Информационная система
«Ёшкин Кот»

Скачать базу одним архивом
Скачать обновления
История создания базы
Карта сайта

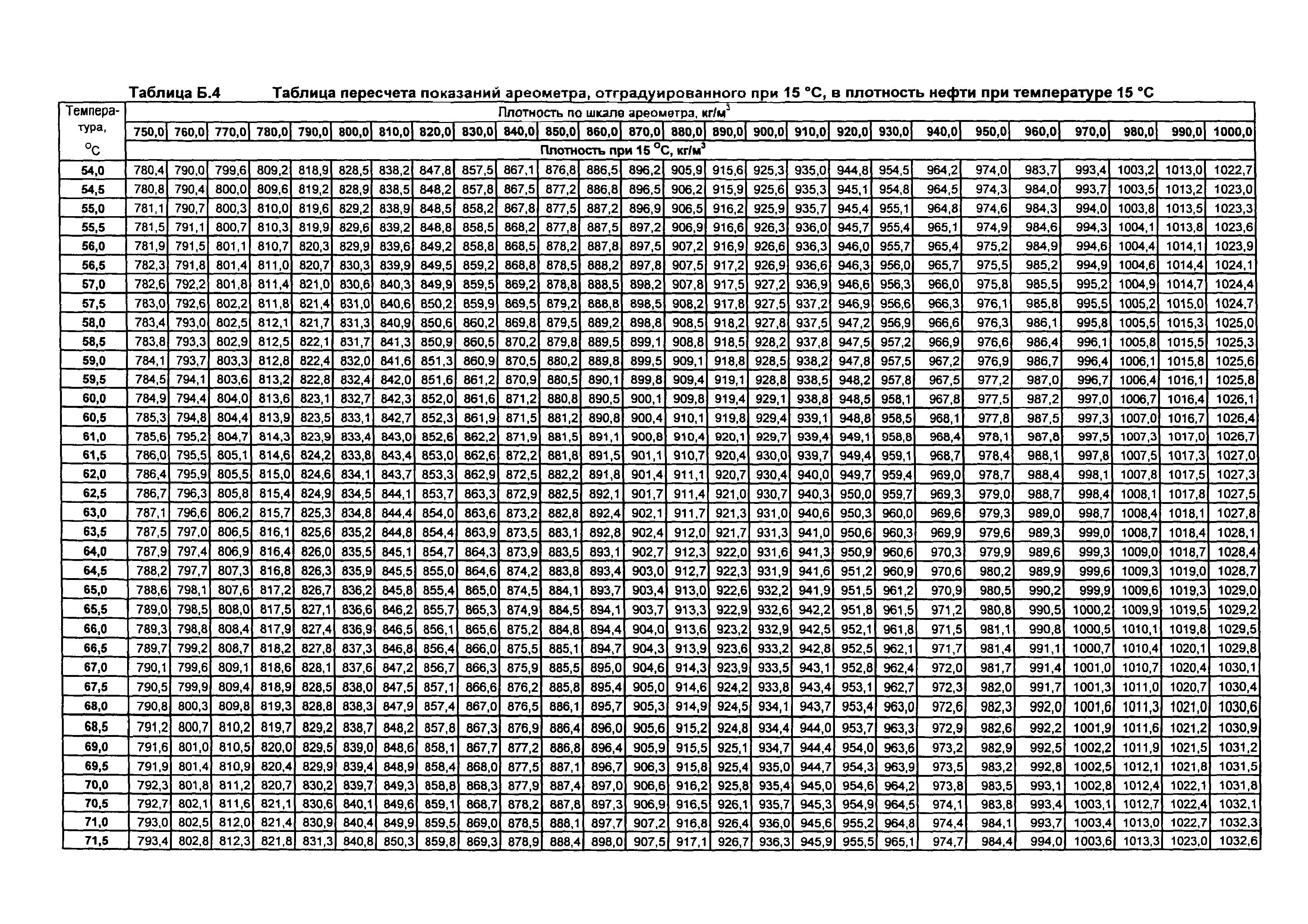
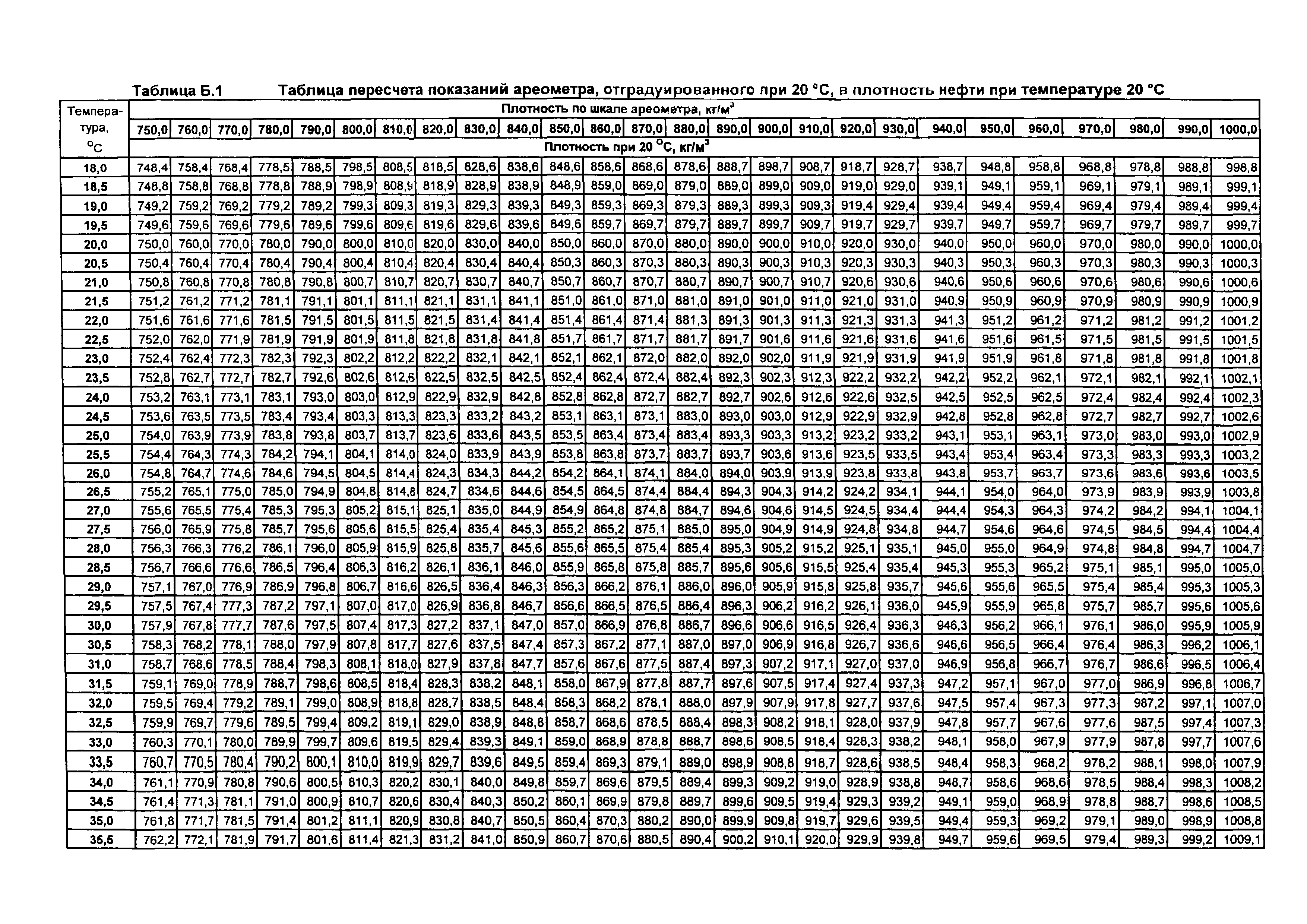
