Скачать Том III. Сборник средних сметных цен на материалы, изделия и конструкции, применяемые в строительстве, в разрезе субъектов Российской Федерации. В текущем уровне цен (I квартал 2007 г.)Дата актуализации: 10.08.2017
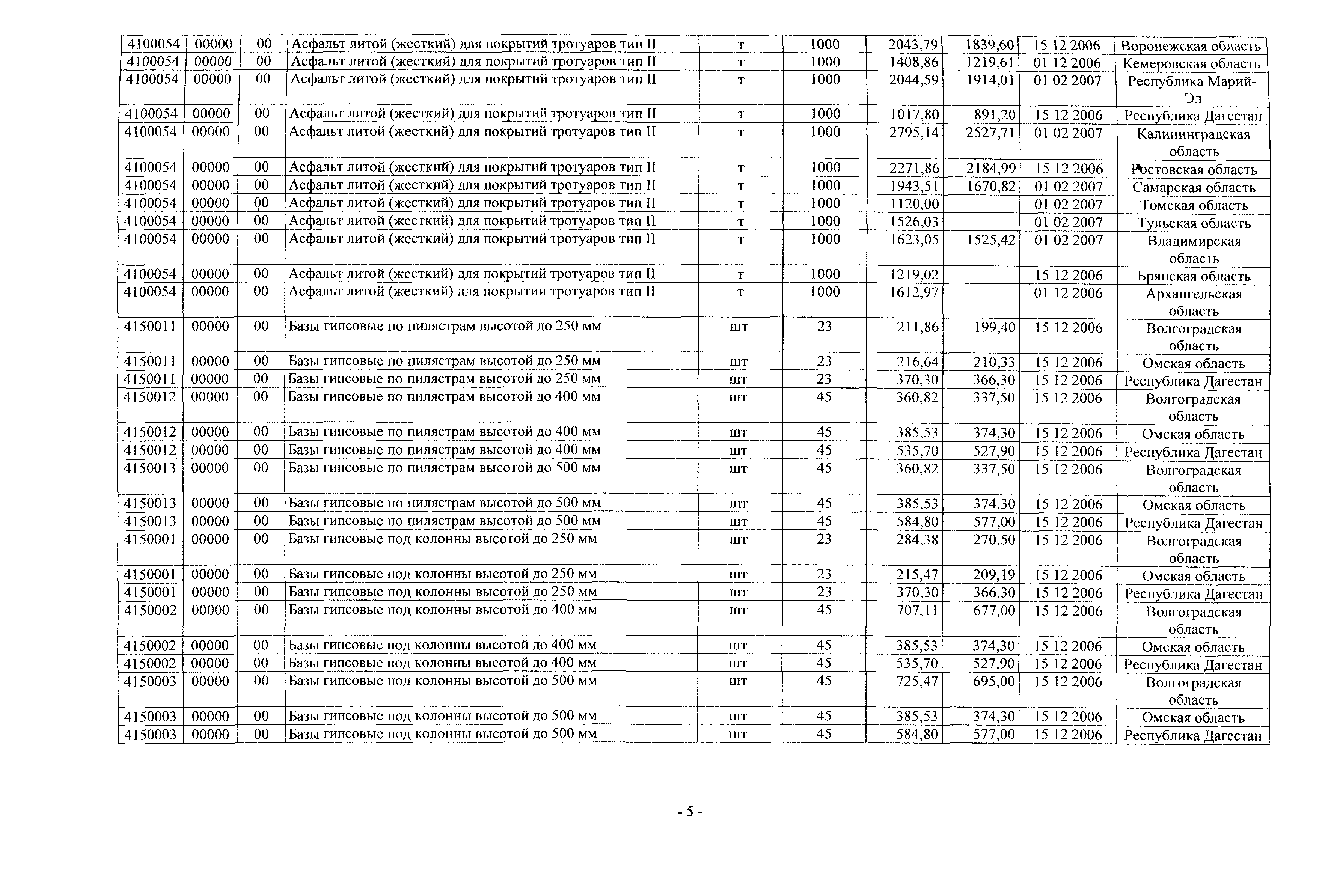
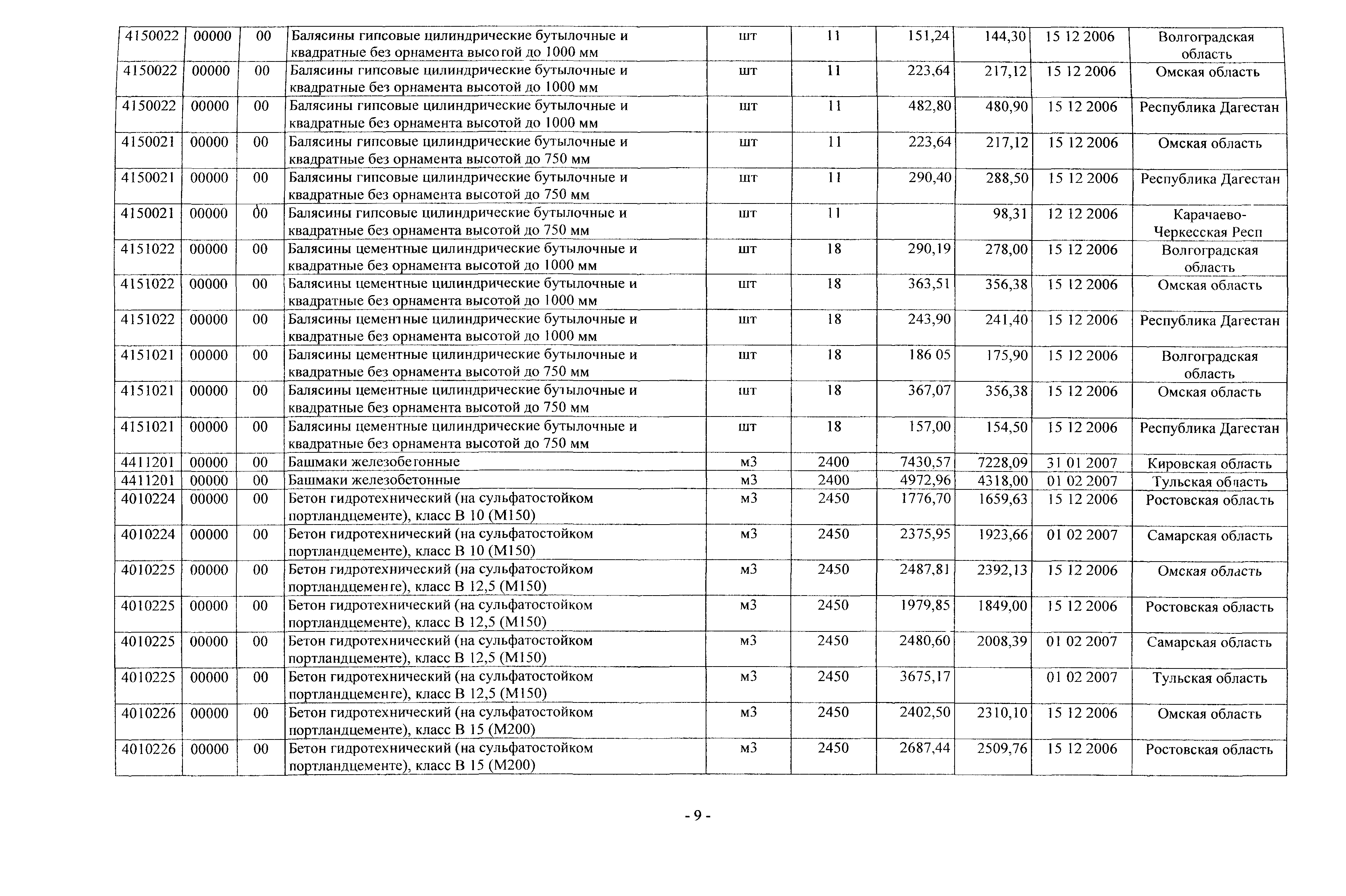
