Информационная система
«Ёшкин Кот»

Скачать базу одним архивом
Скачать обновления
История создания базы
Карта сайта

Скачать МДС 12-30.2006 Методические рекомендации по нормам, правилам и приемам выполнения отделочных работ

Дата актуализации: 10.08.2017

МДС 12-30.2006

Методические рекомендации по нормам, правилам и приемам выполнения отделочных работ

Обозначение: МДС 12-30.2006
Обозначение англ: MDS 12-30.2006
Статус:действует
Название рус.:Методические рекомендации по нормам, правилам и приемам выполнения отделочных работ
Дата добавления в базу:01.09.2013
Дата актуализации:05.05.2017
Дата введения:22.01.2007
Область применения:Строительные нормы, правила и приемы работ, содержащиеся в документе, распространяются на производство отделочных работ (штукатурных, малярных, отделочных с применением листов и панелей, облицовочных, по устройству подвесных потолков, обойных и стекольных) в новом строительстве, при реконструкции и ремонте жилых, общественных и производственных зданий.
Оглавление:Введение
1 Область применения
2 Нормативные ссылки
3 Общие положения
4 Подготовка оснований
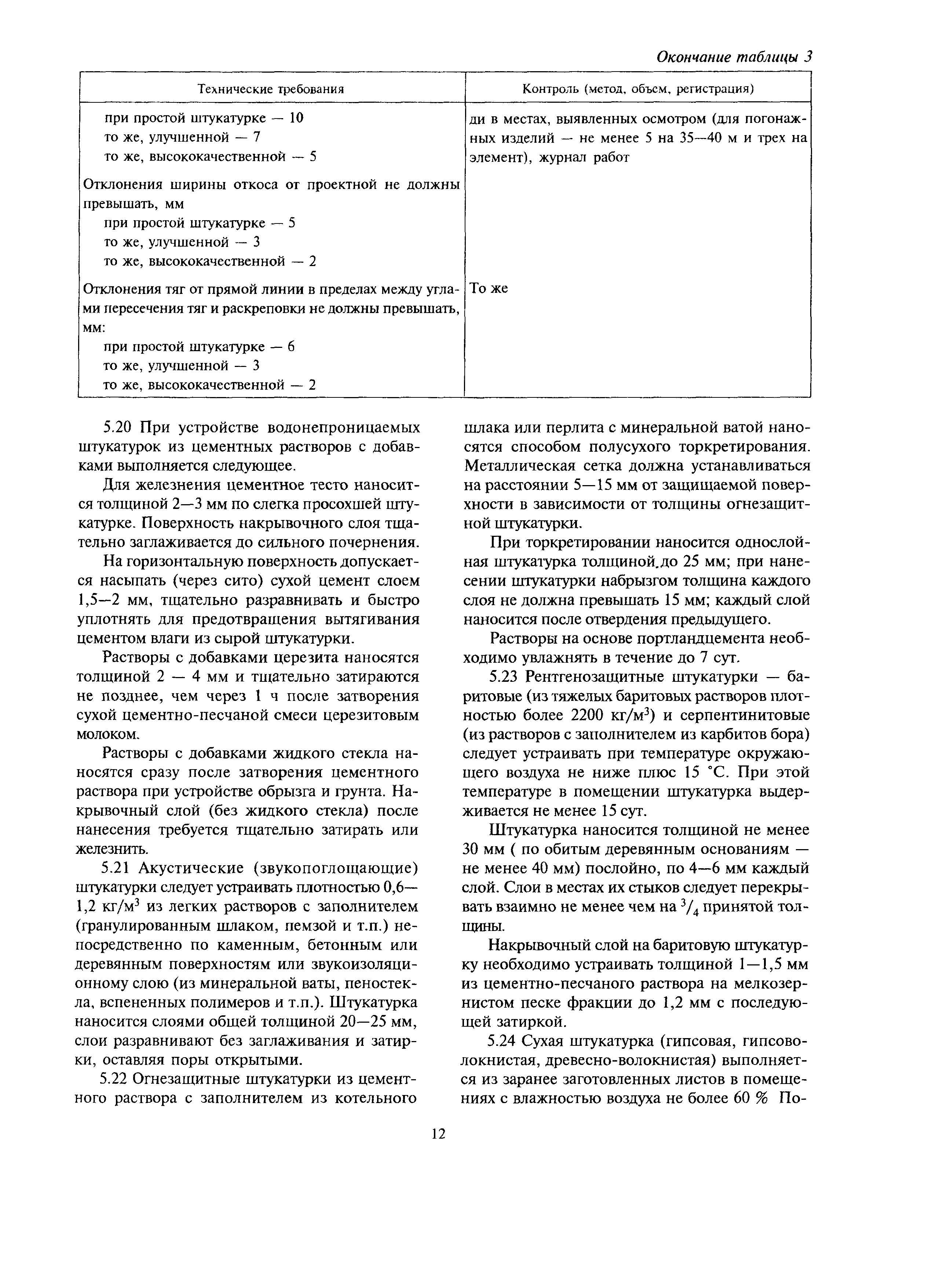
5 Штукатурные работы
6 Малярные работы
7 Отделочные работы с примееннием листов и панелей
8 Устройство подвесных потолков
9 Облицовочные работы
10 Обойные работы
11 Стекольные работы
Разработан: ЗАО ЦНИИОМТП
Утверждён:22.01.2007 ЦНИИОМТП (TsNIIOMTP )
Издан: ГУП ЦПП (CPP GUP 2007 г. )
Расположен в:Техническая документация Строительство Справочные документы Директивные письма, положения, рекомендации и др.
Нормативные ссылки:
МДС 12-30.2006МДС 12-30.2006МДС 12-30.2006МДС 12-30.2006МДС 12-30.2006МДС 12-30.2006МДС 12-30.2006МДС 12-30.2006МДС 12-30.2006МДС 12-30.2006МДС 12-30.2006МДС 12-30.2006МДС 12-30.2006МДС 12-30.2006МДС 12-30.2006МДС 12-30.2006МДС 12-30.2006МДС 12-30.2006МДС 12-30.2006МДС 12-30.2006МДС 12-30.2006МДС 12-30.2006МДС 12-30.2006МДС 12-30.2006МДС 12-30.2006МДС 12-30.2006МДС 12-30.2006

© 2013 Ёшкин Кот :-) Карта сайта