Информационная система
«Ёшкин Кот»

Скачать базу одним архивом
Скачать обновления
История создания базы
Карта сайта

Скачать ТЕР Краснодарского края 2001-15 Отделочные работы. Территориальные единичные расценки для определения стоимости строительных работ в Краснодарском крае

Дата актуализации: 10.08.2017

ТЕР Краснодарского края 2001-15

Отделочные работы. Территориальные единичные расценки для определения стоимости строительных работ в Краснодарском крае

Обозначение: ТЕР Краснодарского края 2001-15
Обозначение англ: 2001-15
Статус:действует
Название рус.:Отделочные работы. Территориальные единичные расценки для определения стоимости строительных работ в Краснодарском крае
Дата добавления в базу:01.09.2013
Дата актуализации:05.05.2017
Дата введения:01.09.2003
Область применения:Предназначен для определения прямых затрат в сметной стоимости отделочных работ, а также для расчетов за выполненные работы. Сборник ТЕР-2001-15 разработан в уровне базисных цен (Краснодарский край) по состоянию на 1 января 2000 года
Оглавление:Техническая часть
1. Общие указания
2. Правила исчисления объемов работ
3. Коэффициенты к расценкам
Раздел 01. Облицовочные работы
1. Облицовка поверхностей природным камнем и линейными фасонными камнями
15-01-001 Облицовка стен гранитными плитами
15-01-002 Облицовка стен плитами из известняка, мрамора и травертина
15-01-003 Облицовка гранитными плитами
15-01-004 Облицовка плитами из известняка мрамора и травертина
15-01-005 На каждые 10 мм изменения толщины плит при облицовке стен и колонн
15-01-006 При облицовке поверхностей природным камнем с прокладкой в горизонтальных швах свинца добавлять
15-01-007 Облицовка поверхностей линейными полированными фасонными камнями
15-01-008 Облицовка поверхностей линейными чистотесанными фасонными камнями
15-01-009 Облицовка поверхностей полированными плитами толщиной 10 мм
15-01-010 Облицовка мрамором ступеней и укладка мраморных плит
2. Облицовка поверхности искусственными плиткам
15-01-016 Наружная облицовка но бетонной поверхности керамическими отдельными плитками
15-01-017 Наружная облицовка по бетонной поверхности фасадными керамическими цветными плитками (типа "кабанчик") на цементном растворе
15-01-018 Наружная облицовка по бетонной поверхности коврами из мелких керамических плиток на полимерцементной мастике
15-01-019 Гладкая облицовка стен, столбов, пилястр и откосов (без карнизных, плинтусных и угловых плиток)
15-01-020 Облицовка поверхностей с карнизными, плинтусными и угловыми плитками
15-01-021 Устройство основания под облицовку искусственным мрамором
15-01-022 Облицовка оселковым мрамором стен, столбов, колонн и пилястр
15-01-023 Облицовка оселковым мрамором откосов, тяг, поясков, плинтусов и капителей
15-01-024 Облицовка утюжным мрамором стен, столбов, колонн и пилястр
15-01-025 Облицовка утюжным мрамором откосов, тяг, поясков, плинтусов и капителей
3. Облицовочные работы в зданиях с повышенными требованиями к отделке
15-01-031 Облицовка стен полированными плитами
15-01-032 Облицовка полированными плитами колонн
15-01-033 Облицовка плитами толщиной до 40 мм из туфа, известняка и ракушечника стен, пилястр, откосов, проемов
15-01-034 Облицовка плитами толщиной до 40 мм из туфа, известняка и ракушечника колонн
15-01-035 Устройство полов из полированных плит различной формы
15-01-036 Облицовка арок полированными плитами
