Информационная система
«Ёшкин Кот»

Скачать базу одним архивом
Скачать обновления
История создания базы
Карта сайта

Скачать ТЕРм Республика Карелия 2001-39 Контроль монтажных сварных соединений. Территориальные единичные расценки на монтаж оборудования в Республике Карелия

Дата актуализации: 10.08.2017

ТЕРм Республика Карелия 2001-39

Контроль монтажных сварных соединений. Территориальные единичные расценки на монтаж оборудования в Республике Карелия

Обозначение: ТЕРм Республика Карелия 2001-39
Обозначение англ: 2001-39
Статус:действует
Название рус.:Контроль монтажных сварных соединений. Территориальные единичные расценки на монтаж оборудования в Республике Карелия
Дата добавления в базу:01.09.2013
Дата актуализации:05.05.2017
Область применения:Предназначены для определения прямых затрат в сметной стоимости работ по контролю монтажных сварных соединений в базисных ценах на 1 января 2000 года
Оглавление:Техническая часть
Отдел 01 Подготовка к контролю поверхности монтажных сварных соединений и околошовной зоны
39-01-001. Очистка поверхности металлическими щетками
39-01-002. Протирка поверхности ацетоном
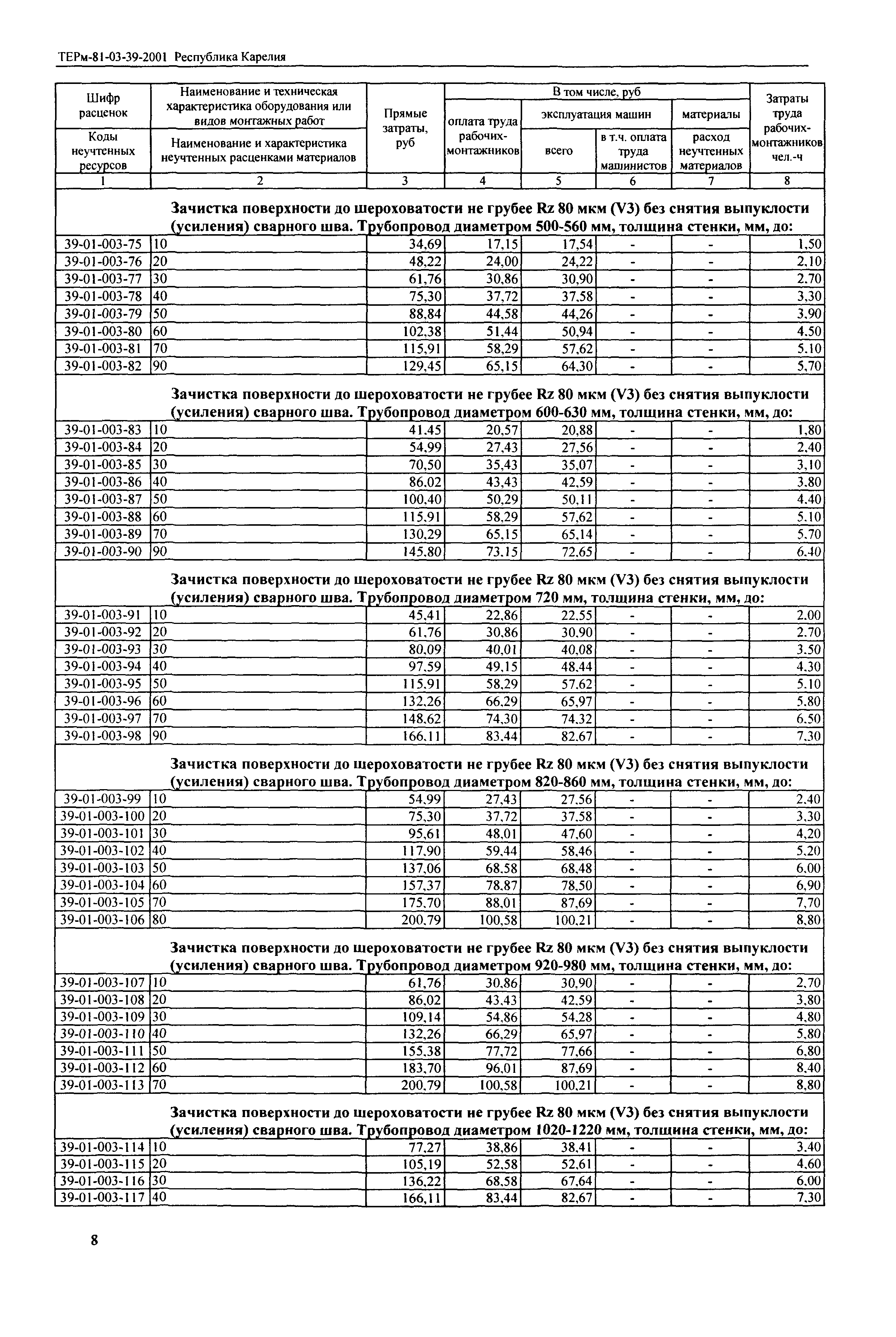
39-01-003. Зачистка механизированная поверхности сварного соединения и околошовной зоны трубопроводов из углеродистых и легированных сталей до шероховатости не грубее RZ 80 мкм (V3) без снятия выпуклости (усиления) сварного шва
39-01-004. Зачистка механизированная поверхности сварного соединения и околошовной зоны трубопроводов из углеродистых и легированных сталей до шероховатости не грубее RZ 40 мкм (V4) без снятия выпуклости (усиления) сварного
39-01-005. Зачистка механизированная поверхности сварного соединения и околошовной зоны трубопроводов из углеродистых и легированных сталей до шероховатости не грубее RZ 20 мкм (V5) без снятия выпуклости (усиления) сварного шва
39-01-006. Зачистка механизированная поверхности сварного соединения и околошовной зоны трубопроводов из углеродистых и легированных сталей до шероховатости не грубее RZ 80 мкм (V3) со снятием выпуклости (усиления) сварного
39-01-007. Зачистка механизированная поверхности сварного соединения и околошовной зоны трубопроводов из углеродистых и легированных сталей до шероховатости не грубее RZ 40мкм (V4) со снятием выпуклости (усиления) сварного шва
39-01-008. Зачистка механизированная поверхности сварного соединения и околошовной зоны трубопроводов из углеродистых и легированных сталей до шероховатости не грубее RZ 20мкм (V5) со снятием выпуклости (усиления) сварного шва
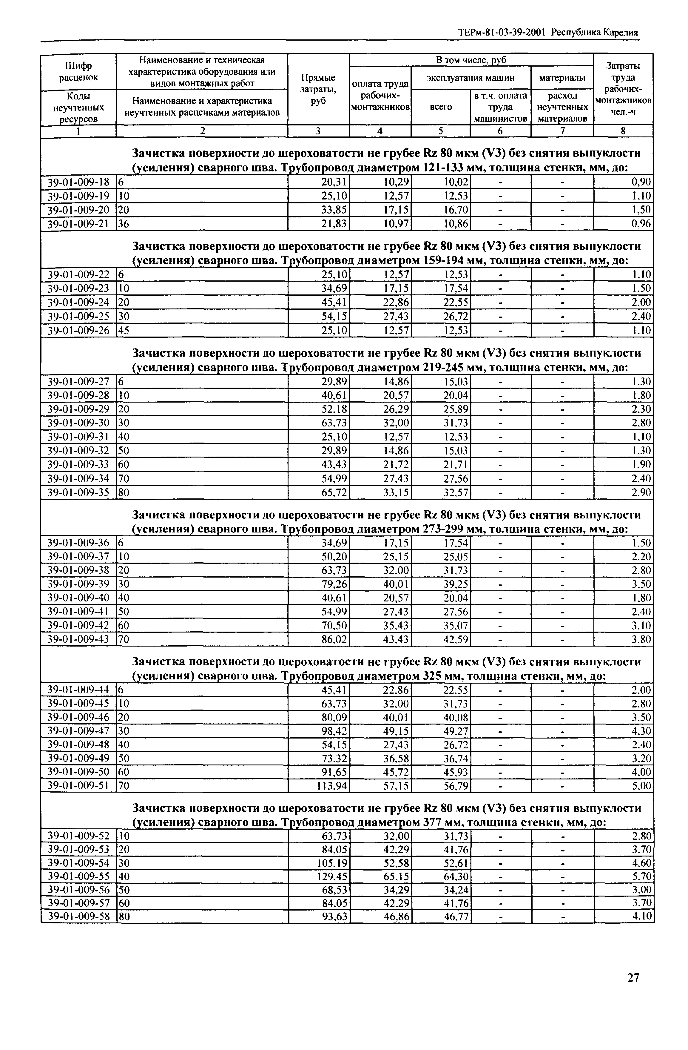
