Скачать ТСЦ Республика Карелия 81-01-2001 Часть V. Материалы, изделия и конструкции для монтажных и специальных строительных работ. Территориальный сборник средних сметных цен на материалы, изделия и конструкции, применяемые в строительстве (в пяти частях)Дата актуализации: 10.08.2017 ТСЦ Республика Карелия 81-01-2001
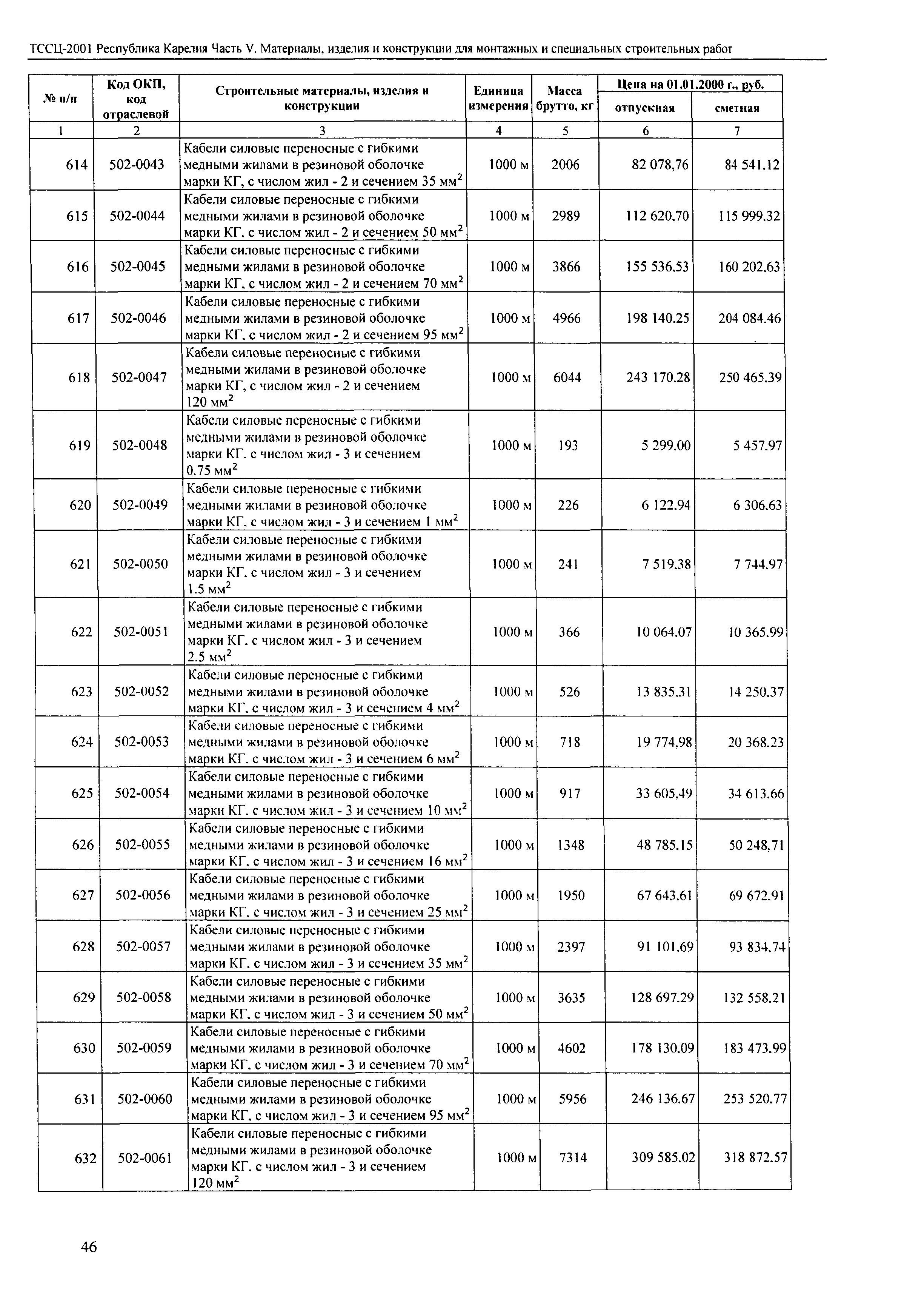
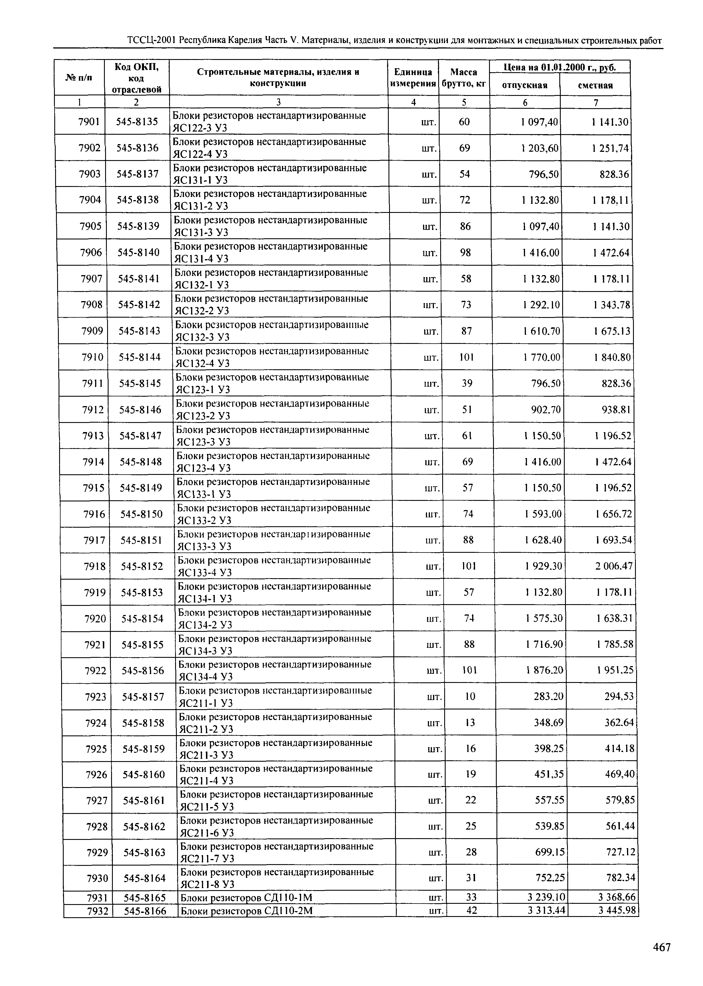
Часть V. Материалы, изделия и конструкции для монтажных и специальных строительных работ. Территориальный сборник средних сметных цен на материалы, изделия и конструкции, применяемые в строительстве (в пяти частях)Обозначение: | ТСЦ Республика Карелия 81-01-2001 | Обозначение англ: | 81-01-2001 | Статус: | действует | Название рус.: | Часть V. Материалы, изделия и конструкции для монтажных и специальных строительных работ. Территориальный сборник средних сметных цен на материалы, изделия и конструкции, применяемые в строительстве (в пяти частях) | Дата добавления в базу: | 01.09.2013 | Дата актуализации: | 05.05.2017 | Оглавление: | Общие положения Техническая часть Отдел I. Кабели Раздел 01. Кабели силовые Подраздел: Кабели силовые Группа: Кабели силовые с пропитанной бумажной изоляцией с медными жилами на напряжение 1000 В Группа: Кабели силовые с пропитанной бумажной изоляцией с алюминиевыми жилами на напряжение 1000 В Группа: Кабели силовые с пропитанной бумажной изоляцией с медными жилами на напряжение 6000 В Группа: Кабели силовые с пропитанной бумажной изоляцией с алюминиевыми жилами на напряжение 6000 В Группа: Кабели силовые с пропитанной бумажной изоляцией с медными жилами на напряжение 10000 В Группа: Кабели силовые с пропитанной бумажной изоляцией с алюминиевыми жилами на напряжение 10000 В Группа: Кабели силовые для прокладки в земле с медными жилами на напряжение 1000 В Группа: Кабели силовые для прокладки в земле с алюминиевыми жилами на напряжение 1000 В Группа: Кабели силовые для прокладки в земле с медными жилами на напряжение 6000 В Группа: Кабели силовые для прокладки в земле с алюминиевыми жилами на напряжение 6000 В Группа: Кабели силовые для прокладки в земле с медными жилами на напряжение 10000 В Группа: Кабели силовые для прокладки в земле с алюминиевыми жилами на напряжение 10000 В Группа: Кабели силовые для прокладки в земле и на воздухе на напряжение 1000 В Группа: Кабели силовые для прокладки в земле и на воздухе на напряжение 6000 В Группа: Кабели силовые для прокладки в земле и на воздухе на напряжение 10000 В Группа: Прочие силовые кабели Раздел 02. Кабели силовые гибкие Подраздел: Кабели силовые гибкие Группа: Кабели силовые шахтные на напряжение 1140 В на основных жилах и 220 В на вспомогательных жилах Группа: Кабели силовые шахтные на напряжение до 660 В Группа: Кабели силовые переносные с резиновой изоляцией Группа: Кабели силовые для присоединения экскаваторов и других передвижных механизмов к электрическим сетям с изолированной нейтралью, с гибкими