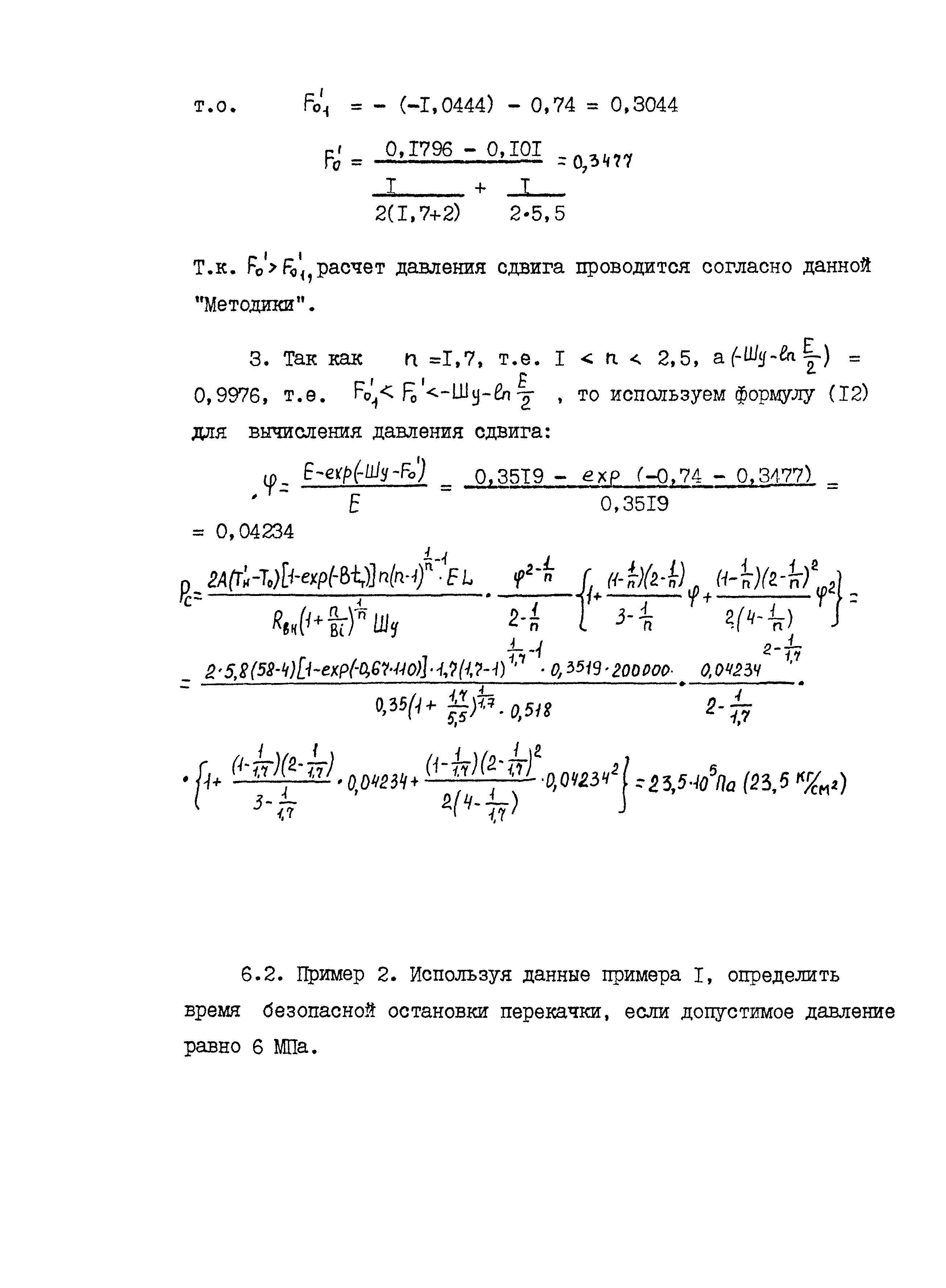
Скачать РД 39-0148311-329-88 Методика определения пускового давления для нефтепроводов, транспортирующих парафиновые нефтиДата актуализации: 10.08.2017 РД 39-0148311-329-88
Методика определения пускового давления для нефтепроводов, транспортирующих парафиновые нефтиОбозначение: | РД 39-0148311-329-88 | Обозначение англ: | RD 39-0148311-329-88 | Статус: | не действует | Название рус.: | Методика определения пускового давления для нефтепроводов, транспортирующих парафиновые нефти | Дата добавления в базу: | 01.09.2013 | Дата актуализации: | 05.05.2017 | Дата введения: | 01.01.1992 | Область применения: | Методика расчета пускового давления для нефтепроводов, транспортирующих парафиновые нефти, позволяет определить минимальное давление, необходимое для сдвига "застывшей" в трубопроводе нефти при заданном времени остановки, время безопасной остановки трубопровода при известном допустимом давлении на насосной станции. Методика расчета пускового давления предназначена для наземных трубопроводов; трубопроводов, проложенных в воде; подземных трубопроводов, для которых процесс охлаждения можно считать осесимметричным.
Методика расчета пускового давления предназначена для участка трубопровода, на котором можно пренебречь процессами конвекции (из-за высокой вязкости нефти) и считать, что охлаждение нефти идет только за счет теплопроводности. | Оглавление: | 1 Общие положения 2 Перечень условных обозначений 3 Исходные данные для расчета и их определение 4 Расчет давления сдвига "застывшей" в трубопроводе нефти 5 Расчет времени безопасной остановки трубопроводов, транспортирующих парафиновые нефти 6 Примеры расчета Приложение. Построение графиков для определения времени безопасной остановки перекачки | Разработан: | Гипровостокнефть Миннефтепрома (Giprovostokneft, Minnefteprom )
| Утверждён: | 05.09.1988 Министерство нефтяной промышленности СССР (USSR Ministry of the Petroleum Industry )
| Расположен в: |
|
                            
|