39-01-009. Зачистка механизированная поверхности сварного соединения и околошовной зоны трубопроводов из высоколегированных коррозионностойких сталей до шероховатости не грубее RZ 80 мкм (V3) без снятия выпуклости (усиления) сварного шва
39-01-010. Зачистка механизированная поверхности сварного соединения и околошовной зоны трубопроводов из высоколегированных коррозионностойких сталей до шероховатости не грубее RZ 40 мкм (V4) без снятия выпуклости (усиления) сварного шва
39-01-011. Зачистка механизированная поверхности сварного соединения и околошовной зоны трубопроводов из высоколегированных коррозионностойких сталей до шероховатости не грубее RZ 20 мкм (V5) без снятия выпуклости (усиления) сварного шва
39-01-012. Зачистка механизированная поверхности сварного соединения и околошовной зоны трубопроводов из высоколегированных коррозионностойких сталей до шероховатости не грубее RZ 80 мкм (V3) со снятием выпуклости (усиления) сварного
39-01-013. Зачистка механизированная поверхности сварного соединения и околошовной зоны трубопроводов из высоколегированных коррозионностойких сталей до шероховатости не грубее RZ 40 мкм (V4) со снятием выпуклости (усиления) сварного шва
39-01-014. Зачистка механизированная поверхности сварного соединения и околошовной зоны трубопроводов из высоколегированных коррозионностойких сталей до шероховатости не грубее RZ 20 мкм (V5) со снятием выпуклости (усиления) сварного шв
39-01-015. Зачистка вручную поверхности сварного соединения и околошовной зоны трубопроводов из углеродистых и легированных сталей без снятия выпуклости (усиления) сварного шва
39-01-016. Зачистка вручную поверхности сварного соединения и околошовной зоны трубопроводов из углеродистых и легированных сталей со снятием выпуклости (усиления) сварного шва
39-01-017. Зачистка механизированная поверхности сварного соединения и околошовной зоны конструкций и оборудования из углеродистых и легированных сталей до шероховатости не грубее RZ 80 мкм (V3) без снятия выпуклости (усиления) сварного шва
39-01-018. Зачистка механизированная поверхности сварного соединения и околошовной зоны конструкций и оборудования из углеродистых и легированных сталей до шероховатости не грубее RZ 40 мкм (V4) без снятия выпуклости (усиления) сварного шва
39-01-019. Зачистка механизированная поверхности сварного соединения и околошовной зоны конструкций и оборудования из углеродистых и легированных сталей до шероховатости не грубее RZ 20 мкм (V5) со снятием выпуклости (усиления) сварного шва
