| ||||||||||||||||||||||||||||||||
Скачать ТЕР 81-02-04-2001 Ростовской области Скважины. Книга 2. Территориальные единичные расценки для определения стоимости строительных работ в Ростовской областиДата актуализации: 10.08.2017
|
| Обозначение: | ТЕР 81-02-04-2001 Ростовской области |
| Обозначение англ: | TER 81-02-04-2001 Ростовской области |
| Статус: | действует |
| Название рус.: | Скважины. Книга 2. Территориальные единичные расценки для определения стоимости строительных работ в Ростовской области |
| Дата добавления в базу: | 01.09.2013 |
| Дата актуализации: | 05.05.2017 |
| Область применения: | Сборник содержит территориальные единичные расценки на выполнение работ по бурению скважин. |
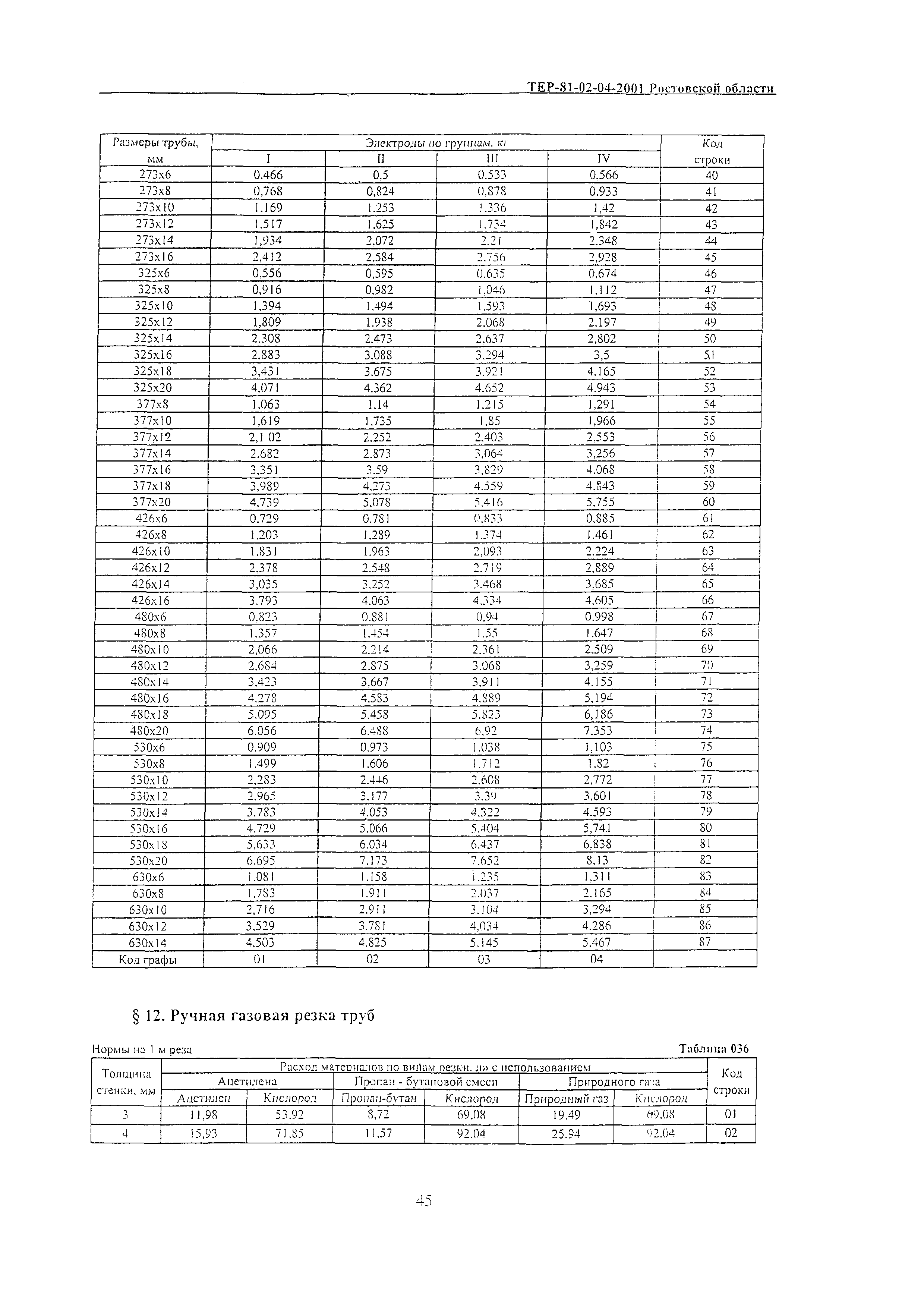
| Оглавление: | Сборник ТЕР 81-02-04-2001 Скважины Техническая часть Техническая часть к книге 2 Раздел 01. Бурение скважин 3. Колонковое бурение 04-01-030 Колонковое бурение станками с электродвигателем глубиной бурения до 50 м 04-01-031 Колонковое бурение станками с электродвигателем глубиной бурения до 100 м 04-01-032 Колонковое бурение станками с электродвигателем глубиной бурения до 150 м 4. Шнековое бурение 04-01-037 Шнековое бурение станками типа ЛБУ-50 глубиной бурения до 50 м 04-01-038 Шнековое бурение станками типа ЛБУ-50 глубиной бурения до 100 м 04-01-039 Шнековое бурение станками типа ЛБУ-50 глубиной бурения до 150 м 04-01-040 Шнековое бурение стайками тина СО-2 Шубиной бурения до 6 м 04-01-041 Шнековое бурение станками типа СО-2 глубиной бурения до 12 м 04-01-042 Шнековое бурение станками типа СО-2 глубиной бурения до 18 м 04-01-043 Шнековое бурение станками типа СО-2 глубиной бурения до 24-м 5. Ударно-вращательное бурение 04-01-050 Ударно-вращательное бурение скважин глубиной бурения до 10м 04-01-051 Ударно-вращательное бурение скважин глубиной бурения до 20 м 04-01-052 Ударно-вращательное бурение скважин глубиной бурения до 50 м 6. Перфораторное бурение 04-01-055 Перфораторное бурение скважин глубиной бурения до 5 м 04-01-056 Перфораторное бурение скважин глубиной бурения до 10 м 04-01-057 Перфораторное бурение скважин глубиной бурения до 5 м 04-01-058 Перфораторное бурение скважин глубиной бурения до 10 м 7. Прочие виды бурения 04-01-064 Устройство лучевых дренажных скважин длиной до 130 м установкой УЛБ-130 Раздел 02. Крепление скважин трубами, извлечение труб, свободный спуск или подъем труб из скважины 04-02-008 Крепление скважины при колонковом бурении трубами с муфтовым соединением 04-02-009 Крепление скважины при колонковом бурении трубами со сварным соединением 04-02-010 Крепление скважины при шнековом бурении 04-02-011 Свободный спуск или подъем обсадных труб в трубах большего диаметра при шнековом бурении 04-02-012 