Скачать ТСЦ Республика Карелия 81-01-2001 Часть III. Материалы и изделия для санитарно-технических работ. Территориальный сборник средних сметных цен на материалы, изделия и конструкции, применяемые в строительстве (в пяти частях)Дата актуализации: 10.08.2017 ТСЦ Республика Карелия 81-01-2001
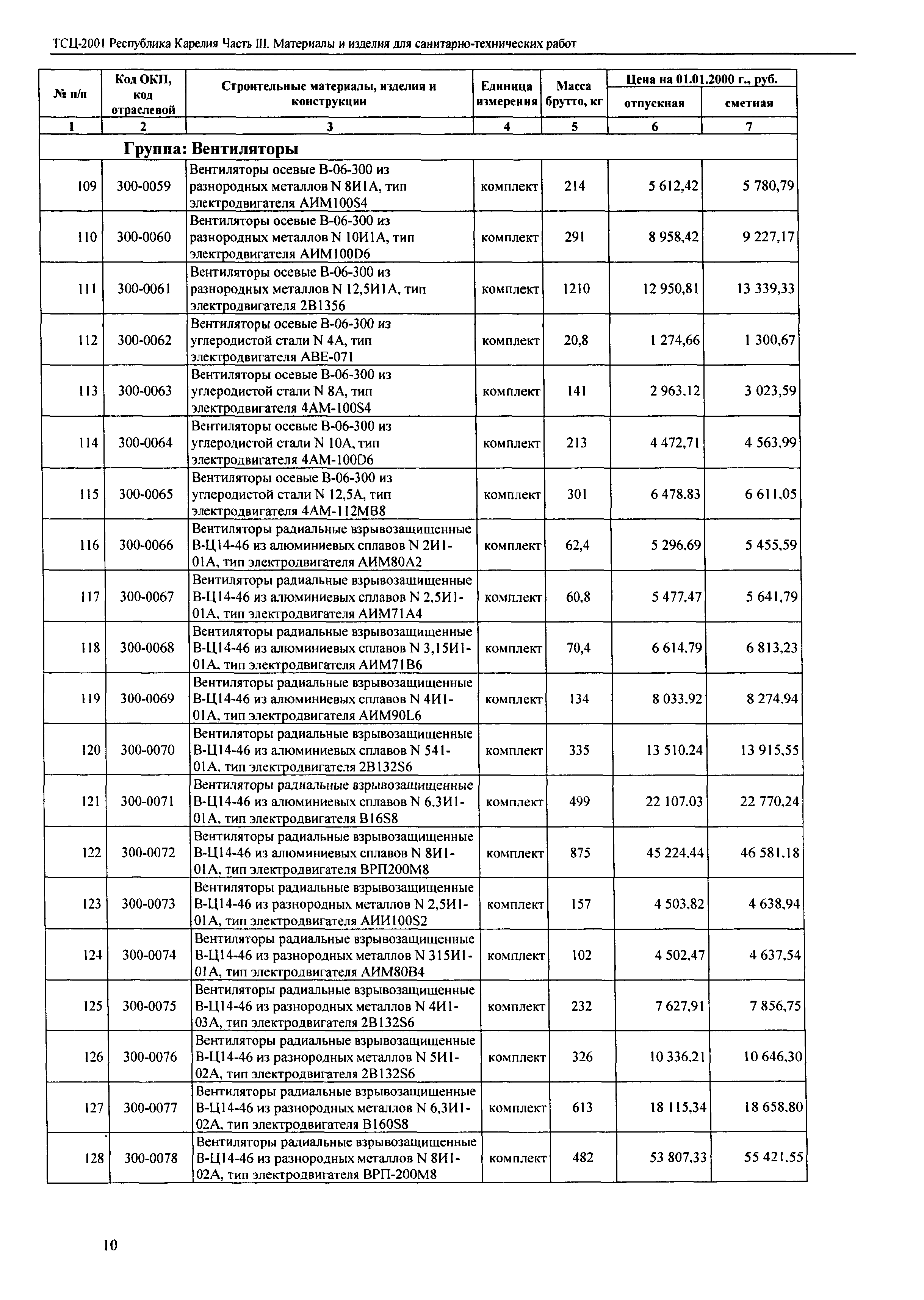
Часть III. Материалы и изделия для санитарно-технических работ. Территориальный сборник средних сметных цен на материалы, изделия и конструкции, применяемые в строительстве (в пяти частях)Обозначение: | ТСЦ Республика Карелия 81-01-2001 | Обозначение англ: | 81-01-2001 | Статус: | действует | Название рус.: | Часть III. Материалы и изделия для санитарно-технических работ. Территориальный сборник средних сметных цен на материалы, изделия и конструкции, применяемые в строительстве (в пяти частях) | Дата добавления в базу: | 01.09.2013 | Дата актуализации: | 05.05.2017 | Оглавление: | Общие положения Техническая часть Раздел 3.01 Санитарно-технические материалы и изделия Подраздел: Санитарно-технические материалы и изделия Группа: Агрегаты отопительные и вентиляционные Группа: Аппараты водонагревательные, водоподогреватели, колонки водогрейные Группа: Баки расширительные и конденсационные Группа: Баллоны для сжиженных газов Группа: Вентиляторы Группа: Прочие санитарно-технические материалы и изделия Группа: Виброизоляторы, вставки, глушители шума, пластины шумопоглащающие Группа: Воздухоотводы, воздухораспределители, воздухосборники Группа: Гребенки паро-водораспределительные Группа: Грязевики Группа: Дефлекторы Группа: Зонты Группа: Калориферы Группа: Клапаны Группа: Конвекторы отопительные Группа: Кондиционеры Группа: Котлы Группа: Радиаторы, изделия для радиаторов и их монтажа Группа: Насосы Группа: Плиты газовые Группа: Рукава, стволы и головки для рукавов Группа: Фильтры Группа: Компенсаторы Группа: Заглушки Группа: Горелки газовые Группа: Диафрагмы камерные Подраздел: Санитарно-технические приборы и комплектующие Группа: Бачки смывные Группа: Бидэ, унитазы, писсуары Группа: Прочие санитарно-технические приборы и комплектующие Группа: Ванны Группа: Мойки и умывальники Группа: Раковины Группа: Смесители Группа: Кабина душевая Раздел 3.02 Трубопроводы, арматура, фасонные и соединительные части Подраздел: Трубопроводы, арматура, фасонные и соединительные части Группа: Прочие элементы Группа: Краны Группа: Трубы Группа: Узлы укрупненные монтажные (для трубопроводов) Группа: Фасонные части к чугунным канализационным трубам Группа: Трубопроводы Группа: Задвижки Группа: Соединительные части трубопроводов Раздел 3.03 Материалы с общими кодами | Разработан: | ООО РЦЦС Республики Карелия
| Утверждён: | 17.12.2004 Правительство Республики Карелия (532р-П)
| Издан: | Госстрой Республики Карелия (2005 г. )
| Расположен в: |
| Нормативные ссылки: | |
                                                                                                               
|