Обозначение: | СТО-ГК "Трансстрой" 010-2007 |
Обозначение англ: | 010-2007 |
Статус: | действует |
Название рус.: | Стандарт организации. Шпунт трубчатый сварной. Правила производства работ по строительству шпунтовых стен |
Дата добавления в базу: | 01.09.2013 |
Дата актуализации: | 05.05.2017 |
Дата введения: | 10.04.2007 |
Область применения: | Стандарт распространяется на производство работ по строительству капитальных и временных шпунтовых стен морских и речных портовых, гидротехнических и берегозащитных сооружений, а также шпунтовых стен ограждающих конструкций различного назначения с применением шпунта трубчатого сварного |
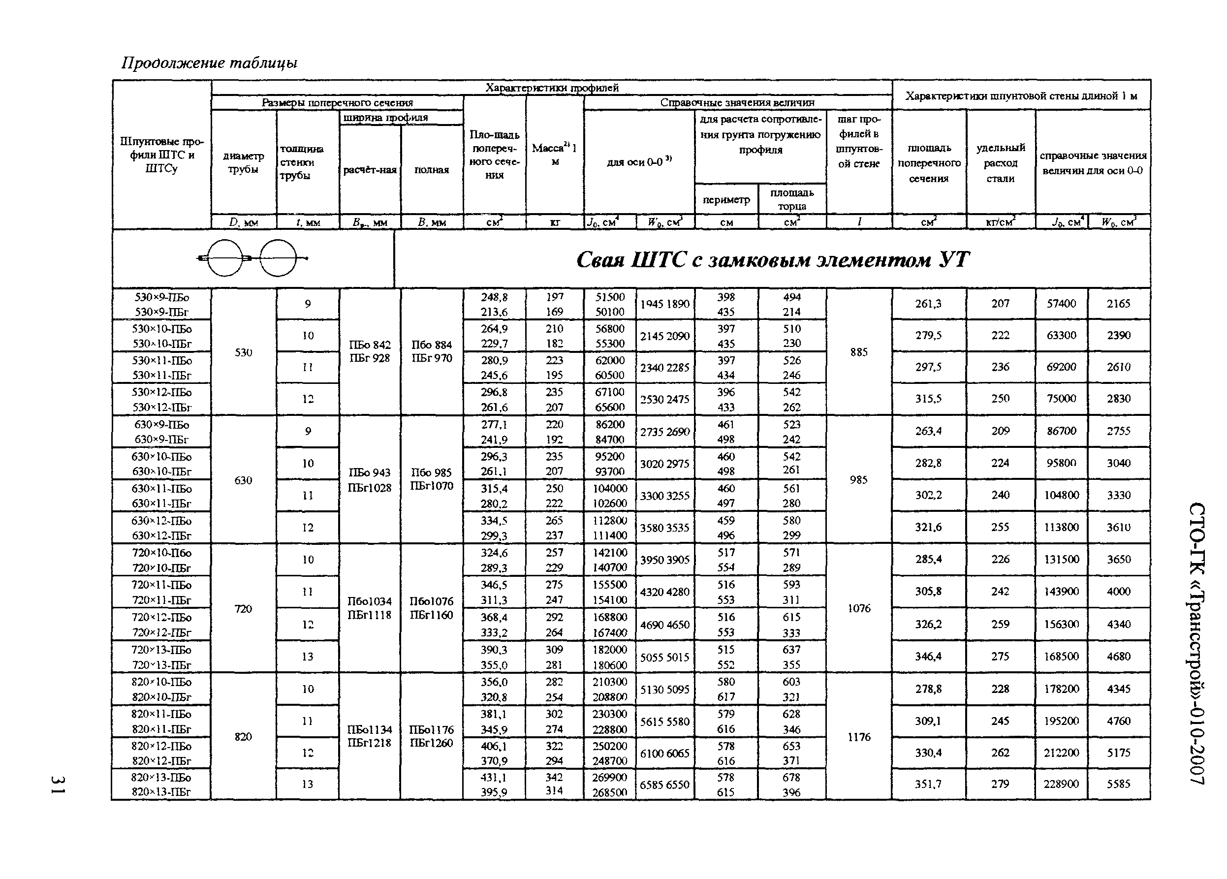
Оглавление: | 1. Область применения 2. Нормативные ссылки 3. Термины, определения и сокращения 4. Класификация (основные параметры и размеры) 5. Транспортирование и хранение шпунта трубчатого сварного, анкерных тяг и свай 6. Приемка шпунта трубчатого сварного, анкерных тяг и свай 7. Подготовительные работы 8. Выбор оборудования для погружения шпунта и анкерных свай 9. Погружение и извлечение шпунта трубчатого сварного и анкерных свай 10. Водоотвод и устройство дренажа 11. Засыпка пазух грунтом 12. Производство работ зимой и в Северной климатической зоне 13. Приемка выполненных работ 14. Требования безопасности 15. Охрана окружающей природной среды 16. Методы контроля 17. Указания по безопасности эксплуатации шпунтовых стен Приложение А. Сортамент Приложение Б. Сравнительные характеристики шпунтовых стен Приложение В. Выбор типа молота для забивки шпунта трубчатого сварного Приложение Г. Выбор типа вибропогружателя для погружения шпунта трубчатого сварного Приложение Д. Перечень технических документов, подлежащих предъявлению приемочной комиссии |
Разработан: | ОАО ЦНИИС РОО Научно-техническая ассоциация ученых и специалистов транспортного строительства ООО Трест Запсибгидрострой
|
Утверждён: | 09.04.2007 ООО Группа компаний Трансстрой (ГК/ПН-17)
|
Принят: | 11.12.2006 ЗАО Трансмонолит (Г-01-09/1985) 31.01.2007 ОАО Трансмост (09/10-125) 13.02.2007 ОАО ЛенморНИИпроект (ОГС-573) 28.12.2006 Ассоциация Гидропроект (3.2.4-20/282) 11.01.2007 ОАО СоюзморНИИпроект (8/13) 28.12.2006 Подводречстрой-4 (262) 15.03.2007 Департамент капитального строительства ОАО РЖД (ЦУКСи-20/643)
|
Расположен в: |
|
Заменяет собой: | |
Нормативные ссылки: |   СНиП 3.01.04-87 «Приемка в эксплуатацию законченных строительством объектов. Основные положения»  СНиП 3.04.03-85 «Защита строительных конструкций и сооружений от коррозии»  СНиП 3.07.02-87 «Гидротехнические морские и речные транспортные сооружения»  СНиП 2.02.03-85 «Свайные фундаменты»  СНиП 3.02.01-87 «Земляные сооружения, основания и фундаменты»  СНиП II-23-81* «Стальные конструкции»  ГОСТ 25100-95 «Грунты. Классификация»  ГОСТ 380-94 «Сталь углеродистая обыкновенного качества. Марки»  ГОСТ 2590-88 «Прокат стальной горячекатаный