Информационная система
«Ёшкин Кот»

Скачать базу одним архивом
Скачать обновления
История создания базы
Карта сайта

Скачать Руководство по проектированию подпорных стен и стен подвалов для промышленного и гражданского строительства

Дата актуализации: 10.08.2017

Руководство по проектированию подпорных стен и стен подвалов для промышленного и гражданского строительства

Статус:действует
Название рус.:Руководство по проектированию подпорных стен и стен подвалов для промышленного и гражданского строительства
Дата добавления в базу:01.09.2013
Дата актуализации:05.05.2017
Область применения:Руководство составлено к главам СНиП II-15-74 и II-91-77 и содержит основные положения по расчету и конструированию подпорных стен из монолитного и сборного железобетона с примерами расчета и необходимыми табличными значениями коэффициентов, облегчающих расчет, а также рекомендации по расчету стен подвалов промышленных и гражданских зданий.
Оглавление:1. Общие положения
2. Материалы для подпорных стен
3. Типы подпорных стен
4. Внешние нагрузки и их воздействия
5. Определение активного давления грунта
6. Расчет подпорных стен
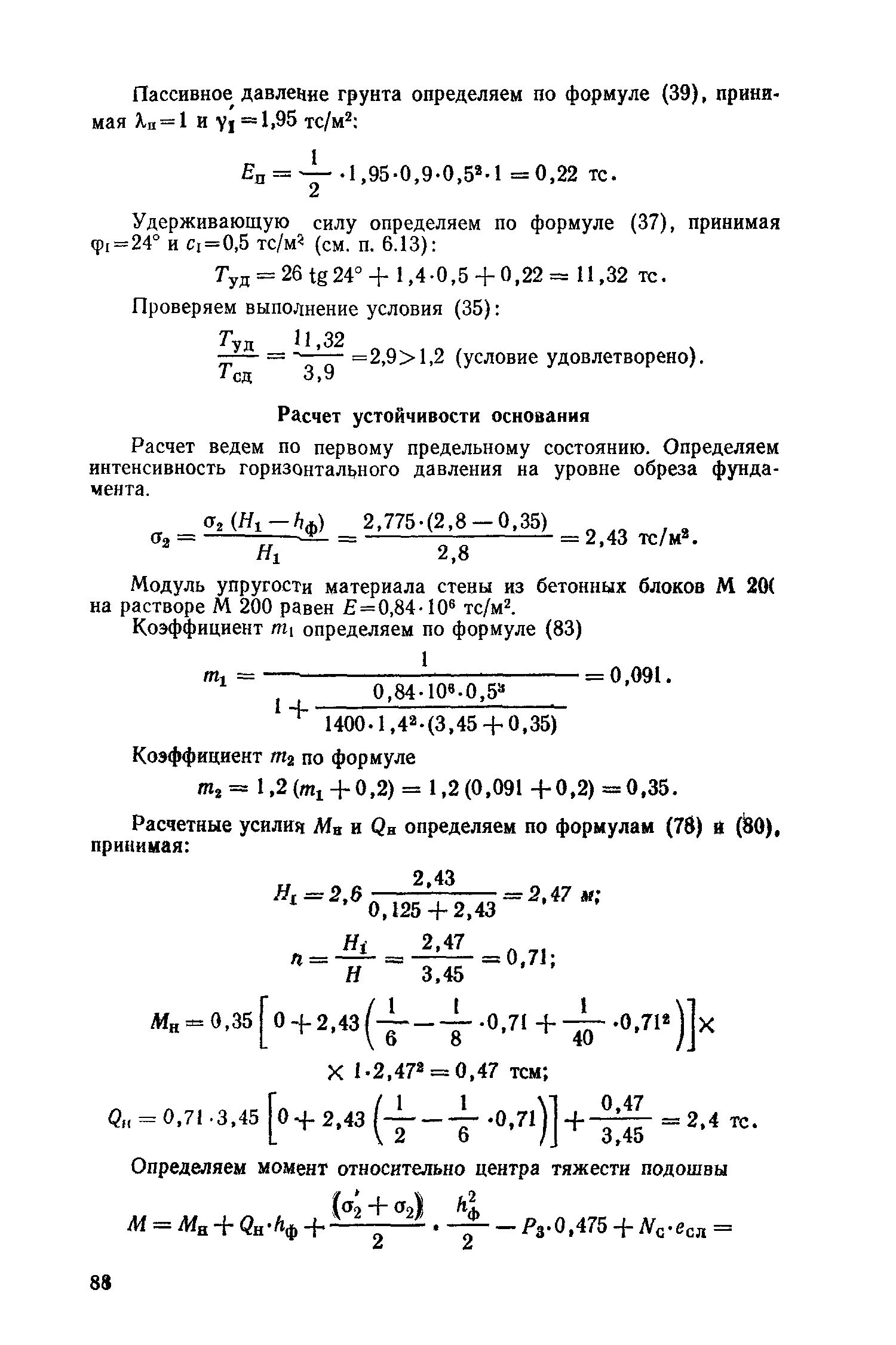
Расчет устойчивости положения стены против сдвига
Расчет устойчивости основания под подошвой стены
Расчет прочности скального основания
Расчет оснований по деформациям
Определение усилий в элементах конструкций
7. Конструктивные указания
Назначение предварительных размеров подпорных стен
Глубина заложения подошв подпорных стен и подготовка основания
Температурно-осадочные швы
Обратная засыпка
Дренаж, гидроизоляция, антикоррозионная защита
Расположение и габариты приближения
Армирование подпорных стен
8. Наружные стены подвалов
9. Учет сейсмического воздействия
Приложение 1. Примеры расчета подпорных стен
Пример 1. Расчет массивной подпорной стены
Пример 2. Расчет уголковой подпорной стены консольного типа
Пример 3. Расчет сборной железобетонной уголковой подпорной стены с анкерными тягами
Пример 4. Расчет уголковой подпорной стены с контрфорсами
Пример 5. Определение усилий в элементах щелевого паза
Пример 6. Определение эквивалентных нагрузок от подвижного транспорта
Приложение 2. Примеры расчета стен подвалов
Пример 7. Расчет массивной стены подвала постоянной толщины
Пример 8. Расчет тонкостенной железобетонной стены подвала переменной толщины
Пример 9. Расчет общей устойчивости стены подвала против сдвига по круглоцилиндрическим поверхностям
Приложение 3. Таблицы значений коэффициентов ?r
Приложение 4. Таблицы значений коэффициентов k
Приложение 5. Таблица значений тригонометрических функций
Разработан: НИИОСП им. Н.М. Герсеванова Госстроя СССР
Гипроречтранс Минречфлота РСФСР
ЦНИИпромзданий
Киевский Промстройпроект
Фундаментпроект
Утверждён:29.05.1984 ЦНИИ промзданий (TsNII promzdaniy )
Издан: Стройиздат (1984 г. )
Расположен в:Техническая документация Экология СТРОИТЕЛЬНЫЕ МАТЕРИАЛЫ И СТРОИТЕЛЬСТВО Конструкции зданий Бетонные конструкции Строительство Справочные документы Справочные пособия к СНиП

© 2013 Ёшкин Кот :-) Карта сайта