Информационная система
«Ёшкин Кот»

Скачать базу одним архивом
Скачать обновления
История создания базы
Карта сайта

Скачать МРО 8-99 Методика расчета объемов образования отходов. Отработанные автомобильные шины

Дата актуализации: 10.08.2017

МРО 8-99

Методика расчета объемов образования отходов. Отработанные автомобильные шины

Обозначение: МРО 8-99
Обозначение англ: 8-99
Статус:действует
Название рус.:Методика расчета объемов образования отходов. Отработанные автомобильные шины
Дата добавления в базу:01.09.2013
Дата актуализации:05.05.2017
Дата введения:01.01.1999
Оглавление:Классификация автомобильных шин
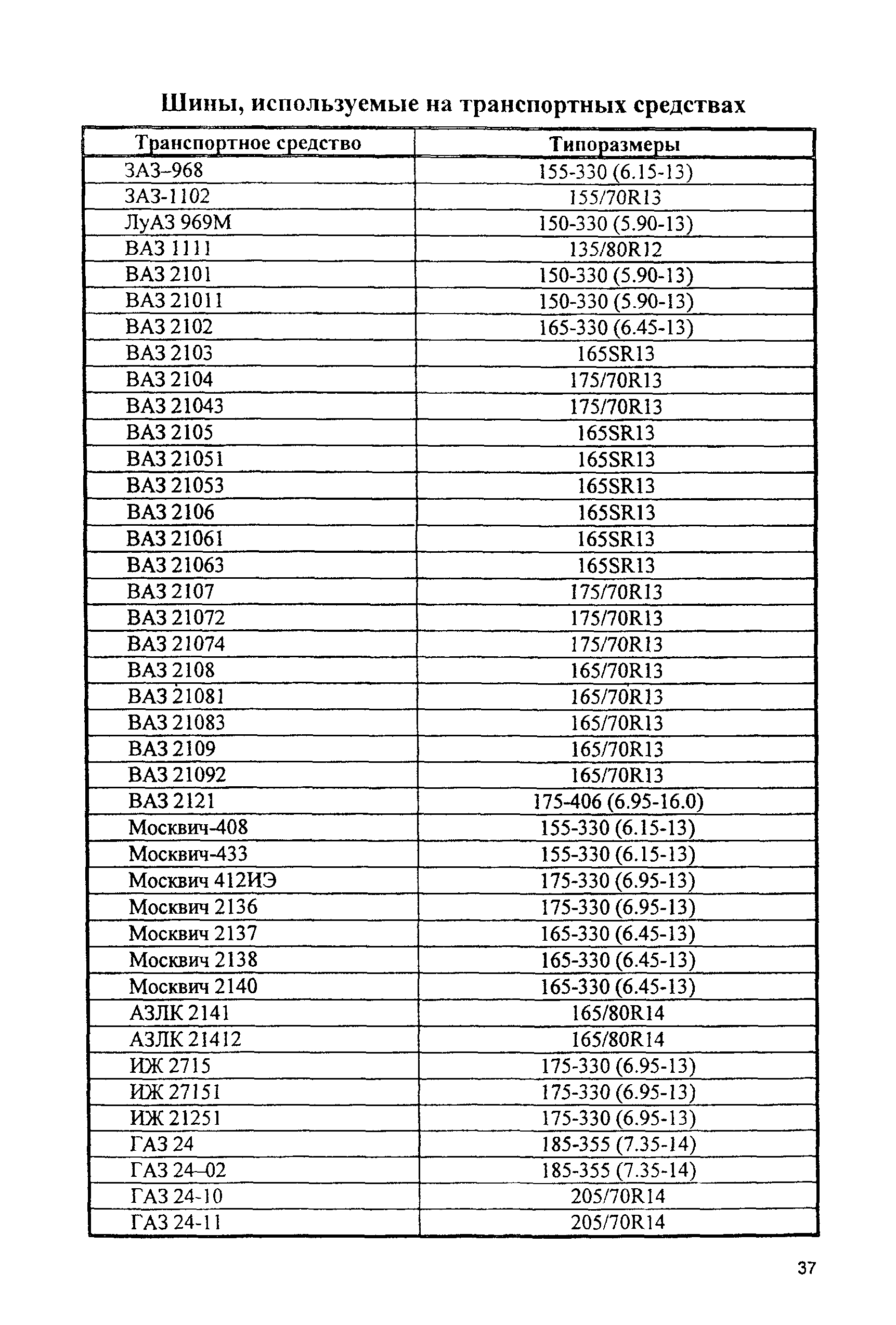
Шины, используемые на транспортных средствах
Метод расчета объемов образования отходов
Исходные данные для расчетов
Литература
Разработан: ИТЦ Компьютерный Экологический Сервис
Центр обеспечения экологического контроля
Утверждён:01.01.1999 ИТЦ Компьютерный Экологический Сервис
Расположен в:Техническая документация Экология ОХРАНА ОКРУЖАЮЩЕЙ СРЕДЫ, ЗАЩИТА ЧЕЛОВЕКА ОТ ВОЗДЕЙСТВИЯ ОКРУЖАЮЩЕЙ СРЕДЫ. БЕЗОПАСНОСТЬ Отходы Отходы, прочие аспекты Автомобильные дороги Экологические разделы проектной документации Реконструкция и строительство Обращение с отходами строительства и реконструкции Отходы, прочие аспекты Правовое регулирование вопросов по охране окружающей среды III Нормативные документы органов надзора Нормативные документы Министерства охраны окружающей среды Строительство Нормативные документы Нормативные документы органов надзора Нормативные документы Министерства охраны окружающей среды и природных ресурсов Российской Федерации
Нормативные ссылки:
МРО 8-99МРО 8-99МРО 8-99МРО 8-99МРО 8-99МРО 8-99МРО 8-99МРО 8-99МРО 8-99МРО 8-99МРО 8-99МРО 8-99МРО 8-99МРО 8-99МРО 8-99

© 2013 Ёшкин Кот :-) Карта сайта