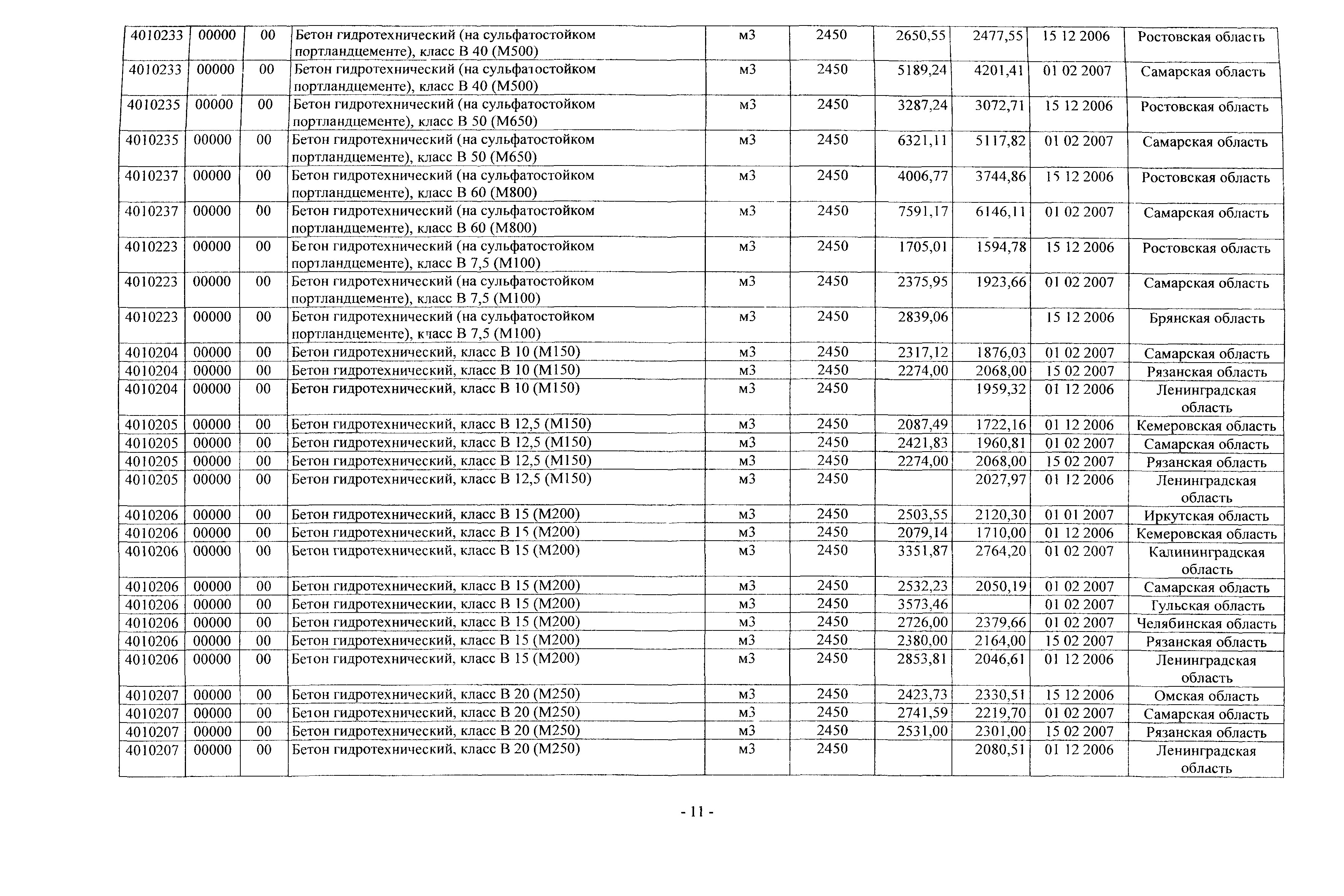
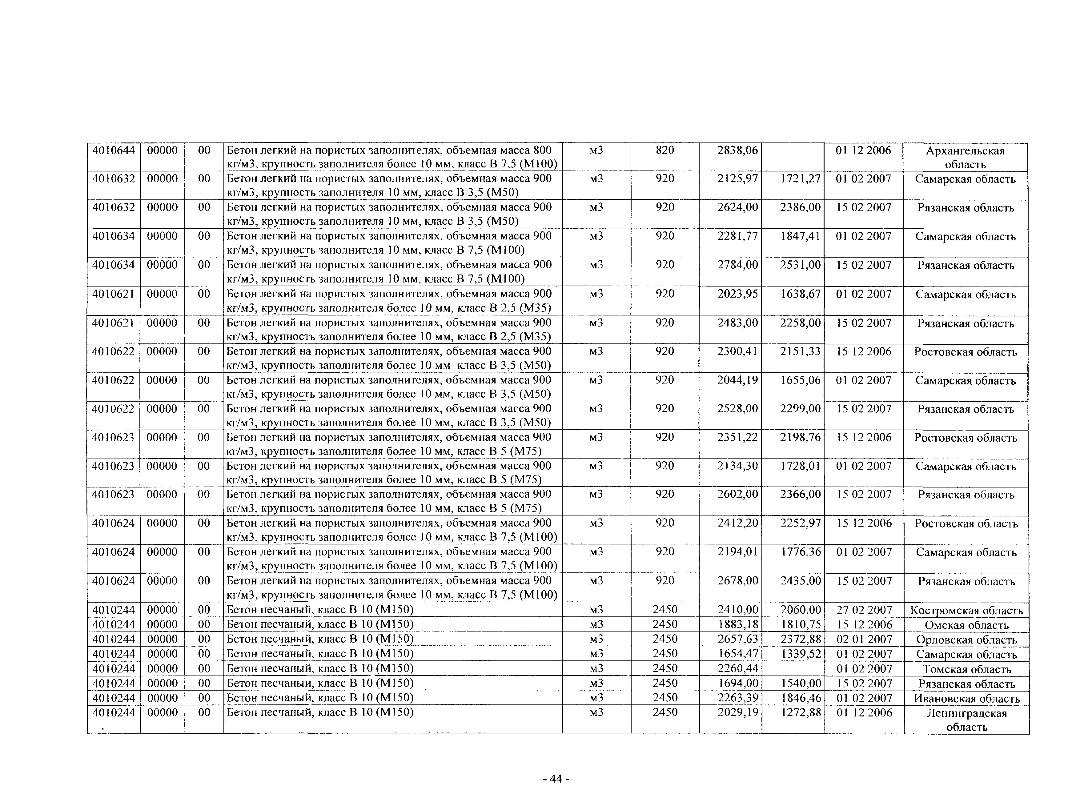
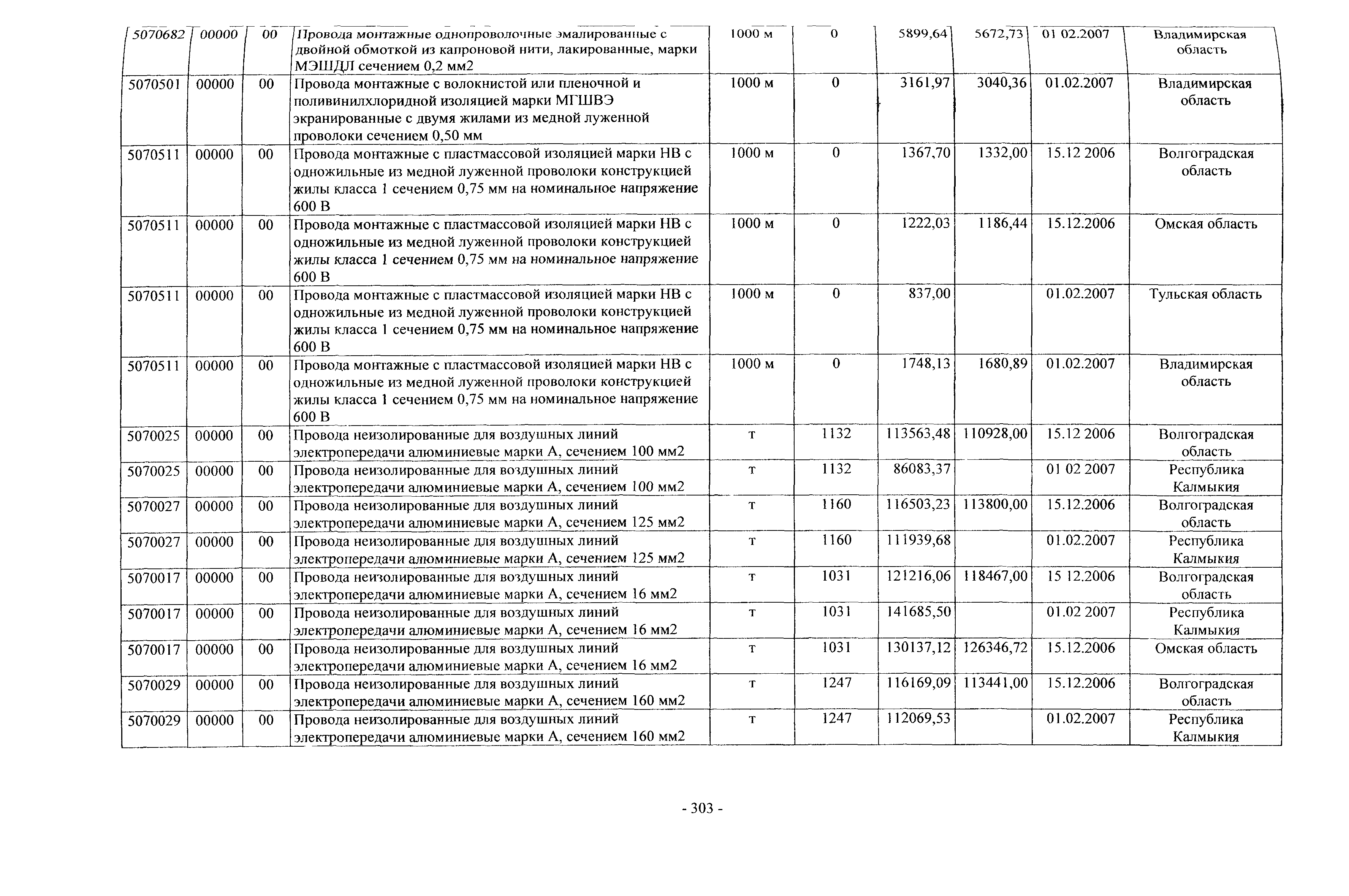
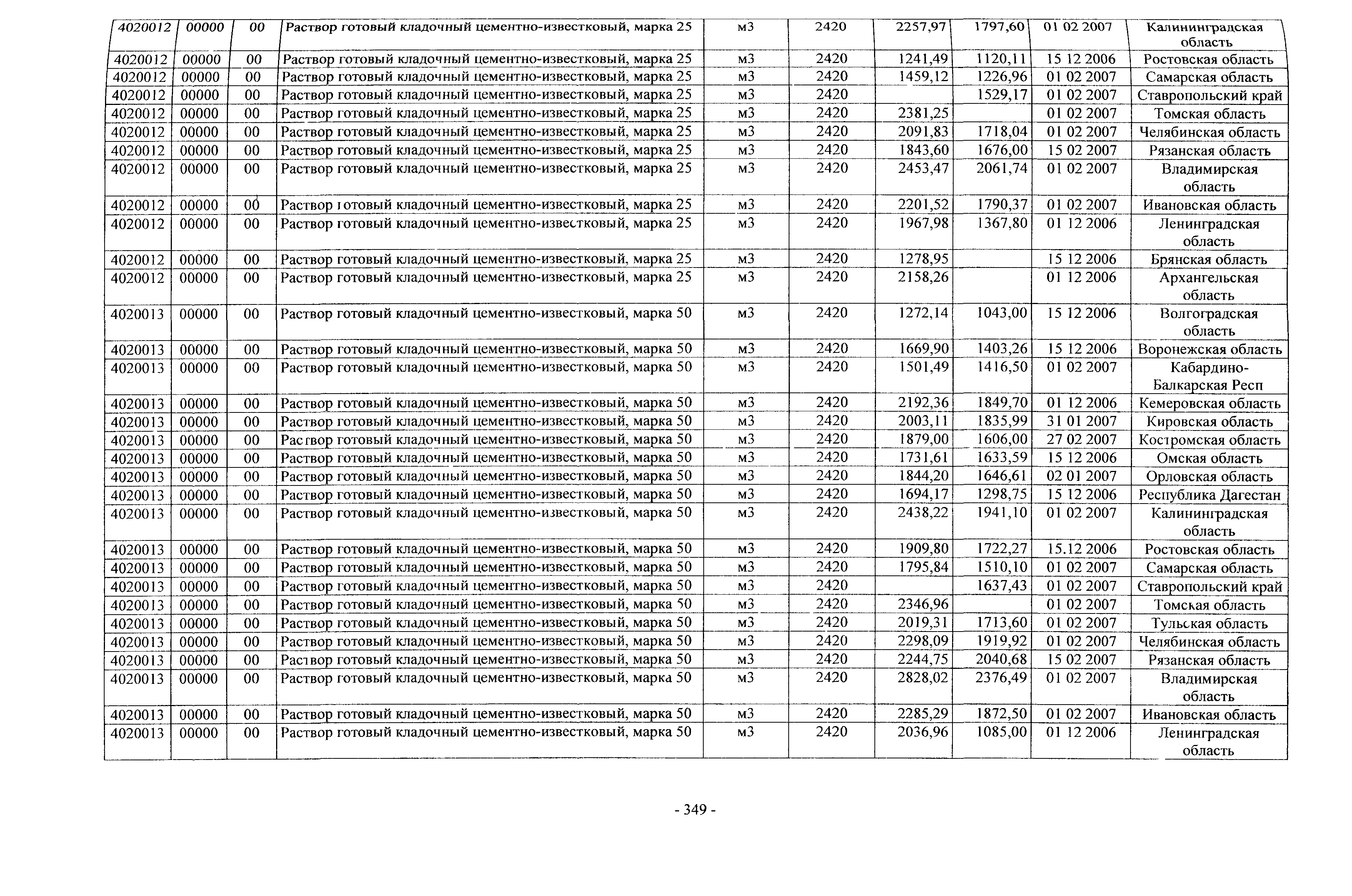
Том III. Сборник средних сметных цен на материалы, изделия и конструкции, применяемые в строительстве, в разрезе субъектов Российской Федерации. В текущем уровне цен (I квартал 2007 г.)Статус: | действует | Название рус.: | Том III. Сборник средних сметных цен на материалы, изделия и конструкции, применяемые в строительстве, в разрезе субъектов Российской Федерации. В текущем уровне цен (I квартал 2007 г.) | Дата добавления в базу: | 01.09.2013 | Дата актуализации: | 05.05.2017 | Область применения: | Сборник предназначен для ознакомления со средними сметными ценами по регионам Российской Федерации. | Оглавление: | А Б В Г Д З И К Л М Н О П Р С Т У Ф Х Ц Ч Ш Щ Э Я | Разработан: | ФГУ Федеральный центр ценообразования в строительстве и промышленности строительных материалов
| Издан: | ФГУ Федеральный центр ценообразования в строительстве и промышленности строительных материалов (2007 г. )
| Расположен в: |
|
                                                                                                                                                                                                                                                                                                                                                                                                                                          
|