медными жилами, с экраном из электропроводящей резины с резиновой изоляцией в резиновой оболочке на напряжении Раздел 03. Кабели контроля Подраздел: Кабели контроля Группа: Кабели контрольные с резиновой и пластмассовой изоляцией с медными жилами Группа: Кабели контрольные с резиновой и пластмассовой изоляцией с алюминиевыми жилами Раздел 04. Кабели связи Подраздел: Кабели связи низкочастотные Группа: Кабели для городских телефонных сетей Группа: Кабели с воздушно-бумажной изоляцией в свинцовой оболочке Группа: Кабели с полиэтиленовой изоляцией с алюмополиэтиленовым экраном Группа: Кабели однородные, со звездными четверками в свинцовой оболочке Группа: Кабели с пластмассовой лентой Группа: Кабели одноодные, со звездными четверками в алюминиевой оболочке Раздел 05. Кабели коаксильные Подраздел: Кабели коаксиальные магистральные Группа: Кабели коаксиальные магистральные Группа: Кабели коаксиальные магистральные малогабаритные для дальней связи и телевидения Раздел 06. Кабели высокочастотные дальней и внутрезоновой связи, кабели радиофикации и сельской телефонной связи Подраздел: Кабели высокочастотные дальней и внутризоновой связи, кабели радиофикации и сельской телефонной связи Группа: Кабели коаксиальные с пористой полиэтиленовой изоляцией с алюминиевым внешним проводником Группа: Кабели дальней связи симметричные высокочастотные с кордельно-полистирольной изоляцией Группа: Кабели зоновой связи высокочастотные одночетверочные, с полиэтиленовой изоляцией Группа: Кабели местной связи высокочастотные с медными жилами с полиэтиленовой изоляцией Отдел II. Провода, шнуры Раздел 07. Провода Подраздел: Провода Группа: Провода прочие Группа: Провода неизолированные для воздушных линий электропередачи Группа: Провода неизолированные медные гибкие и антенные Группа: Провода для радиоустановок на напряжение до 380 В Группа: Провода силовые для электрических установок с поливинилхлоридной изоляцией на напряжение до 450 В Группа: Провода силовые для электрических установок с поливинилхлоридной изоляцией на напряжение до 380 В Группа: Провода силовые гибкие для выводных концов электрических машин и аппаратов Группа: Провода для осветительной арматуры термостойкие с медной жилой в изоляционно-защитной оболочке из кремнийорганической резины повышенной твердости на напряжение до 660 В Группа: Провода силовые для электрических установок с резиновой изоляцией на напряжение до 660 В Раздел 08. Шнуры Подраздел: Шнуры Группа: Шнуры на напряжение до 380 В Группа: Шнуры на напряжение 220 В Раздел 09. Проволока, шины Подраздел: Проволока, шины Группа: Проволока биметаллическая сталемедная Группа: Шины медные прямоугольные Раздел 10. Муфты кабельные Подраздел: Муфты кабельные Группа: Муфты Подраздел: Прочее Группа: Прочее Отдел III. Линейно-кабельные изделия связи Раздел 11. Боксы кабельные Подраздел: Боксы кабельные Группа: Боксы кабельные Подраздел: Прочее Группа: Прочее Раздел 12. Коробки и сжимы