Информационная система
«Ёшкин Кот»

Скачать базу одним архивом
Скачать обновления
История создания базы
Карта сайта

Скачать Справочник Дозы облучения населения Российской Федерации в 2006 году

Дата актуализации: 10.08.2017

Справочник

Дозы облучения населения Российской Федерации в 2006 году

Обозначение: Справочник
Обозначение англ: Reference Book
Статус:действует
Название рус.:Дозы облучения населения Российской Федерации в 2006 году
Дата добавления в базу:01.09.2013
Дата актуализации:05.05.2017
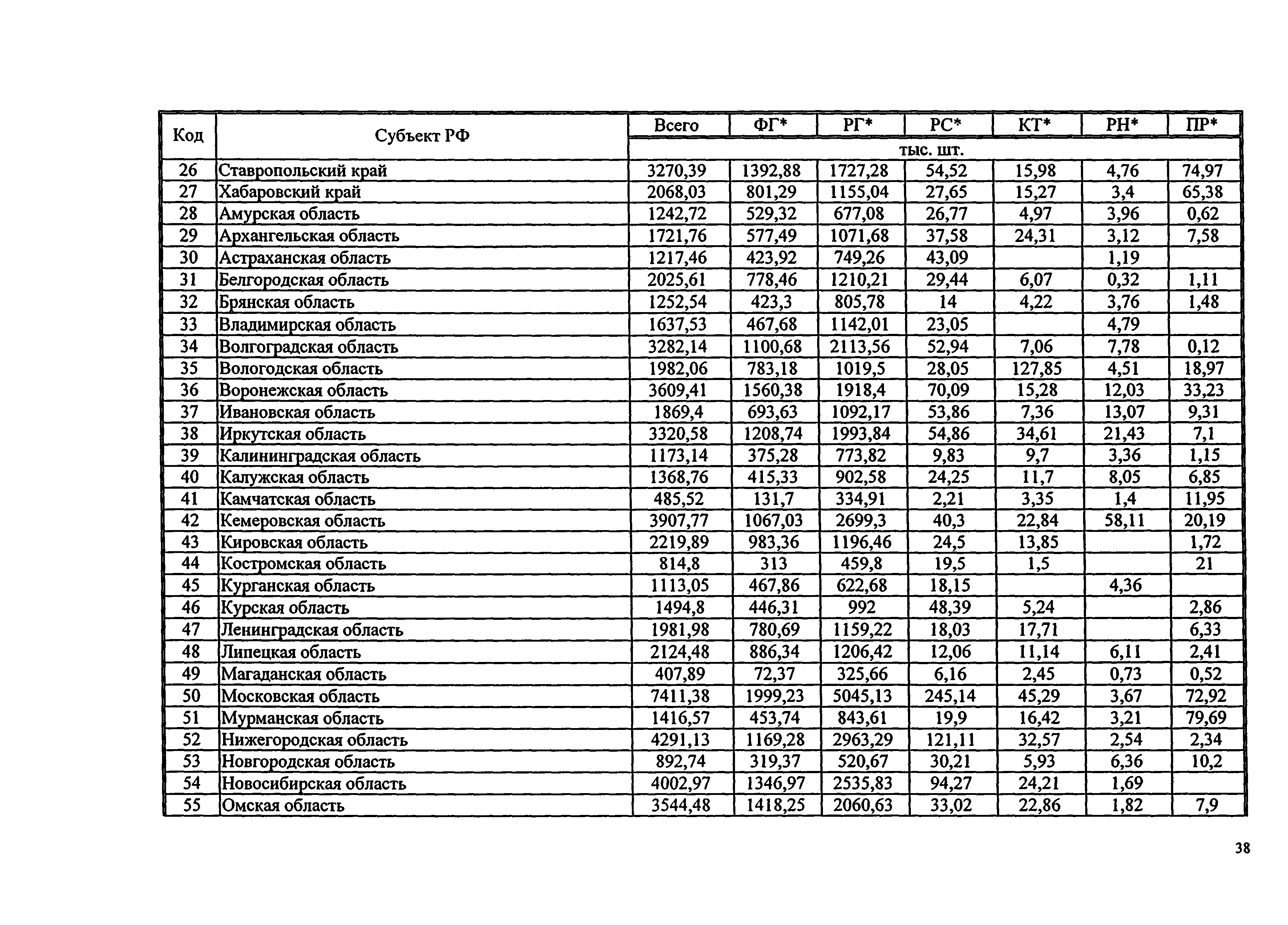
Область применения:Справочник содержит информацию о дозах облучения населения Российской Федерации от основных источников ионизирующего излучения, полученную на основе анализа форм федерального государственного статистического наблюдения № 1-ДОЗ, № 3-ДОЗ и № 4-ДОЗ и радиационно-гигиенических паспортов территорий за 2006 год
Оглавление:1. Введение
2. Дозы за счет нормальной эксплуатации техногенных источников
3. Дозы за счет природных источников
4. Дозы за счет техногенного фона
5. Дозы за счет использования источников ионизирующего излучения в медицинской диагностике
6. Вклады различных источников в дозы облучения населения
Приложение. Таблицы годовых эффективных доз облучения жителей Российской Федерации от всех основных источников ионизирующего излучения в 2006 году
Разработан: Санкт-Петербургский НИИ радиационной гигиены
Принят:30.11.2007 Роспотребнадзор (0100/12364-07-32)
Расположен в:Техническая документация Экология ОХРАНА ОКРУЖАЮЩЕЙ СРЕДЫ, ЗАЩИТА ЧЕЛОВЕКА ОТ ВОЗДЕЙСТВИЯ ОКРУЖАЮЩЕЙ СРЕДЫ. БЕЗОПАСНОСТЬ Защита от радиационного излучения Строительство Нормативные документы Нормативные документы органов надзора Нормативные документы Госатомнадзора России Нормативные документы Госкомсанэпиднадзора и Минздрава Российской Федерации
Нормативные ссылки:
Справочник Справочник Справочник Справочник Справочник Справочник Справочник Справочник Справочник Справочник Справочник Справочник Справочник Справочник Справочник Справочник Справочник Справочник Справочник Справочник Справочник Справочник Справочник Справочник Справочник Справочник Справочник Справочник Справочник Справочник Справочник Справочник Справочник Справочник Справочник Справочник Справочник Справочник Справочник Справочник Справочник Справочник Справочник Справочник Справочник Справочник Справочник Справочник Справочник Справочник Справочник Справочник Справочник Справочник Справочник Справочник Справочник Справочник Справочник Справочник Справочник Справочник Справочник

© 2013 Ёшкин Кот :-) Карта сайта