Информационная система
«Ёшкин Кот»

Скачать базу одним архивом
Скачать обновления
История создания базы
Карта сайта

Скачать Р 50.1.022-2000 Информационная технология. Государственный профиль взаимосвязи открытых систем России (Госпрофиль ВОС России). Версия 2

Дата актуализации: 10.08.2017

Р 50.1.022-2000

Информационная технология. Государственный профиль взаимосвязи открытых систем России (Госпрофиль ВОС России). Версия 2

Обозначение: Р 50.1.022-2000
Обозначение англ: R 50.1.022-2000
Статус:действует
Название рус.:Информационная технология. Государственный профиль взаимосвязи открытых систем России (Госпрофиль ВОС России). Версия 2
Дата добавления в базу:01.09.2013
Дата актуализации:05.05.2017
Дата введения:01.07.2000
Область применения:Рекомендации распространяются на государственный профиль взаимосвязи открытых систем Российской Федерации (Госпрофиль ВОС России) и определяют: а) общую структуру Госпрофиля ВОС России; б) перечень функциональных и базовых стандартов, образующих Госпрофиль ВОС России; в) структуру вотрой версии Госпрофиля ВОС России; г) общее описание стандартов, образующих вторую версию Госпрофиля ВОС России.
Оглавление:1 Назначение
2 Нормативные ссылки
3 Определения
4 Сокращения
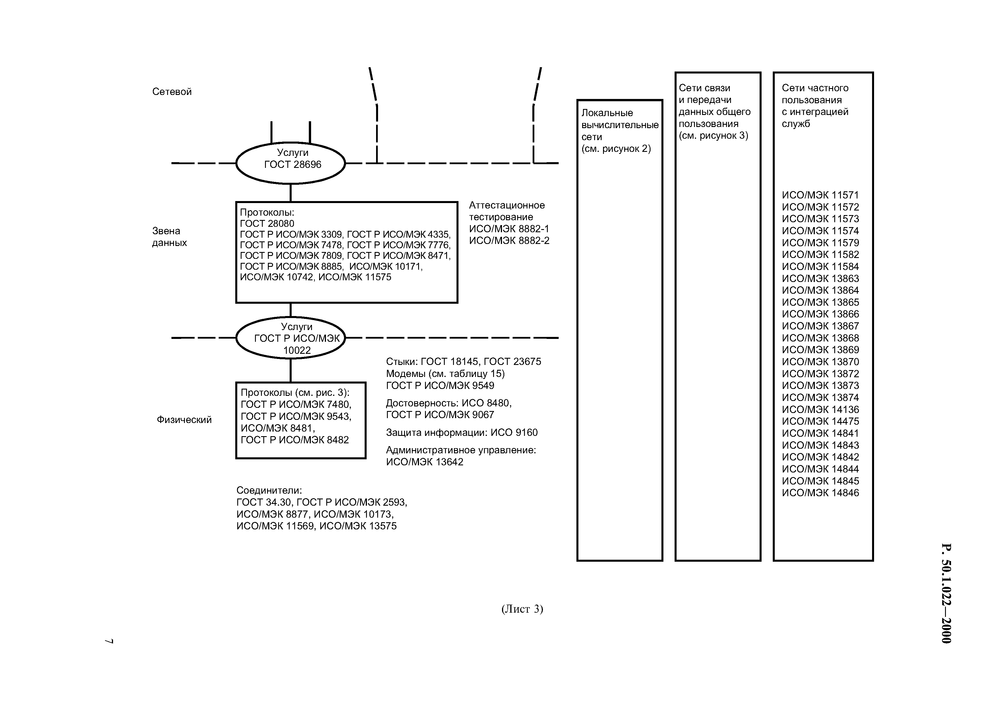
5 Общая схема Госпрофиля ВОС России
   5.1 Общая схема в представлении базовых стандартов
   5.2 Общая схема в представлении функциональных стандартов
6 Госпрофиль ВОС России
   6.1 Выбор версии
   6.2 Система обработки сообщений
   6.3 Передача файлов, доступ к файлам и управление файлами
   6.4 Факсимильные службы
   6.5 Услуги транспортного уровня в режиме с установлением соединения при использовании услуг сетевого уровня в режиме без установления соединения
   6.6 Услуги транспортного уровня в режиме с установлением соединения при использовании услуг сетевого уровня в режиме с установлением соединения
   6.7 Базовые стандарты по модемам
Приложение А Перечень стандартов, используемых в Госпрофиле ВОС России
   А1 Базовые стандарты
      А1.1 Взаимосвязь открытых систем
      А1.2 Локальные вычислительные сети
      А1.3 Сети частного пользования с интеграцией служб
      А1.4 Рекомендации МККТТ (по 1992 г.) и МСЭ-Т (с 1993 г.)
      А2 Функциональные стандарты
Приложение Б Таблица соответствия международных, государственных стандартов и рекомендаций МСЭ-Т (МККТТ)
Разработан: ВНИИстандарт
МНИЦ ГК РФ по связи и информатизации
Утверждён:26.01.2000 Госстандарт России (Russian Federation Gosstandart 15-ст)
Издан: ИПК Издательство стандартов (2000 г. )
Стандартинформ (2006 г. )
Расположен в:Техническая документация Экология ИНФОРМАЦИОННЫЕ ТЕХНОЛОГИИ. МАШИНЫ КОНТОРСКИЕ Взаимосвязь открытых систем Взаимосвязь открытых систем в целом
Р 50.1.022-2000Р 50.1.022-2000Р 50.1.022-2000Р 50.1.022-2000Р 50.1.022-2000Р 50.1.022-2000Р 50.1.022-2000Р 50.1.022-2000Р 50.1.022-2000Р 50.1.022-2000Р 50.1.022-2000Р 50.1.022-2000Р 50.1.022-2000Р 50.1.022-2000Р 50.1.022-2000Р 50.1.022-2000Р 50.1.022-2000Р 50.1.022-2000Р 50.1.022-2000Р 50.1.022-2000Р 50.1.022-2000Р 50.1.022-2000Р 50.1.022-2000Р 50.1.022-2000Р 50.1.022-2000Р 50.1.022-2000Р 50.1.022-2000Р 50.1.022-2000Р 50.1.022-2000Р 50.1.022-2000Р 50.1.022-2000Р 50.1.022-2000Р 50.1.022-2000Р 50.1.022-2000Р 50.1.022-2000Р 50.1.022-2000Р 50.1.022-2000Р 50.1.022-2000Р 50.1.022-2000Р 50.1.022-2000Р 50.1.022-2000Р 50.1.022-2000Р 50.1.022-2000Р 50.1.022-2000Р 50.1.022-2000Р 50.1.022-2000Р 50.1.022-2000Р 50.1.022-2000Р 50.1.022-2000Р 50.1.022-2000Р 50.1.022-2000Р 50.1.022-2000Р 50.1.022-2000Р 50.1.022-2000

© 2013 Ёшкин Кот :-) Карта сайта