39-01-020. Зачистка механизированная поверхности сварных соединений конструкций и оборудования из углеродистых и легированных сталей. Снятие выпуклости (усиления) сварного соединения
39-01-021. Зачистка механизированная поверхности сварного соединения и околошовной зоны конструкций и оборудования из высоколегированных коррозионностойких сталей до шероховатости не грубее R2 80 мкм (V3) без снятия выпуклости (усиления) сварного шва
39-01-022. Зачистка механизированная поверхности сварного соединения и околошовной зоны конструкций и оборудования из высоколегированных коррозионностойких сталей до шероховатости не грубее RZ 40 мкм (V4) без снятия выпуклости (усиления) сварного шва
39-01-023. Зачистка механизированная поверхности сварного соединения и околошовной зоны конструкций и оборудования из высоколегированных коррозионностойких сталей до шероховатости не грубее RZ 20 мкм (V5) без снятия выпуклости (усиления) сварного шва
39-01-024. Зачистка механизированная поверхности сварных соединений конструкций и оборудования из высоколегированных коррозионностойких сталей. Снятие выпуклости (усиления) сварного соединения
39-01-025. Зачистка механизированная мест под стилоскопирование
39-01-026. Зачистка механизированная мест под испытания на твердость
Отдел 02. Контроль монтажных сварных соединений неразрушающими методами
39-02-001. Визуальный и измерительный контроль сварных соединений
39-02-002. Перископный осмотр сварных соединений трубопроводов
39-02-003. Стилоскопирование
39-02-004. Капиллярный контроль (цветной метод)
39-02-005. Магнитопорошковый контроль
39-02-006. Ультразвуковая дефектоскопия одним преобразователем сварных соединений перлитного класса с двух сторон, прозвучивание поперечное
39-02-007. Ультразвуковая дефектоскопия одним преобразователем сварных соединений перлитного класса с двух сторон, прозвучивание поперечное негабаритных трубопроводов гидротехнических сооружений
39-02-008. Ультразвуковая дефектоскопия одним преобразователем сварных соединений перлитного класса с двух сторон, прозвучивание поперечное оборудования и конструкций
39-02-009. Ультразвуковая дефектоскопия одним преобразователем сварных соединений перлитного класса с двух сторон, прозвучивание продольное
39-02-010. Ультразвуковая дефектоскопия одним преобразователем сварных соединений перлитного класса с двух сторон, прозвучивание поперечное закладных деталей
39-02-011. Измерение толщины металла ультразвуковым способом
39-02-012. Рентгенографический контроль трубопроводов через две стенки
39-02-013. Рентгенографический контроль трубопроводов через одну стенку