круглый. Сортамент»  ГОСТ 5264-80 «Ручная дуговая сварка. Соединения сварные. Основные типы, конструктивные элементы и размеры»  ГОСТ 6996-66 «Сварные соединения. Методы определения механических свойств»  ГОСТ 7566-94 «Металлопродукция. Приемка, маркировка, упаковка, транспортирование и хранение»  ГОСТ 10704-91 «Трубы стальные электросварные прямошовные. Сортамент»  ГОСТ 10706-76 «Трубы стальные электросварные прямошовные. Технические требования»  ГОСТ 20295-85 «Трубы стальные сварные для магистральных газонефтепроводов. Технические условия»  ГОСТ 15150-69 «Машины, приборы и другие технические изделия. Исполнения для различных климатических районов. Категории, условия эксплуатации, хранения и транспортирования в части воздействия климатических факторов внешней среды»  ГОСТ 12.3.009-76 «Система стандартов безопасности труда. Работы погрузочно-разгрузочные. Общие требования безопасности»  ГОСТ 17.1.3.13-86 «Охрана природы. Гидросфера. Общие требования к охране поверхностных вод от загрязнения»  ГОСТ 17.4.3.02-85 «Охрана природы. Почвы. Требования к охране плодородного слоя почвы при производстве земляных работ»  ГОСТ 17.5.3.04-83 «Охрана природы. Земли. Общие требования к рекультивации земель»  ГОСТ 17.5.3.06-85 «Охрана природы. Земли. Требования к определению норм снятия плодородного слоя почвы при производстве земляных работ»  СП 53-101-98 «Изготовление и контроль качества стальных строительных конструкций»  ГОСТ 14771-76 «Дуговая сварка в защитном газе. Соединения сварные. Основные типы. Конструктивные элементы и размеры»  ГОСТ 427-75 «Линейки измерительные металлические. Технические условия» СТП 010-2000 «Правила производства работ по строительству шпунтовых стен из трубчатого сварного шпунта»  СНиП 12-04-2002 «Безопасность труда в строительстве. Часть 2. Строительное производство» ВСН 34-91/МТ-ст «Правила производства и приемки работ на строительстве новых, реконструкции и расширении действующих гидротехнических морских и речных транспортных сооружений. Часть I» ГОСТ 7502-89 «Рулетки измерительные металлические. Технические условия»  СНиП 12-01-2004 «Организация строительства» ГОСТ Р 52711-2007 «Производство соковой продукции. Методы микробиологического анализа с применением специальных микробиологических сред»  ГОСТ 21937-76 «Полособульб горячекатаный несимметричный для судостроения. Сортамент»  ГОСТ 4781-85 «Профили стальные горячекатаные для шпунтовых свай. Технические условия»  ГОСТ 8239-89 «Двутавры стальные горячекатаные. Сортамент»  ГОСТ 8510-86 «Уголки стальные горячекатаные неравнополочные. Сортамент»  ГОСТ 8713-79 «Сварка под флюсом. Соединения сварные. Основные типы, конструктивные элементы и размеры»  ГОСТ 7502-98 «Рулетки измерительные металлические. Технические условия»  СНиП 3.01.01-85* «Организация строительного производства»  ГОСТ 9235-76 «Полособульб горячекатаный симметричный для судостроения. Сортамент»
|