Подраздел: Коробки и сжимы Группа: Коробки Группа: Розетки Раздел 13. Устройства кабельные (ящики кабельные) Подраздел: Устройства кабельные (ящики кабельные) Группа: Устройства кабельные (ящики кабельные) Отдел IV. Электроконструкции Раздел 14. Ящики с предохранителями Подраздел: Ящики с предохранителями Группа: Ящики с предохранителями Отдел V. Изделия сигнализации, централизации и блокировки на железнодорожном транспорте Раздел 15. Гарнитура к приводам Подраздел: Гарнитура к приводам электрическим стрелочным Группа: Гарнитура к приводам электрическим стрелочным Группа: Прочее Отдел VI. Прокатно-тянутые изделия из цветных металлов и цветные металлы Раздел 16. Ленты Подраздел: Ленты Группа: Ленты алюминиевые Группа: Ленты бериллиевой бронзы Группа: Ленты кремнисто-марганцевой бронзы Группа: Ленты оловянно-фосфористой бронзы Группа: Ленты оловянно-цинковой бронзы Группа: Ленты латунные общего назначения Группа: Ленты медные общего назначения Раздел 17. Листы и плиты Подраздел: Листы и плиты Группа: Листы и плиты алюминиевые Группа: Листы и плиты алюминиевого сплава Д1 Группа: Листы алюминиевого сплава В95 Группа: Листы медные холоднокатаные Группа: Листы медные горячекатаные Группа: Листы свинцовые Группа: Листы цинковые Группа: Листы медные прессованные Раздел 18. Полосы Подраздел: Полосы Группа: Полосы латунные Группа: Полосы томпаковые Раздел 19. Проволока Подраздел: Проволока Группа: Проволока латунная Раздел 20. Прутки из алюминиевых сплавов Подраздел: Прутки из цветных металлов Группа: Прутки из алюминиевых сплавов Группа: Проволока из алюминия Раздел 21. Металлы цветные Подраздел: Металлы цветные Группа: Алюминий первичный в чушках Группа: Олово Группа: Ртуть Группа: Свинец Раздел 22. Сплавы цветных металлов Подраздел: Сплавы цветных металлов Группа: Сплавы Группа: Припои оловянно-свинцовые Группа: Пруток круглый Группа: Прочие припои Отдел VII. Трубы, арматура и детали трубопроводов Раздел 23. Трубы из цветных металлов Подраздел: Трубы из цветных металлов Группа: Трубы круглые прессованные толстостенные из алюминия марок АД0, АД1, АД и алюминиевого сплава АВ Раздел 24. Трубы холоднодеформированные коррозийно-стойкие Подраздел: Трубы холоднодеформированные коррозийно-стойкие Группа: Трубы бесшовные холоднодеформированные из коррозионно-стойкой стали марки 12Х18Н10Т(8443) Раздел 25. Трубы горячедеформированные коррозийно-стойкие Раздел 26. Трубы стальные бесшовные высокого давления Подраздел: Трубы горячедеформированные коррозийно-стойкие Группа: Трубы бесшовные горячедеформированные из коррозионно-стойкой стали, марки 12Х18Н10Т(8443) Подраздел: Трубы стальные бесшовные высокого давления Группа: Трубы стальные бесшовные высокого давления Раздел 27. Трубы стальные, футерованные пластиком Подраздел: Трубы стальные, футерованные пластиком Группа: Стальная оболочка Раздел 28. Трубы из коррозийно-стойкой стали электросварные Подраздел: Трубы из коррозийно-стойкой стали электросварные