15-01-037 Облицовка крышки парапета гранитными полированными плитами толщиной 40-60 мм
15-01-038 Облицовка ступеней гранитными плитами
15-01-039 Установка цельных гранитных ступеней толщиной 150 мм
15-01-040 Устройство полов гладких или орнаментированных из полированных плит
15-01-041 Облицовка пилястр, откосов полированными плитами из мрамора
4. Облицовка внутренних поверхностей листовыми материалами
15-01-047 Облицовка потолков декоративными плитами с установкой каркасов
15-01-048 Облицовка доломитовыми плитами стен, колонн, пилястр и откосов
15-01-049 Облицовка стен по готовому каркасу щитами-картинами из древесностружечных плит (ДСП)
15-01-050 Облицовка стен и откосов декоративным бумажно-слоистым пластиком или листами из синтетических материалов
Раздел 02. Штукатурные работы
1. Штукатурка фасадов
15-02-001 Улучшенная штукатурка цементно-известковым раствором по камню
15-02-002 Высококачественная штукатурка цементно-известковым раствором по камню стен, колонн, пилястр
15-02-003 Высококачественная штукатурка цементно-известковым раствором по камню откосов
15-02-004 Высококачественная штукатурка цементно-известковым раствором но камню карнизов, тяг, наличников
15-02-005 Высококачественная штукатурка декоративным раствором по камню стен, колонн, пилястр
15-02-006 Высококачественная штукатурка декоративным раствором по камню откосов
15-02-007 Высококачественная штукатурка декоративным раствором по камню карнизов, тяг, наличников
15-02-008 Фактурная отделка фасадов мраморной крошкой
15-02-009 Фактурная отделка фасадов стеклянной крошкой
2. Штукатурка поверхностей внутри здания
15-02-015 Штукатурка поверхностей известковым раствором
15-02-016 Оштукатуривание поверхностей цементно-известковым или цементным раствором по камню и бетону
15-02-017 Оштукатуривание внутренних поверхностей наружных стен известковым раствором по камню и бетону (когда остальные поверхности не оштукатуриваются)
15-02-018 Оштукатуривание внутренних поверхностей наружных стен цементно-известковым или цементным раствором по камню и бетону (когда остальные поверхности не оштукатуриваются)
15-02-019 Сплошное выравнивание бетонных поверхностей (однослойная штукатурка) известковым раствором
15-02-020 Оштукатуривание цементно-церезитовое по камню и бетону
15-02-021 Оштукатуривание рентгенозащитным раствором
15-02-022 Оштукатуривание прямоугольных кессонов площадью проекции до 12 м2 по ребристому железобетонному перекрытию
15-02-023 Оштукатуривание прямоугольных кессонов площадью проекции более 12 м2 по ребристому железобетонному перекрытию
15-02-024 Облицовка листами сухой штукатурки
15-02-025 Обработка швов сухой штукатурки
3. Оштукатуривание отдельных мест, лестничных маршей и площадок. декоративная штукатурка
15-02-031 Оштукатуривание отдельных мест
15-02-032 Устройство наличников тянутых
15-02-033 Обивка поверхностей
15-02-034 Оштукатуривание лестничных маршей и площадок
15-02-035 Отделка поверхностей из сборных элементов и плит под окраску или оклейку обоями
15-02-036 Оштукатуривание по сетке без устройства каркаса
15-02-037 Устройство каркаса
15-02-038 Механизированная отделка поверхности под мелкозернистую фактуру шагрень
Раздел 03. Лепные работы
15-03-001 Установка гипсовых погонных деталей орнаментированных плоских, выпуклых, рельефных, простого или сложного рисунка (порезки, пояса, фриза, капли и т.п.)
