Информационная система
«Ёшкин Кот»

Скачать базу одним архивом
Скачать обновления
История создания базы
Карта сайта

Скачать РД 153-39.4Р-125-02 Табель оснащения нефтепроводных предприятий ОАО АК Транснефть техническими средствами для ликвидации аварийных разливов нефти на подводных переходах магистральных нефтепроводов

Дата актуализации: 10.08.2017

РД 153-39.4Р-125-02

Табель оснащения нефтепроводных предприятий ОАО "АК "Транснефть" техническими средствами для ликвидации аварийных разливов нефти на подводных переходах магистральных нефтепроводов

Обозначение: РД 153-39.4Р-125-02
Обозначение англ: RD 153-39.4Р-125-02
Статус:заменен
Название рус.:Табель оснащения нефтепроводных предприятий ОАО "АК "Транснефть" техническими средствами для ликвидации аварийных разливов нефти на подводных переходах магистральных нефтепроводов
Дата добавления в базу:01.09.2013
Дата актуализации:05.05.2017
Дата введения:25.06.2004
Область применения:Табель предназначен для применения предприятиями ОАО "АК "Транснефть". Табель назначает места расположения технических средств и определяет состав сил и технического оснащения, необходимых для локализации и сбора аварийного разлива нефти на ППМП.
Оглавление:1 Область применения
2 Термины, определения и обозначения
3 Методика определения состава и количества технических средств ликвидации разлива нефти при аварии на подводных переходах магистральных нефтепроводов
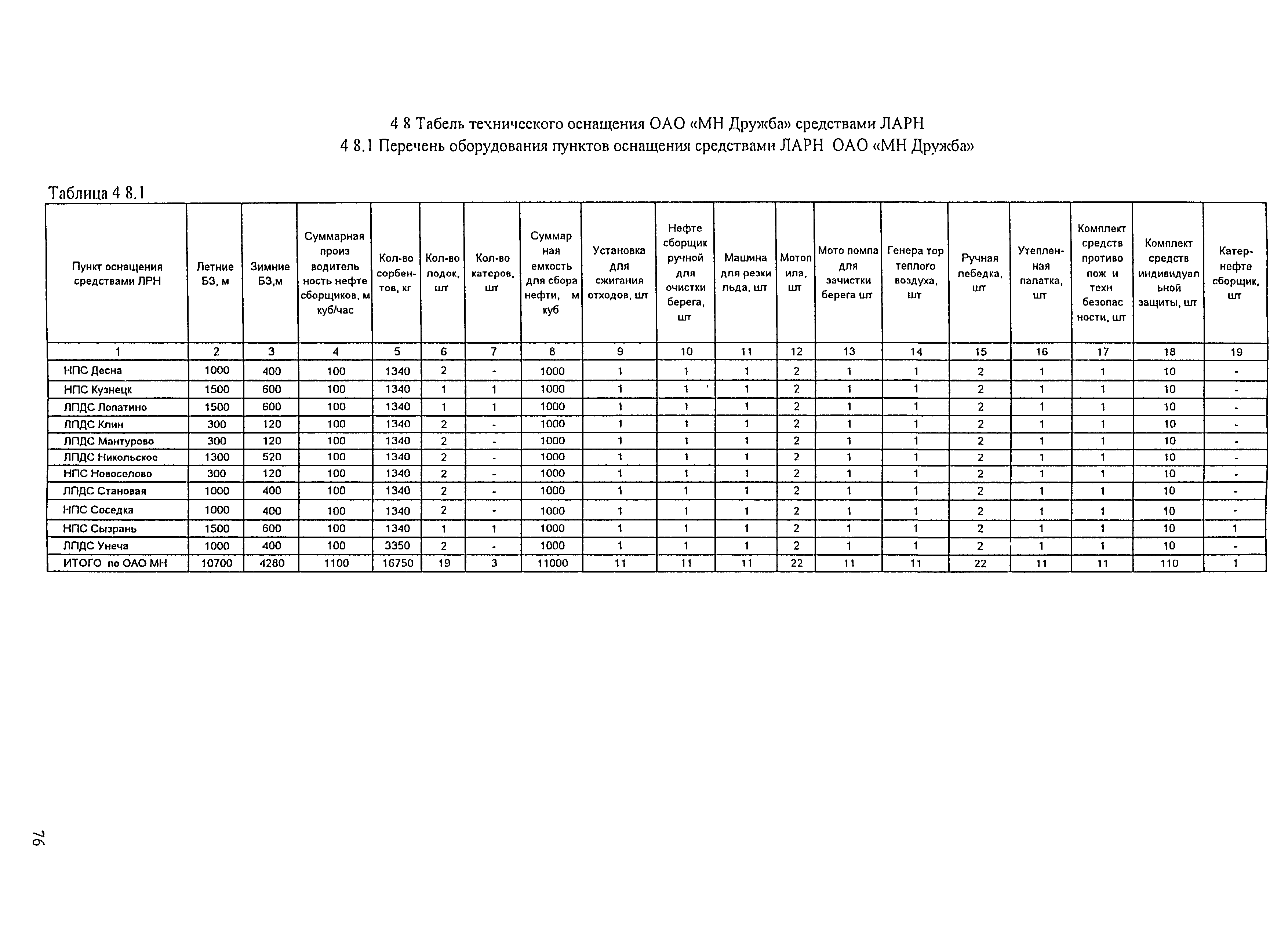
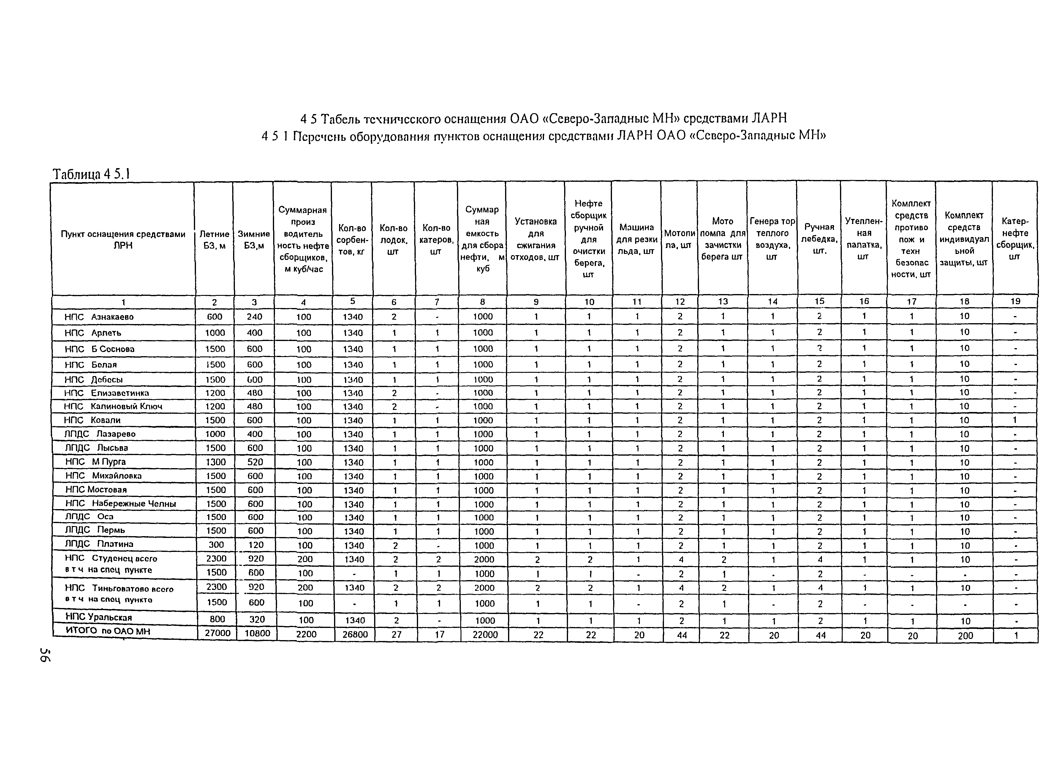
4 Табель технического оснащения ОАО МН средствами ликвидации разлива нефти