Группа: Трубы из коррозионно-стойкой стали электросварные, марки 10Х18Н10Т(8443) Раздел 29. Трубы стальные электросварные прямошовные и спирально-шовные Подраздел: Трубы стальные электросварные прямошовные и спирально-шовные Группа: Трубы сварные больших диаметров прямошовные и спирально-шовные группы А, Б Группа: Трубы сварные больших диаметров прямошовные и спирально-шовные, группы поставки В с временным сопротивлением разрыву не менее 33 кгс/мм2 Группа: Трубы сварные больших диаметров прямошовные и спирально-шовные, группы поставки В с временным сопротивлением разрыву не менее 34 кгс/мм2 Группа: Трубы сварные больших диаметров прямошовные и спирально-шовные, группы поставки В с временным сопротивлением разрыву не менее 37 кгс/мм2 Группа: Грубы сварные больших диаметров прямошовные и спирально-шовные, группы поставки В с временным сопротивлением разрыву не менее 38 кгс/мм2 Группа: Трубы сварные больших диаметров прямошовные и спирально-шовные, группы поставки В с временным сопротивлением разрыву не менее 52 кгс/мм2 Раздел 30. Трубы из пластических масс Подраздел: Трубы из пластических масс Группа: Трубы напорные из полиэтилена низкого давления легкого типа Группа: Трубы напорные из полиэтилена низкого давления среднелегкого типа Группа: Трубы напорные из полиэтилена низкого давления среднего типа Группа: Трубы напорные из полиэтилена низкого давления тяжелого типа Группа: Трубы напорные из полиэтилена высокого давления легкого типа Группа: Трубы напорные из полиэтилена высокого давления среднелегкого типа Группа: Трубы напорные из полиэтилена высокого давления среднего типа Группа: Трубы напорные из полиэтилена высокого давления тяжелого типа Группа: Трубы фаолитовые Группа: Трубы из фторопласта-4 Группа: Трубы прочие Раздел 31. Трубы стеклянные Подраздел: Трубы стеклянные Группа: Трубы стеклянные Раздел 32. Фасонные части к стеклянным трубам Подраздел: Фасонные части к стеклянным трубам Группа: Тройники Группа: Крестовины Группа: Переходы Группа: Отступы Группа: Отводы Раздел 33. Фланцы Подраздел: Фланцы Группа: Фланцы стальные плоские приварные на Ру от 0,1 до 2,5 МПа (от 1 до 25 кгс/см?) из стали марок ВСт3сп2, ВСт3сп3 Группа: Комплекты ответных фланцев к арматуре трубопроводной стальных плоских приварных. Фланцы из углеродистой стали ВСт3сп3 с температурным пределом применения от 243 К до 573 К Группа: Комплекты ответных фланцев к арматуре трубопроводной стальных плоских приварных. Фланцы из коррозионно-стойкой стали марки 12Х18Н9Т с температурным пределом применения от 233 К до 723 К Группа: Комплекты ответных фланцев к арматуре трубопроводной стальных плоских приварных. Фланцы из коррозионно-стойкой стали марки 10Х17Н13М2Т с температурным пределом применения от 233 К до 723 К Группа: Комплекты ответных фланцев к арматуре трубопроводной стальных плоских приварных. Фланцы из коррозионно-стойкой стали марки 06ХН28МДТ с температурным пределом применения от 203 К до 673 