15-03-002 Установка гипсовых штучных розеток (кессонных, потолочных круглых, многофазных простого, среднего и сложного рисунков)
15-03-003 Установка на колоннах гипсовых штучных деталей
15-03-004 Установка гипсовых штучных деталей
15-03-005 Установка цементных деталей погонных орнаментированных плоских, выпуклых и рельефных простого или сложного рисунка
15-03-006 Установка цементных штучных деталей (розеток кессонных, балясин)
15-03-007 Установка цементных деталей (капителей, баз, шишек, сухарей, кронштейнов и модульонов)
15-03-008 Установка цементных деталей (ваз, гербов)
Раздел 04. Малярные работы
1. Окраска водными составами внутри помещения
15-04-001 Окраска клеевыми и казеиновыми составами внутри помещений
15-04-002 Окраска известковыми и силикатными составами внутри помещений
15-04-003 Силикатная окраска деревянных сегментных ферм (со всех сторон за 2 раза)
15-04-004 Разделка поверхности по клеевой окраске
15-04-005 Окраска поливинилацетатными водоэмульсионными составами
2. Окраска фасадов с лесов или люлек
15-04-011 Окраска фасадов с лесов с подготовкой поверхности известковыми, силикатными и цементными составами
15-04-012 Окраска фасадов с лесов с подготовкой поверхности перхлорвиниловыми, кремнийорганическими и поливинилацетатными составам и
15-04-013 Окраска фасадов с лесов по подготовленной поверхности известковыми, силикатными и цементными составами
15-04-014 Окраска фасадов с лесов по подготовленной поверхности перхлорвиниловыми, кремнийорганическими и поливинилацетатными составами
15-04-015 Окраска фасадов с люлек с подготовкой поверхности известковыми, силикатными и цементными составами
15-04-016 Окраска фасадов с люлек с подготовкой поверхности перхлорвиниловыми, кремнийорганическими и поливинилацетатными составам и
15-04-017 Окраска фасадов с люлек по подготовленной поверхности известковыми, силикатными и цементными составами
15-04-018 Окраска фасадов с люлек по подготовленной поверхности перхлорвиниловыми, кремнийорганическими и поливинилацетатными составами
3. Окраска масляными составами
15-04-024 Простая окраска масляными составами
15-04-025 Улучшенная окраска масляными составами
15-04-026 Высококачественная окраска масляными составами
15-04-027 Третья шпатлевка при высококачественной окраске
15-04-028 Рядовая разделка с последующей лессировкой окрашиваемой поверхности
15-04-029 Покрытие полов лаком и оклейка тканями
