Скачать ИМ 14-28-00 Соединители низкочастотные. Номенклатурный справочникДата актуализации: 10.08.2017 ИМ 14-28-00
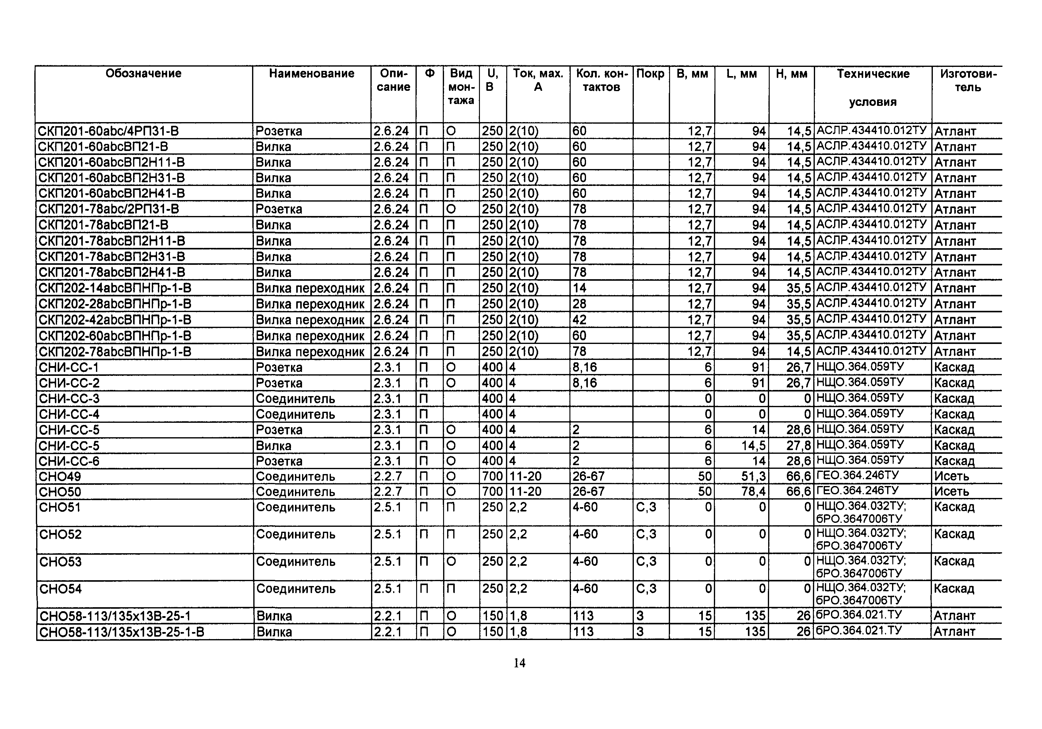
Соединители низкочастотные. Номенклатурный справочникОбозначение: | ИМ 14-28-00 | Обозначение англ: | 14-28-00 | Статус: | действует | Название рус.: | Соединители низкочастотные. Номенклатурный справочник | Дата добавления в базу: | 01.09.2013 | Дата актуализации: | 05.05.2017 | Область применения: | В справочнике приведены основные характеристики изделий | Оглавление: | Алфавитный указатель 1. Соединители низкочастотные на напряжение до 1500 В, цилиндрические 2. Соединители низкочастотные на напряжение до 1500 В, прямоугольные Адреса и телефоны заводов-изготовителей | Издан: | ООО Норма-РТМ (2000 г. )
| Расположен в: |
|
                                                                           
|