5 Технические характеристики оборудования для ликвидации аварий на подводных переходах для магистральных нефтепроводов
Список литературы
Разработан: ЗАО ПИРС
Утверждён:03.06.2002 ОАО АК Транснефть (Transneft АК OAO )
Принят:11.03.2002 Госгортехнадзор России (Russian Federation Gosgortekhnadzor )
22.06.2002 МЧС России (Russian Federation MChS )
Расположен в:Техническая документация Экология ДОБЫЧА И ПЕРЕРАБОТКА НЕФТИ, ГАЗА И СМЕЖНЫЕ ПРОИЗВОДСТВА Оборудование для переработки нефти, нефтяных продуктов и природного газа Трубопроводы и их компоненты ОХРАНА ОКРУЖАЮЩЕЙ СРЕДЫ, ЗАЩИТА ЧЕЛОВЕКА ОТ ВОЗДЕЙСТВИЯ ОКРУЖАЮЩЕЙ СРЕДЫ. БЕЗОПАСНОСТЬ Борьба с несчастными случаями и катастрофами Строительство Нормативные документы Отраслевые и ведомственные нормативно-методические документы Проектирование и строительство объектов нефтяной и газовой промышленности
Заменяет собой:
  • РД 153-39.4-143-99
Чем заменён:
  • РД 153-39.4Р-125-02* «Табель оснащения нефтепроводных предприятий ОАО "АК "Транснефть" техническими средствами для ликвидации аварийных разливов нефти на подводных переходах магистральных нефтепроводов» (Утвержден - 03.06.2002)
Нормативные ссылки:
РД 153-39.4Р-125-02РД 153-39.4Р-125-02РД 153-39.4Р-125-02РД 153-39.4Р-125-02РД 153-39.4Р-125-02РД 153-39.4Р-125-02РД 153-39.4Р-125-02РД 153-39.4Р-125-02РД 153-39.4Р-125-02РД 153-39.4Р-125-02РД 153-39.4Р-125-02РД 153-39.4Р-125-02РД 153-39.4Р-125-02РД 153-39.4Р-125-02РД 153-39.4Р-125-02РД 153-39.4Р-125-02РД 153-39.4Р-125-02РД 153-39.4Р-125-02РД 153-39.4Р-125-02РД 