К Группа: Комплекты ответных фланцев стальных приварных встык. Фланцы из углеродистой стали марки 20 и 25 с температурным пределом применения от 243 К до 698 К Группа: Комплекты ответных фланцев стальных приварных встык. Фланцы из углеродистой стали марки 20 и 25 с температурным пределом применения от 243 К до 723 К Группа: Комплекты ответных фланцев стальных приварных встык. Фланцы из теплоустойчивой стали, марки 15Х5М с температурным пределом применения от233 К до783 К Группа: Комплекты ответных фланцев стальных приварных встык. Фланцы из коррозионно-стойкой стали марки 12X18Н9Т с температурным пределом применения от 193 К до 873 К Группа: Комплекты ответных фланцев стальных приварных встык. Фланцы из коррозионно-стойкой стали марки 10Х17Н13МЗТ с температурным пределом применения от 193 К до 873 К Группа: Комплекты ответных фланцев стальных приварных встык. Фланцы из коррозионно-стойкой стали марки 06ХН28МДТ с температурным пределом применения от 203 К до 673 К Раздел 34. Соединительные части технологических трубопроводов Подраздел: Соединительные части технологических трубопроводов Группа: Отводы гнутые из углеродистой стали на Ру до 16 МПа (160 кгс/см2) из труб горячекатаных из стали 20 Группа: Отводы крутоизогнутые штампованные и протяжные из углеродистой стали на Ру менее или 10 МПа (100 кгс/см2) из труб стальных бесшовных горячедеформированных или холоднодеформированных из стали 20 Группа: Отводы крутоизогнутые, штампованные и протяжные из легированной стали Ру менее или 10 МПа (100 кгс/см2) из труб горячедеформированных и холоднодеформированных Группа: Отводы сварные из углеродистой стали на Ру до 10 МПа (100 кгс/см2) из труб бесшовных горячедеформированных и труб электросварных прямошовных из стали марок Ст3сп-Ст6сп Группа: Тройники штампованные из углеродистой стали на Ру до 16 МПа (160 кгс/см2) из труб стальных бесшовных горячедеформированных и холоднодеформированных из стали 20 Группа: Тройники сварные из углеродистой стали Ру до 16 МПа (160 кгс/см2) Группа: Переходы штампованные из углеродистой стали на Ру до 16 МПа (160 кгс/см2) из труб горячедеформированных или холоднодеформированных из стали марки 20 Группа: Заглушки эллиптические из углеродистой стали Раздел 35. Узлы технологических трубопроводов из углеродистых и легированных сталей на РУ МПа (100 кгс/см2) Подраздел: Узлы технологических трубопроводов из углеродистых и легированных сталей на Ру 10 МПа (100 кгс/см2) Группа: Узлы трубопроводов с установкой необходимых деталей (фланцев, отводов, тройников, переходов, заглушек, патрубков, П-образных компенсаторов и т.п.), входящих в конструкцию трубопровода, со сборкой на постоянных прокладках, креплением болтами и сваркой Раздел 36. Опоры стальных трубопроводов Подраздел: Опоры стальных трубопроводов Группа: Опоры Отдел VIII. Канаты стальные Раздел 37. Канаты круглые Подраздел: Канаты круглые Группа: Канаты двойной свивки, типа ЛК-Р, конструкции 6х 19(1+6+6/6)+1 о.