Установка кондуктора при колонковом бурении Раздел 03. Тампонажные работы 04-03-004 Цементация затрубного пространства при колонковом бурении 04-03-005 Подбашмачный тампонаж глиной при колонковом бурении 04-03-006 Подбашмачный тампонаж цементом при колонковом бурении Раздел 04. Установка фильтров и откачка воды из скважины 04-04-006 Установка фильтров на колонне водоподъемных труб при колонковом бурении 04-04-007 Установка фильтра впотай на бурильных трубах при колонковом бурении 04-04-008 Откачка воды из скважины эрлифтом при колонковом бурении 04-04-009 Откачка воды насосом при колонковом бурении Раздел 06. Прочие специальные работы 04-06-001 Перемещение станка 04-06-002 Реагентная обработка скважин Приложение к ТЕР 81-02-04-2001 «Скважины» Производственные нормы расхода материалов при бурении скважин на воду Общая часть Глава I. Бурение и крепление скважин. Техническая часть § 1 Бурение скважин вращательным способом без отбора керна § 2 Вращательное бурение скважин с отбором керна § 3 Бурение скважин ударно-канатным способом станками типа УГБ-3УК (УКС-22) и УГБ-4УК (УКС-30) § 4 Крепление скважин стальными обсадными трубами § 5 Вращательное бурение скважин большого диаметра с прямой промывкой § 6 Реактивно-турбинное бурение скважин Глава II. Специальные работы в скважинах Техническая часть § 7 Изготовление фильтров § 8 Промывка (разглинизация) скважин водой при освоении водоносного горизонта Глава III. Износ бурового инструмента § 9 Износ инструмента при бурении скважин самоходными установками роторного типа § 10 Износ инструмента при бурении скважин станками ударно-канатного типа Глава IV. Сварка и резка труб Техническая часть § 11 Электродуговая ручная сварка труб § 12 Ручная газовая резка труб Приложение 1 Сборник сметных расценок на эксплуатацию строительных машин и сметных цен на материалы, изделия и конструкции (в базисных ценах Ростовской области по состоянию на 01.01.2000) Эксплуатация строительных машин Сметные цены на материальные ресурсы Приложение 2 Стоимость 1 чел.-ч рабочих, занятых в строительстве и на ремонтно-строительных работах Приложение 3 Коды материалов, примененные в расценках ТЕР 81-02-04-2001, взамен общих кодов ГЭСН 81-02-04-2001 |
| Разработан: | ГУ Областной центр анализа ценообразования в строительстве при Министерстве строительства, архитектуры и ЖКХ Ростовской области ОАО Ростовгражданпроект ООО Ростовгипрошахт ОАО ПСП СевкавНИПИагропромстрой |
| Утверждён: | 20.11.2002 Министерство строительства, архитектуры и жилищно-коммунального хозяйства Ростовской области (75) |
| Издан: | Администрация Ростовской области (2001 г. ) |
| Расположен в: | |
| Заменяет собой: |
|
| Нормативные ссылки: |
|






















