39-02-014. Рентгенографический контроль оборудования и конструкций
39-02-015. Гаммаграфический контроль трубопроводов через две стенки
39-02-016. Гаммаграфический контроль трубопроводов через одну стенку
39-02-017. Гаммаграфический контроль трубопроводов, панорамное просвечивание
39-02-018. Гаммаграфический контроль оборудования и конструкций
39-02-019. Гаммаграфический контроль арматурной стали
39-02-020. Контроль плотности способом керосиновой пробы
39-02-021. Испытание вакуум-камерой
39-02-022. Контроль методом гелиевой или вакуумной камеры
39-02-023. Измерение твёрдости металла шва
Отдел 03. Контроль монтажных сварных соединений разрушающими методами
39-03-001. Механические испытания
39-03-002. Металлографические исследования
39-03-003. Испытания на межкристаллитную коррозию
Отдел 04. Изготовление образцов для монтажных сварных соединений
39-04-001. Изготовление образцов для механических испытаний
39-04-002. Изготовление образцов для металлографических исследований
39-04-003. Изготовление образцов для испытания на межкристаллитную коррозию
Отдел 05. Предварительный контроль
39-05-001. Контроль сварочных материалов
39-05-002. Контроль деталей, материалов, полуфабрикатов
39-05-003. Контроль сборочно-сварочного и термического оборудования, аппаратуры и приспособлений
39-05-004. Контроль материалов для дефектоскопии
39-05-005. Контроль труб и блоков трубопроводов
Отдел 06. Операционный контроль
39-06-001. Контроль подготовки деталей трубопроводов под сварку на сборочной площадке
39-06-002. Контроль сборки деталей трубопроводов под сварку на месте монтажа
39-06-003. Контроль процессов сварки и наплавки
Приложение № 1 Сметные расценки на эксплуатацию строительных машин в базисных ценах Республики Карелия по состоянию на 01.01.2000 г
Приложение № 2 Сметные цены на материалы, изделия и конструкции в базисных ценах Республики Карелия по состоянию на 01.01.2000 г
Приложение № 3 Часовая оплата труда рабочих, занятых в строительстве и ремонтно-строительных работах с нормальными условиями труда в базисных ценах Республики Карелия по состоянию на 01.01.2000 г
Приложение № 4 Таблица замены кодов
Разработан: РЦЦС Республики Карелия
Утверждён:20.04.2004 Правительство Республики Карелия (172р-П)
Издан: Госстрой Республики Карелия (2004 г. )
Расположен в:Техническая документация Экология СТРОИТЕЛЬНЫЕ МАТЕРИАЛЫ И СТРОИТЕЛЬСТВО Строительная промышленность Стоимость строительства и обслуживания зданий и сооружений -50 Стоимость строительных и строительно-монтажных работ Строительство Нормативные документы Нормативные документы субъектов Российской Федерации Нормативные документы Республики Карелия Документы Системы нормативных документов в строительстве Нормативные документы по экономике к.81 Ценообразование и сметы Классификатор ISO Нормативные документы по экономике Ценообразование и сметы