с Группа: Канат спиральный, типа ТК, конструкции 1x37(1+6+12+18) Группа: Канат двойной свивки, типа ЛК-О, конструкции 6x7(1+6)+1x7(1+6) Группа: Канат двойной свивки, типаТК, конструкции 6x37(1+6+12+18)+1x37(1+6+18) Группа: Канат двойной свивки, типа ТК, конструкции 6х19(1+6+12)+1 о.с Группа: Канат двойной свивки типа ТК, конструкции 6x37(1+6+12+18)+1 о.с Группа: Канат двойной свивки типа ЛК-О, конструкции 6х19(1+9+9)+1 о.с Группа: Канат двойной свивки типа ТЛК-О, конструкции 6x37(1+6+155)+1 о.с Группа: Канат двойной свивки типа ЛК-О, конструкции 6х19(1+9+9)+7х7(1+6) Группа: Канат тройной свивки типа ЛК-Р, конструкции 6x7x19(1+6+6/6)+1 о.с Группа: Канат двойной свивки типа ЛК-3, конструкции 6x25(1+6+6+12)+] о.с Группа: Прочие канаты Группа: Канат двойной свивки типа ЛК-РО, конструкции 6x36(1+7+7/7+14)+1 о.с Группа: Канат двойной свивки типа ЛК-РО, конструкции 6x36(1+7+7/7+14)+7х7( 1+6) Группа: Канаты двойной свивки типа ЛК-Р, конструкции 6х 19(1+6+6/6)+1 о.с Раздел 38. Канаты закрытые несущие Подраздел: Канаты закрытые несущие Группа: Канат спиральный закрытый с одним слоем зетобразной проволоки и сердечником, типа ТК Группа: Канат закрытый с одним слоем клиновидной и одним слоем зетобразной проволоки и сердечником, типа ТК Группа: Канат закрытый с двумя слоями клиновидной и одним слоем зетобразной проволоки и сердечником, типа ТК Группа: Канат закрытый, с одним слоем зетобразной проволоки, с сердечником, типа ЛК и ТЛК Группа: Канат закрытый, с двумя слоями зетобразной проволоки, с сердечником, типа ТК Группа: Канат закрытый, с двумя слоями зетобразной проволоки и сердечником, типа ЛК Раздел 39. Канаты плоские Подраздел: Канаты плоские Группа: Канаты плоские, конструкции 8x4x7(1+6) Группа: Канаты плоские, конструкции 8х4х9(0+9)+32 о.с Раздел 40. Канаты стальные по техническим условиям Подраздел: Канаты стальные по техническим условиям Группа: Канаты стальные для грузо-людского подъема шахты конструкции 7/56+1 о.с Группа: Канаты стальные для шахтных подъемов конструкции 8x36+7/19 Отдел IX. Прочие материалы Раздел 41. Асбестовые технические изделия Подраздел: Асбестовые технические изделия Группа: Бумага асбестовая Группа: Волокно асбестовое Группа: Изделия из картона Группа: Набивки асбестовые Группа: Набивки неасбестовые Группа: Нить асбестовая Группа: Прокладки из паронита Группа: Ткань асбестовая Группа: Трубки асбестовые Группа: Шнур асбестовый Раздел 42. Химическая продукция и нефтепроводы Подраздел: Химическая продукция и нефтепродукты Группа: Аммиак Группа: Прочее Группа: Кислоты Группа: Цинк Группа: Смазка Группа: Парафины нефтяные Раздел 43. Резиновые технические изделия и детали Подраздел: Резиновые технические изделия и детали Группа: Пластины Группа: Трубки Группа: Шнур резиновый Группа: Трубы вентиляционные Раздел 44. Электроизоляционные изделия Подраздел: Электроизоляционные изделия Группа: Гетинакс Группа: Текстолит листовой Группа: Текстолит фасонный Группа: