Информационная система
«Ёшкин Кот»

Скачать базу одним архивом
Скачать обновления
История создания базы
Карта сайта

Скачать Сборник средних сметных цен на перевозку грузов для строительства и капитального ремонта зданий и сооружений

Дата актуализации: 10.08.2017

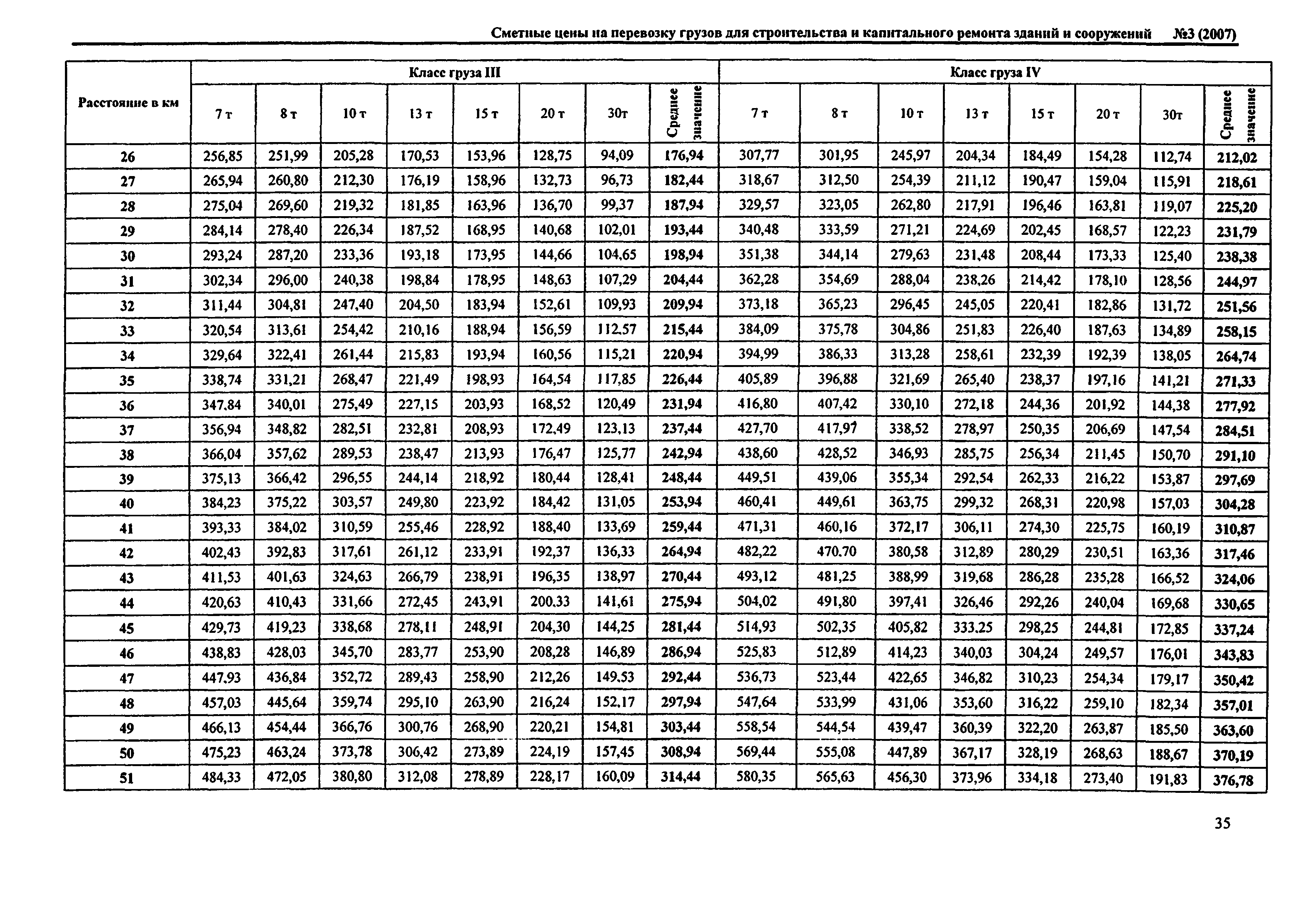
Сборник средних сметных цен на перевозку грузов для строительства и капитального ремонта зданий и сооружений

Статус:действует
Название рус.:Сборник средних сметных цен на перевозку грузов для строительства и капитального ремонта зданий и сооружений
Дата добавления в базу:01.09.2013
Дата актуализации:05.05.2017
Область применения:Территориальный сборник сметных цен на перевозку грузов для строительства и капитального ремонта зданий и сооружений предназначен для определения сметной стоимости строительно-монтажных (ремонтно-строительных) работ. Сметные цены на перевозки грузов для строительства и капитального ремонта зданий и сооружений приведены в уровне цен по состоянию на 3 квартал 2007 года
Оглавление:Автомобильные перевозки
Раздел 1. Сметные цены на тару, упаковку, реквизит
Раздел 2. Сметные цены на погрузочно-разгрузочные работы при железнодорожных и автомобильных перевозках
Раздел 3. Сметные цены на перевозки грузов автомобильным транспортом
Разработан: Краснодарский краевой центр ценообразования в строительстве Кубаньстройцена
Принят:14.08.2007 Департамент строительства Краснодарского края
Расположен в:Техническая документация Строительство Нормативные документы Нормативные документы субъектов Российской Федерации Нормативные документы Краснодарского края
Нормативные ссылки:

© 2013 Ёшкин Кот :-) Карта сайта