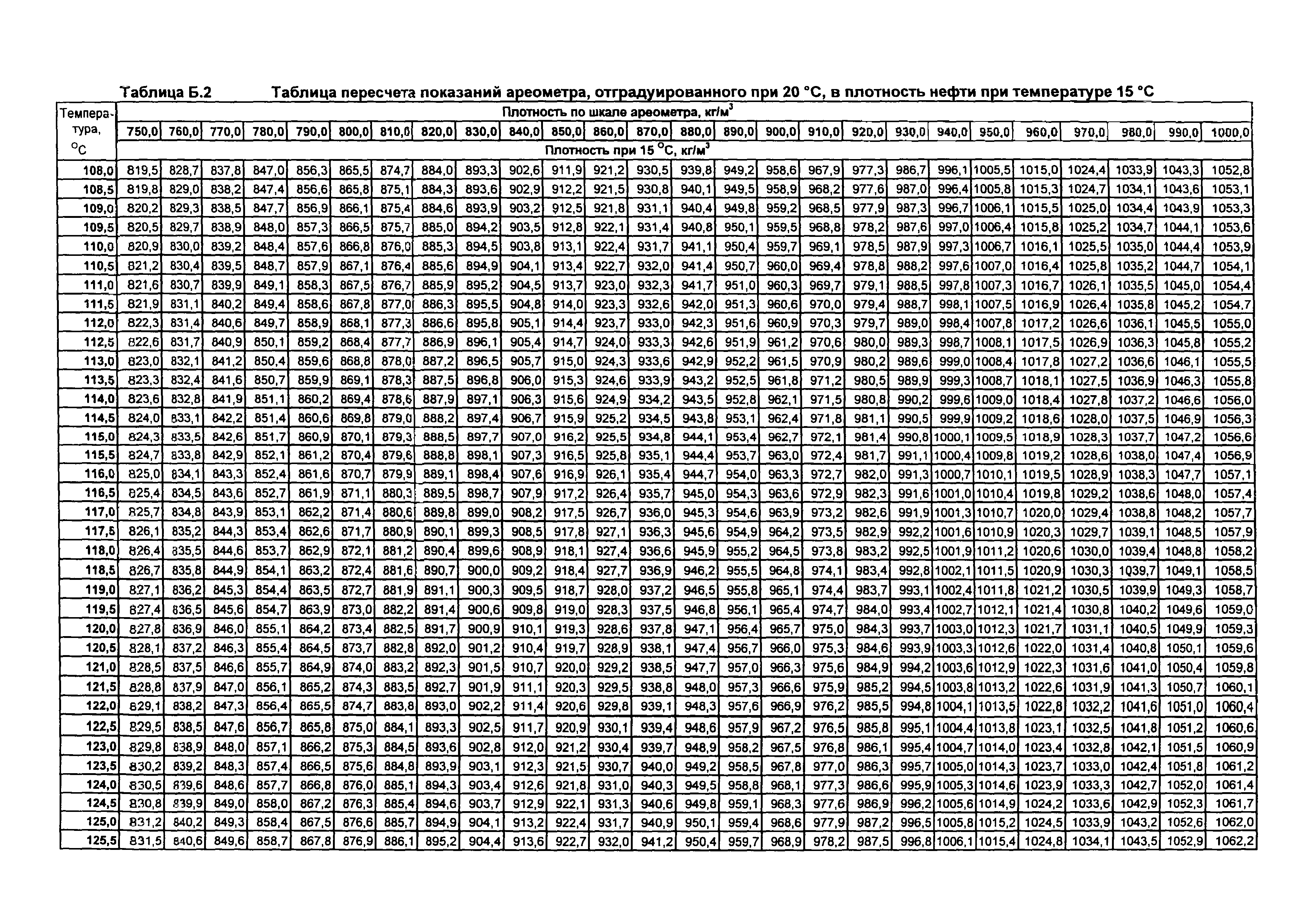
Скачать МИ 2153-2004 Рекомендация. ГСОЕИ. Плотность нефти. Требования к методике выполнения измерений ареометром при учетных операциях