Стеклотекстолит Группа: Лакоткань Группа: Стеклолакоткань Группа: Ленты изолирующие Группа: Прочее Раздел 45. Аппаратура электрическая низковольтная Подраздел: Аппаратура электрическая низковольтная Группа: Рубильники, разъединители, выключатели и переключатели Группа: Микровыключатели, выключатели конечные, путевые и другие Группа: Пускатели электромагнитные Группа: Выключатели автоматические Группа: Предохранители плавкие Группа: Пускатели ручные Группа: Контакторы электромагнитные низковольтные Группа: Выключатели и переключатели пакетные, пакетно-кулачковые и универсальные Группа: Командоконтроллеры, командоаппараты и посты управления Группа: Резисторы и блоки резисторов Подраздел: Прочее Группа: Реле управления, специальные устройства автоматизации и терморегуляторы Группа: Прочее Группа: Кнопки и посты управления кнопочные Раздел 46. Источники света Подраздел: Источники света Группа: Лампы накаливания общего назначения местного и наружного освещения Группа: Лампы люминесцентные Группа: Светильники Группа: Лампы газоразрядные высокого давления Группа: Стартеры Раздел 47. Соединительная арматура трубопроводов Подраздел: Соединительная арматура трубопроводов Группа: Муфты Группа: Переходы Группа: Тройники Группа: Угольники Раздел 48. Материалы для магистральных трубопроводов Подраздел: Материалы для магистральных нефтепроводов Группа: Сварочная проволока Группа: Прочие материалы Группа: Ленты Группа: Пленки Группа: Фасонные части стальные Группа: Чугунные грузы для балластировки магистральных газонефтепроводов Раздел 51. Изделия для контактных сетей на железнодорожном транспорте Подраздел: Прочее Группа: Прочее Группа: Скобы Группа: Зажимы, сжимы Группа: Крюки, кронштейны Группа: Муфты Группа: Стойки фиксаторов Группа: Ушки Группа: Бугели Группа: Коромысла Группа: Штанги Группа: Стержни фиксаторов Группа: Хомуты Группа: Узлы Раздел дополнительный. Ресурсы, не вошедшие в основные разделы IX Отдела Подраздел: Прочее Группа: Реле управления, специальные устройства автоматизации и терморегуляторы Группа: Реле, панели и устройства защиты Группа: Розетки Группа: Кнопки и посты управления кнопочные Группа: Патроны Группа: Разная электрическая аппаратура Подраздел: Прочее Группа: Паста Группа: Прочее | Разработан: | ООО РЦЦС Республики Карелия
| Утверждён: | 17.12.2004 Правительство Республики Карелия (532р-П)
| Издан: | Госстрой Республики Карелия (2006 г. )
| Расположен в: |
| Нормативные ссылки: | |
                                                                                                                                                                                                                                                                                                                                                                                                                                                                                                             
|