для рельсовых скреплений Болты закладные для рельсовых скреплений Шайбы пружинные путевые Шурупы путевые Костыли Клеммы Накладки Подкладки Прокладки Противоугоны пружинные Крестовины Механизм переводной Остряк Перевод стрелочный Пересечения Прибор уравнительный Фонарь стрелочный Брусья Шпалы Рельсы Рельсы железнодорожные широкой колеи Рельсы железнодорожные термообработанные Рельсы старогодные Конструкции тупиков и упоров Прочие материалы для железнодорожных работ Раздел 1.06. Материалы верхнего строения пути железных дорог узкой колеи Болты путевые с гайками для крепления рельсов Брусья деревянные из древесины хвойных пород Костыли Накладки Подкладки Переводы стрелочные Рельсы Шпалы Раздел 1.07. Материалы верхнего строения трамвайных путей Клеммы Накладки Подкладки Рельсы Стрелки Тяги путевые Шайбы Компенсаторы Раздел 1.08. Материалы для горнопроходческих работ Буры Глина бентонитовая Долота Буровые долота Шарашечные бурголовки Зубок для проходческих комбайнов Коронки Крепь Патроны ударные Переводы стрелочные Прочие материалы для горнопроходческих работ Раздел 1.09. Материалы для сооружений связи Блоки контргруза Болты Глухари Держатели Детали Ерши для кронштейнов Закладные части Изоляторы Изоляторы марки ИЛЮТ Изоляторы марки ПР Изоляторы штыревые Изоляторы подвесные Изоляторы опорные Изоляторы такелажные Канаты Клин Колонки Кольца Консоли Кронштейны Крюки Люки Оттяжки мачт и опор Прокладки Проволока стальная Сталь полосовая Сталь угловая Стойки Траверсы Соединители Прочие изделия и материалы для сооружений связи Раздел 1.10. Материалы для сигнализаций, централизации, автоблокировки и электрификации железных дорог Болты Бруски траверсные Верхушки оголовков Зажимы Изоляторы Конструкции Консоли Консоли неизолированные прямые Консоли неизолированные трубчатые Консоли изолированные швеллерные со сжатой тягой Консоли изолированные швеллерные с растянутой тягой Консоли изолированные швеллерные прочие Кронштейны Надставки Ограничитель грузов Соединитель стыковой Схема расположения хомутов Траверсы Узел крепления Хомуты Штанга одинарная для грузов Прочие материалы Раздел 1.11. Материалы для производства взрывных работ Алюмотол Аммонит Аммонал Граммонит Гранулотол Детонит Капсюли-детонаторы Зажигатели огнепроводного шнура Заряды Провода Пиротехнические реле Шашки детонаторы Шнуры Электродетонаторы Раздел 1.12. Материалы для антикоррозионных защитных покрытий Грунтовки Замазки Изделия кислотоупорные Калин Каучук Кирпич кислотоупорный Кислоты Клей Краска Лаки Натрий Насадки кислотоупорные Пасты и составы огнезащитные Плитки кислотоупорные Растворители Смолы Щебень Эмаль Эбонитосодержащие материалы Прочие материалы для антикоррозионных и защитных покрытий Раздел 1.13. Материалы для удобрения и химических средств защиты растений Материалы для удобрения и химических средств зашиты растений Раздел 1.14. Огнеупорные материалы и изделия Изделия кремнеземистые (динасовые) Изделия огнеупорные динасовые общего назначения Изделия легковесные теплоизоляционные огнеупорные общего назначения Алюмосиликатные изделия Изделия легковесные теплоизоляционные огнеупорные Изделия огнеупорные легковесные теплоизоляционные для футеровки вращающихся печей Изделия огнеупорные и высокоогнеупорные для футеровки вращающихся печей Изделия огнеупорные шамотные мелкоштучные Изделия высокоогнеупорные легковесные теплоизоляционные Изделия легковесные теплоизоляционные и высокоогнеупорные общего назначения Изделия карбидкремниевые Кирпич огнеупорный Изделия цирконистые Изделия цирконистые для электропечей по производству кварцевого стекла марки ЦКС Прочие изделия Алфавитный указатель |
| Разработан: | Краснодарский краевой центр ценообразования в строительстве Кубаньстройцена |
| Утверждён: | 01.09.2003 Администрация Краснодарского края |
| Издан: | Администрация Краснодарского края (2003 г. ) |
| Расположен в: | |
| Список изменений: |
|
| Заменяет собой: | |
| Нормативные ссылки: |


























































































































































































































































































Текстовое изменение № от 01.09.2003



































