Дата актуализации: 10.08.2017

МИ 2153-2004

Рекомендация. ГСОЕИ. Плотность нефти. Требования к методике выполнения измерений ареометром при учетных операциях

Обозначение: МИ 2153-2004
Обозначение англ: MI 2153-2004
Статус:отменен
Название рус.:Рекомендация. ГСОЕИ. Плотность нефти. Требования к методике выполнения измерений ареометром при учетных операциях
Дата добавления в базу:01.09.2013
Дата актуализации:05.05.2017
Дата введения:01.07.2011
Область применения:Рекомендация устанавливает требования к методике выполнения измерений плотности нефти ареометром при учетных операциях. Нефть по степени подготовки должна соответствовать требованиям ГОСТ 9965 или технических условий ТУ 39-1435, допускается значение давления насыщенных паров по Рейду (ГОСТ 1756) не более 101,325 кПа при температуре приема-сдачи.
Оглавление:1 Нормы погрешности измерений
2 Средства измерений и вспомогательные устройства
3 Метод измерений
4 Требования безопасности, охраны окружающей среды
5 Условия измерений и подготовка к выполнению измерений
6 Выполнение измерений
7 Обработка результатов измерений
Приложения
Разработан: ОАО Инфракрасные и Микроволновые Системы
Утверждён:20.07.2003 ФГУП ВНИИМС
Расположен в:Техническая документация Экология ДОБЫЧА И ПЕРЕРАБОТКА НЕФТИ, ГАЗА И СМЕЖНЫЕ ПРОИЗВОДСТВА Нефтяные продукты в целом МЕТРОЛОГИЯ И ИЗМЕРЕНИЯ. ФИЗИЧЕСКИЕ ЯВЛЕНИЯ Измерения объема, массы, плотности, вязкости Метрология и измерения в целом
Заменяет собой:
Нормативные ссылки:
МИ 2153-2004МИ 2153-2004МИ 2153-2004МИ 2153-2004МИ 2153-2004МИ 2153-2004МИ 2153-2004МИ 2153-2004МИ 2153-2004МИ 2153-2004МИ 2153-2004МИ 2153-2004МИ 2153-2004МИ 2153-2004МИ 2153-2004МИ 2153-2004МИ 2153-2004МИ 2153-2004МИ 2153-2004МИ 2153-2004МИ 2153-2004МИ 2153-2004МИ 2153-2004МИ 2153-2004МИ 2153-2004МИ 2153-2004МИ 2153-2004МИ 2153-2004МИ 2153-2004МИ 2153-2004МИ 2153-2004МИ 2153-2004МИ 2153-2004МИ 2153-2004МИ 2153-2004МИ 2153-2004МИ 2153-2004МИ 2153-2004МИ 2153-2004МИ 2153-2004МИ 2153-2004МИ 2153-2004МИ 2153-2004МИ 2153-2004МИ 2153-2004МИ 2153-2004

© 2013 Ёшкин Кот :-) Карта сайта