153-39.4Р-125-02РД 153-39.4Р-125-02РД 153-39.4Р-125-02РД 153-39.4Р-125-02РД 153-39.4Р-125-02РД 153-39.4Р-125-02РД 153-39.4Р-125-02РД 153-39.4Р-125-02РД 153-39.4Р-125-02РД 153-39.4Р-125-02РД 153-39.4Р-125-02РД 153-39.4Р-125-02РД 153-39.4Р-125-02РД 153-39.4Р-125-02РД 153-39.4Р-125-02РД 153-39.4Р-125-02РД 153-39.4Р-125-02РД 153-39.4Р-125-02РД 153-39.4Р-125-02РД 153-39.4Р-125-02РД 153-39.4Р-125-02РД 153-39.4Р-125-02РД 153-39.4Р-125-02РД 153-39.4Р-125-02РД 153-39.4Р-125-02РД 153-39.4Р-125-02РД 153-39.4Р-125-02РД 153-39.4Р-125-02РД 153-39.4Р-125-02РД 153-39.4Р-125-02РД 153-39.4Р-125-02РД 153-39.4Р-125-02РД 153-39.4Р-125-02РД 153-39.4Р-125-02РД 153-39.4Р-125-02РД 153-39.4Р-125-02РД 153-39.4Р-125-02РД 153-39.4Р-125-02РД 153-39.4Р-125-02РД 153-39.4Р-125-02РД 153-39.4Р-125-02РД 153-39.4Р-125-02РД 153-39.4Р-125-02РД 153-39.4Р-125-02РД 153-39.4Р-125-02РД 153-39.4Р-125-02РД 153-39.4Р-125-02РД 153-39.4Р-125-02РД 153-39.4Р-125-02РД 153-39.4Р-125-02РД 153-39.4Р-125-02РД 153-39.4Р-125-02РД 153-39.4Р-125-02РД 153-39.4Р-125-02РД 153-39.4Р-125-02РД 153-39.4Р-125-02РД 153-39.4Р-125-02РД 153-39.4Р-125-02РД 153-39.4Р-125-02РД 153-39.4Р-125-02РД 153-39.4Р-125-02РД 153-39.4Р-125-02РД 153-39.4Р-125-02РД 153-39.4Р-125-02РД 153-39.4Р-125-02РД 153-39.4Р-125-02РД 153-39.4Р-125-02РД 153-39.4Р-125-02РД 153-39.4Р-125-02РД 153-39.4Р-125-02РД 153-39.4Р-125-02РД 153-39.4Р-125-02РД 153-39.4Р-125-02РД 153-39.4Р-125-02РД 153-39.4Р-125-02РД 153-39.4Р-125-02РД 153-39.4Р-125-02РД 153-39.4Р-125-02РД 153-39.4Р-125-02РД 153-39.4Р-125-02

© 2013 Ёшкин Кот :-) Карта сайта