Заменяет собой:
  • Сборник на монтаж оборудования Госстроя СССР 39 «Сборник на монтаж оборудования Госстроя СССР» (Введен в действие с 01.01.1984 года)
ТЕРм Республика Карелия 2001-39ТЕРм Республика Карелия 2001-39ТЕРм Республика Карелия 2001-39ТЕРм Республика Карелия 2001-39ТЕРм Республика Карелия 2001-39ТЕРм Республика Карелия 2001-39ТЕРм Республика Карелия 2001-39ТЕРм Республика Карелия 2001-39ТЕРм Республика Карелия 2001-39ТЕРм Республика Карелия 2001-39ТЕРм Республика Карелия 2001-39ТЕРм Республика Карелия 2001-39ТЕРм Республика Карелия 2001-39ТЕРм Республика Карелия 2001-39ТЕРм Республика Карелия 2001-39ТЕРм Республика Карелия 2001-39ТЕРм Республика Карелия 2001-39ТЕРм Республика Карелия 2001-39ТЕРм Республика Карелия 2001-39ТЕРм Республика Карелия 2001-39ТЕРм Республика Карелия 2001-39ТЕРм Республика Карелия 2001-39ТЕРм Республика Карелия 2001-39ТЕРм Республика Карелия 2001-39ТЕРм Республика Карелия 2001-39ТЕРм Республика Карелия 2001-39ТЕРм Республика Карелия 2001-39ТЕРм Республика Карелия 2001-39ТЕРм Республика Карелия 2001-39ТЕРм Республика Карелия 2001-39ТЕРм Республика Карелия 2001-39ТЕРм Республика Карелия 2001-39ТЕРм Республика Карелия 2001-39ТЕРм Республика Карелия 2001-39ТЕРм Республика Карелия 2001-39ТЕРм Республика Карелия 2001-39ТЕРм Республика Карелия 2001-39ТЕРм Республика Карелия 2001-39ТЕРм Республика Карелия 2001-39ТЕРм Республика Карелия 2001-39ТЕРм Республика Карелия 2001-39ТЕРм Республика Карелия 2001-39ТЕРм Республика Карелия 2001-39ТЕРм Республика Карелия 2001-39ТЕРм Республика Карелия 2001-39ТЕРм Республика Карелия 2001-39ТЕРм Республика Карелия 2001-39ТЕРм Республика Карелия 2001-39ТЕРм Республика Карелия 2001-39ТЕРм Республика Карелия 2001-39ТЕРм Республика Карелия 2001-39ТЕРм Республика Карелия 2001-39ТЕРм Республика Карелия 2001-39ТЕРм Республика Карелия 2001-39ТЕРм Республика Карелия 2001-39ТЕРм Республика Карелия 2001-39ТЕРм Республика Карелия 2001-39ТЕРм Республика Карелия 2001-39ТЕРм Республика Карелия 2001-39ТЕРм Республика Карелия 2001-39ТЕРм Республика Карелия 2001-39ТЕРм Республика Карелия 2001-39ТЕРм Республика Карелия 2001-39ТЕРм Республика Карелия 2001-39ТЕРм Республика Карелия 2001-39ТЕРм Республика Карелия 2001-39ТЕРм Республика Карелия 2001-39ТЕРм Республика Карелия 2001-39

© 2013 Ёшкин Кот :-) Карта сайта