| ||||||||||||||||||||||||||||||||||
Скачать ГОСТ Р ИСО/МЭК 19794-2-2005 Автоматическая идентификация. Идентификация биометрическая. Форматы обмена биометрическими данными. Часть 2. Данные изображения отпечатка пальца - контрольные точкиДата актуализации: 10.08.2017
|
| Обозначение: | ГОСТ Р ИСО/МЭК 19794-2-2005 |
| Обозначение англ: | GOST R ISO/IEC 19794-2-2005 |
| Статус: | заменен |
| Название рус.: | Автоматическая идентификация. Идентификация биометрическая. Форматы обмена биометрическими данными. Часть 2. Данные изображения отпечатка пальца - контрольные точки |
| Название англ.: | Automatic identification. Biometrics. Biometric data interchange formats. Part 2. Finger minutiae data |
| Дата добавления в базу: | 01.09.2013 |
| Дата актуализации: | 05.05.2017 |
| Дата введения: | 01.01.2015 |
| Область применения: | Стандарт устанавливает структуру и формат блока данных по контрольным точкам изображения отпечатка пальца. |
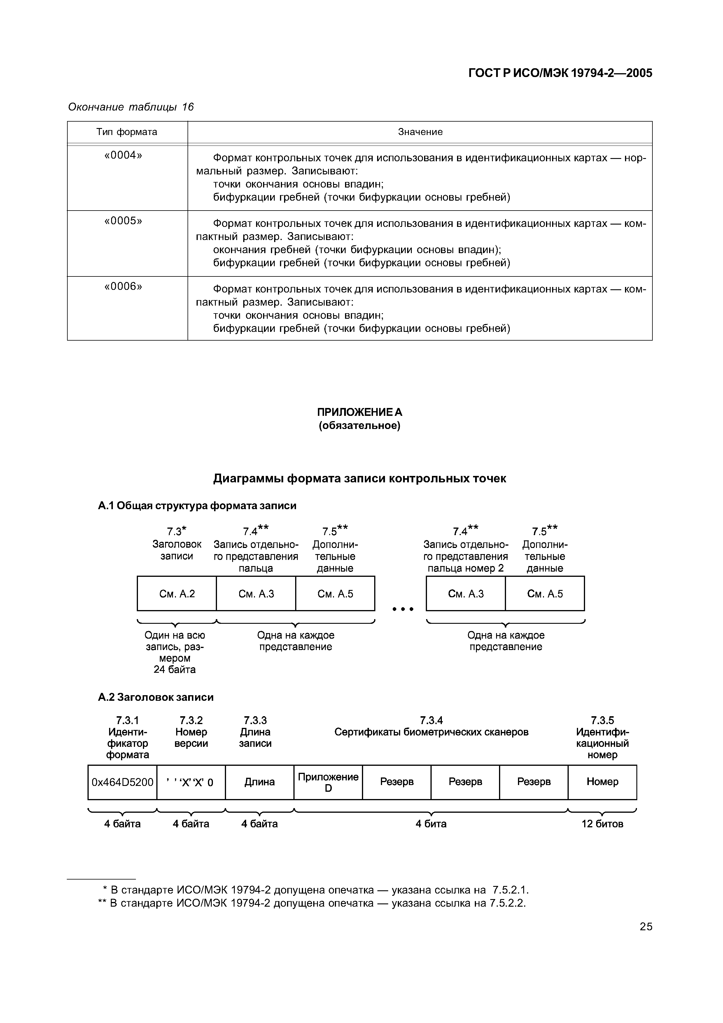
| Оглавление: | 1 Область применения 2 Соответствие 3 Нормативные ссылки 4 Термины и определения 5 Сокращения 6 Извлечение контрольных точек 6.1 Общие положения 6.2 Типы контрольных точек 6.3 Расположение контрольных точек 6.4 Ориентация контрольных точек 6.5 Расположение и направление ядра и дельты 6.6 Соответствие типов контролных точек 6.7 Кодирование многобайтовых значений 7 Формат записи контрольных точек 7.1 Общие положения 7.2 Организация записи 7.3 Заголовок записи 7.4 Формат записи отдельного представления пальца 7.5 Дополнительные данные 7.6 Структура формата записи для использования в идентификационных картах 8 Формат контрольных точек для использования в идентификационных картах 8.1 Формат нормального размера 8.2 Формат компактного размера 8.3 Число контрольных точек, упорядочивание и усечение последовательности контрольных точек 8.4 Использование дополнительных свойств формата идентификационной карты 9 Владелец и тип формата ЕСФОБД Приложение А (обязательное) Диаграммы формата записи контрольных точек Приложение В (обязательное) Спецификации качества изображений отпечатков пальца Приложение С (справочное) Пример записи данных Приложение D (справочное) Пояснение форматов контрольных точек для использования в идентификационных картах Приложение Е (справочное) Сведения о соответствии ссылочных международных стандартов национальным стандартам Библиография |
| Разработан: | НИИ БМТ МГТУ им. Н.Э. Баумана |
| Утверждён: | 29.12.2005 Федеральное агентство по техническому регулированию и метрологии (477-ст) |
| Издан: | Стандартинформ (2006 г. ) |
| Расположен в: | |
| Чем заменён: |









