15-04-030 Масляная окраска металлических поверхностей и трубопроводов по изоляции
15-04-031 Окраска кровли суриком
15-04-032 Окраска суриком стальных обделок на фасадах
4. Покрытие и окраска лаками и специальными составами
15-04-038 Окраска эмалевыми составами, покрытие масляными и спиртовыми лаками
15-04-039 Покрытие масляными или спиртовыми лаками по проолифленной поверхности
15-04-040 Окраска по металлу за 1 раз
15-04-041 Окраска по металлу за 2 раза
5. Декоративные работы
15-04-047 Декоративная отделка поверхностей
15-04-048 Отделка поверхностей мелкозернистыми декоративными покрытиям и из минеральных или полимерминеральных пастовых составов на латексной основе
Раздел 05. Стекольные работы
1. Остекление деревянных оконных переплетов, фрамуг. дверных полотен и витрин жилых и общественных зданий
15-05-001 Остекление оконным стеклом
15-05-002 Остекление стеклом
15-05-003 Остекление оконным стеклом толщиной 4 мм
15-05-004 Тройное остекление деревянных переплетов
15-05-005 Тройное остекление деревянных переплетов в жилых и общественных зданиях
15-05-006 Остекление дверных одинарных полотен при толщине стекла свыше 4 мм до 6 мм
2. Остекление переплетов промышленных зданий
15-05-012 Остекление деревянных переплетов промышленных зданий
15-05-013 Остекление промышленных зданий стальных переплетов
3. Остекление конструкций профильным стеклом
15-05-019 Остекление оконных переплетов
15-05-020 Остекление перегородок
15-05-021 Остекление в построечных условиях металлических переплетов двухслойными стеклопакетами
15-05-022 Остекление профильным стеклом зенитных фонарей
Раздел 06. Обойные работы
15-06-001 Оклейка обоями
15-06-002 Оклейка стен моющимися обоями
15-06-003 Оклейка стен поливинилхлоридной декоративно-отделочной самоклеющейся пленкой
Приложение 1. Сборник сметных цен 1 машино-часа эксплуатации машин и механизмов, учтенных при разработке ТЕР
Приложение 2. Сборник сметных цен на строительные материалы, изделия и конструкции, учтенных при разработке ТЕР
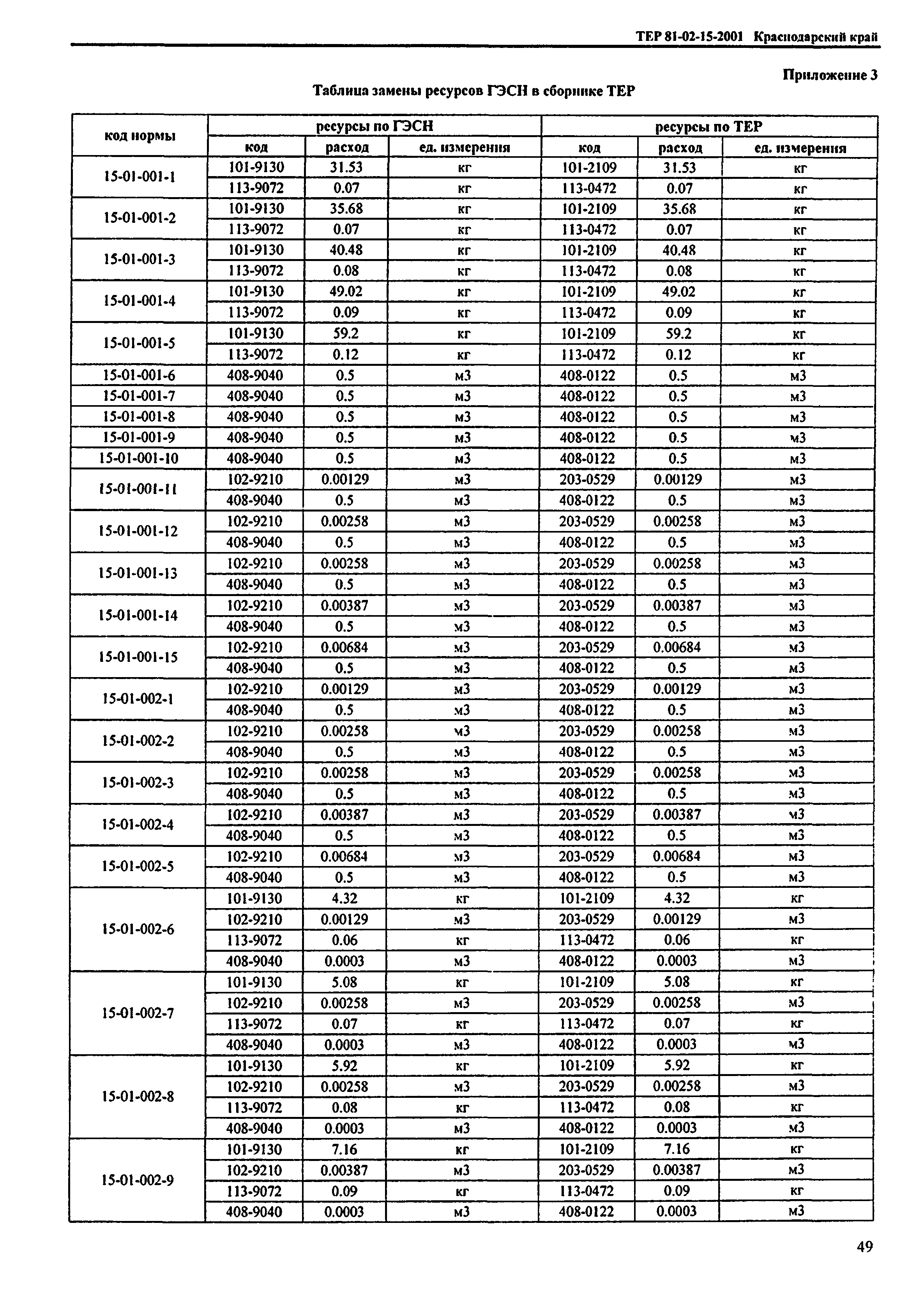
Приложение 3. Таблица замены ресурсов ГЭСН в сборнике ТЕР
Содержание
Разработан: Краснодарский краевой центр ценообразования в строительстве Кубаньстройцена
ОАО проектно-изыскательский институт Кубаньводпроект
Утверждён:01.09.2003 Администрация Краснодарского края
Издан: Администрация Краснодарского края (2003 г. )
