Информационная система
«Ёшкин Кот»

Скачать базу одним архивом
Скачать обновления
История создания базы
Карта сайта

Скачать ИМ 14-25-2005 Средства управления электротехнические. Выключатели (переключатели). Микровыключатели (микропереключатели). Выключатели (переключатели) путевые. Тумблеры. Справочник

Дата актуализации: 10.08.2017

ИМ 14-25-2005

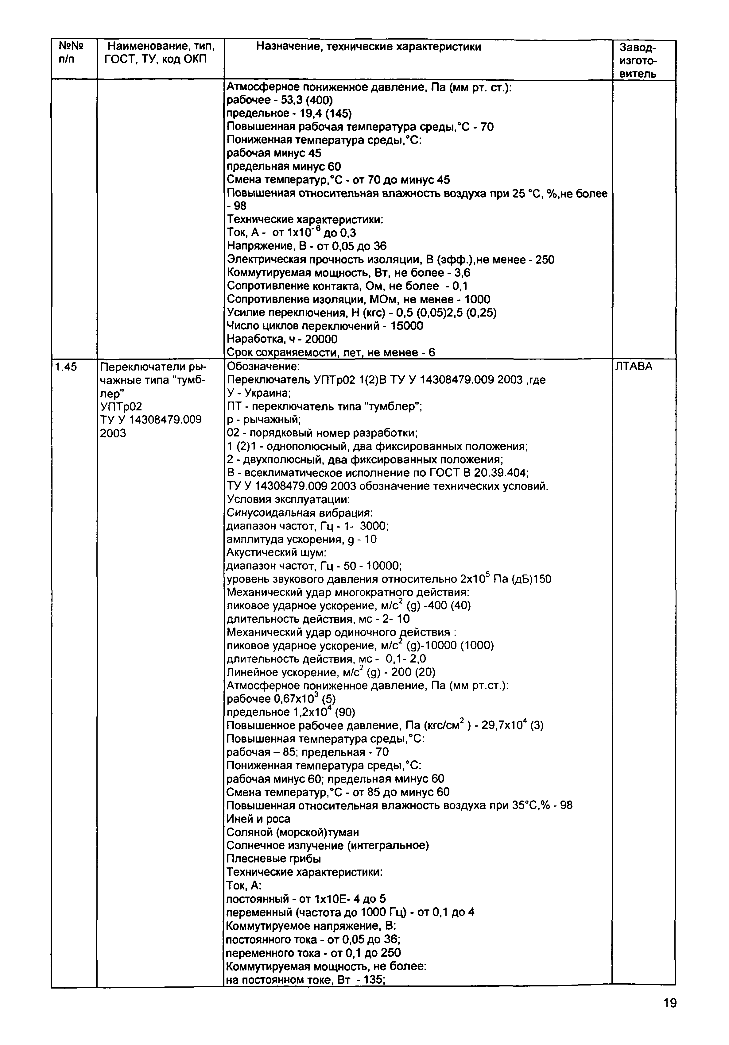
Средства управления электротехнические. Выключатели (переключатели). Микровыключатели (микропереключатели). Выключатели (переключатели) путевые. Тумблеры. Справочник

Обозначение: ИМ 14-25-2005
Обозначение англ: 14-25-2005
Статус:действует
Название рус.:Средства управления электротехнические. Выключатели (переключатели). Микровыключатели (микропереключатели). Выключатели (переключатели) путевые. Тумблеры. Справочник
Дата добавления в базу:01.09.2013
Дата актуализации:05.05.2017
Область применения:В справочнике приведены основные технические характеристики выключателей (переключателей), микровыключателей (микропереключателей), выключателей (переключателей) путевых, тумблеров
Оглавление:Алфавитный указатель
1. Выключатели (переключатели)
2. Микровыключатели (микропереключатели)
3. Выключатели (переключатели) путевые
4. Тумблеры
Адреса и телефоны заводов-изготовителей
Разработан: ООО Норма-РТМ
Издан: ООО Норма-РТМ (2005 г. )
Расположен в:Техническая документация Экология СТРОИТЕЛЬНЫЕ МАТЕРИАЛЫ И СТРОИТЕЛЬСТВО Установки в зданиях Системы электроснабжения ЭЛЕКТРОТЕХНИКА Электрическая арматура Переключатели Электрическая арматура в целом Строительство Нормативные документы Отраслевые и ведомственные нормативно-методические документы Производство монтажных и специальных строительных работ
Заменяет собой:
  • ИМ 14-25-01
Нормативные ссылки:
ИМ 14-25-2005ИМ 14-25-2005ИМ 14-25-2005ИМ 14-25-2005ИМ 14-25-2005ИМ 14-25-2005ИМ 14-25-2005ИМ 14-25-2005ИМ 14-25-2005ИМ 14-25-2005ИМ 14-25-2005ИМ 14-25-2005ИМ 14-25-2005ИМ 14-25-2005ИМ 14-25-2005ИМ 14-25-2005ИМ 14-25-2005ИМ 14-25-2005ИМ 14-25-2005ИМ 14-25-2005ИМ 14-25-2005ИМ 14-25-2005ИМ 14-25-2005ИМ 14-25-2005ИМ 14-25-2005ИМ 14-25-2005ИМ 14-25-2005ИМ 14-25-2005ИМ 14-25-2005ИМ 14-25-2005ИМ 14-25-2005ИМ 14-25-2005ИМ 14-25-2005ИМ 14-25-2005ИМ 14-25-2005ИМ 14-25-2005ИМ 14-25-2005ИМ 14-25-2005ИМ 14-25-2005ИМ 14-25-2005ИМ 14-25-2005ИМ 14-25-2005ИМ 14-25-2005ИМ 14-25-2005ИМ 14-25-2005ИМ 14-25-2005ИМ 14-25-2005ИМ 14-25-2005ИМ 14-25-2005ИМ 14-25-2005ИМ 14-25-2005ИМ 14-25-2005ИМ 14-25-2005ИМ 14-25-2005ИМ 14-25-2005ИМ 14-25-2005ИМ 14-25-2005ИМ 14-25-2005ИМ 14-25-2005ИМ 14-25-2005ИМ 14-25-2005ИМ 14-25-2005ИМ 14-25-2005ИМ 14-25-2005ИМ 14-25-2005ИМ 14-25-2005ИМ 14-25-2005ИМ 14-25-2005ИМ 14-25-2005ИМ 14-25-2005ИМ 14-25-2005ИМ 14-25-2005ИМ 14-25-2005ИМ 14-25-2005ИМ 14-25-2005ИМ 14-25-2005ИМ 14-25-2005ИМ 14-25-2005ИМ 14-25-2005ИМ 14-25-2005ИМ 14-25-2005ИМ 14-25-2005ИМ 14-25-2005ИМ 14-25-2005ИМ 14-25-2005ИМ 14-25-2005ИМ 14-25-2005ИМ 14-25-2005ИМ 14-25-2005

© 2013 Ёшкин Кот :-) Карта сайта