Расположен в:Техническая документация Строительство Нормативные документы Нормативные документы субъектов Российской Федерации Нормативные документы Краснодарского края Документы Системы нормативных документов в строительстве Нормативные документы по экономике к.81 Ценообразование и сметы Классификатор ISO Нормативные документы по экономике Ценообразование и сметы
Заменяет собой:
ТЕР Краснодарского края 2001-15ТЕР Краснодарского края 2001-15ТЕР Краснодарского края 2001-15ТЕР Краснодарского края 2001-15ТЕР Краснодарского края 2001-15ТЕР Краснодарского края 2001-15ТЕР Краснодарского края 2001-15ТЕР Краснодарского края 2001-15ТЕР Краснодарского края 2001-15ТЕР Краснодарского края 2001-15ТЕР Краснодарского края 2001-15ТЕР Краснодарского края 2001-15ТЕР Краснодарского края 2001-15ТЕР Краснодарского края 2001-15ТЕР Краснодарского края 2001-15ТЕР Краснодарского края 2001-15ТЕР Краснодарского края 2001-15ТЕР Краснодарского края 2001-15ТЕР Краснодарского края 2001-15ТЕР Краснодарского края 2001-15ТЕР Краснодарского края 2001-15ТЕР Краснодарского края 2001-15ТЕР Краснодарского края 2001-15ТЕР Краснодарского края 2001-15ТЕР Краснодарского края 2001-15ТЕР Краснодарского края 2001-15ТЕР Краснодарского края 2001-15ТЕР Краснодарского края 2001-15ТЕР Краснодарского края 2001-15ТЕР Краснодарского края 2001-15ТЕР Краснодарского края 2001-15ТЕР Краснодарского края 2001-15ТЕР Краснодарского края 2001-15ТЕР Краснодарского края 2001-15ТЕР Краснодарского края 2001-15ТЕР Краснодарского края 2001-15ТЕР Краснодарского края 2001-15ТЕР Краснодарского края 2001-15ТЕР Краснодарского края 2001-15ТЕР Краснодарского края 2001-15ТЕР Краснодарского края 2001-15ТЕР Краснодарского края 2001-15ТЕР Краснодарского края 2001-15ТЕР Краснодарского края 2001-15ТЕР Краснодарского края 2001-15ТЕР Краснодарского края 2001-15ТЕР Краснодарского края 2001-15ТЕР Краснодарского края 2001-15ТЕР Краснодарского края 2001-15ТЕР Краснодарского края 2001-15ТЕР Краснодарского края 2001-15ТЕР Краснодарского края 2001-15ТЕР Краснодарского края 2001-15ТЕР Краснодарского края 2001-15ТЕР Краснодарского края 2001-15ТЕР Краснодарского края 2001-15ТЕР Краснодарского края 2001-15ТЕР Краснодарского края 2001-15ТЕР Краснодарского края 2001-15ТЕР Краснодарского края 2001-15ТЕР Краснодарского края 2001-15ТЕР Краснодарского края 2001-15ТЕР Краснодарского края 2001-15ТЕР Краснодарского края 2001-15

© 2013 Ёшкин Кот :-) Карта сайта