Информационная система
«Ёшкин Кот»

Скачать базу одним архивом
Скачать обновления
История создания базы
Карта сайта

Скачать Методика Методика определения стоимости строительной продукции по сметно-нормативной базе 2001 года на территории Московской области

Дата актуализации: 10.08.2017

Методика

Методика определения стоимости строительной продукции по сметно-нормативной базе 2001 года на территории Московской области

Обозначение: Методика
Обозначение англ: Method
Статус:действует
Название рус.:Методика определения стоимости строительной продукции по сметно-нормативной базе 2001 года на территории Московской области
Дата добавления в базу:01.09.2013
Дата актуализации:05.05.2017
Дата введения:17.11.2004
Область применения:Методика предназначена для определения стоимости строительства новых, реконструкции, капитального ремонта, расширения и технического перевооружения действующих предприятий, зданий и сооружений на территории Московской области по новой сметно-нормативной базе СНБ-2001.
Оглавление:1 Общие положения
2 Состав и формы сметной документации
3 Порядок составления сметной документации на строительство
4 Составление и применение объектных смет (сметных расчетов)
5 Сводный сметный расчет стоимости строительства
6 Новая сметно-нормативная база ценообразования в строительстве (СНБ-2001)
Приложение № 1 Перечень основных официальных нормативно-методических документов по составлению сметной документации
Приложение № 2 Локальный сметный расчет
Приложение № 3 Объектный сметный расчет (объектная смета)
Приложение № 4 Сводный сметный расчет стоимости строительства
Приложение № 5 Сводка затрат
Приложение № 6 Локальная ресурсная ведомость
Приложение № 7 Ведомость сметной стоимости объектов и работ по охране окружающей природной среды
Приложение № 8 Ведомость сметной стоимости строительства объектов, входящих в пусковой комплекс
Приложение № 9 Смета на проектные и изыскательские работы 1П
Приложение № 10 Смета на проектные (изыскательские) работы 2П
Приложение № 11 Смета на проектные (изыскательские) работы 3П
Приложение № 12 Перечень основных видов прочих работ затрат, включаемых в сводный сметный расчет стоимости строительства
Приложение № 13 Распределение затрат в комплексных расценках на пусконаладочные работы при выполнении ПНР «в холостую» (капитальные вложения) и «под нагрузкой» (основная эксплуатационная деятельность)
Приложение № 14 Поправочные коэффициенты к стоимости общестроительных работ на 1 м3 здания, применяемые при изменении кубатуры проектируемого объекта (данные коэффициенты применяются к таблицам УПСС за исключением таблиц показателей по типовым проектам и секциям)
Приложение № 15 Состав сборников Территориальных и Федеральных единичных расценок СНБ-2001, применяемых для определения сметной стоимости строительной продукции на территории Московской области
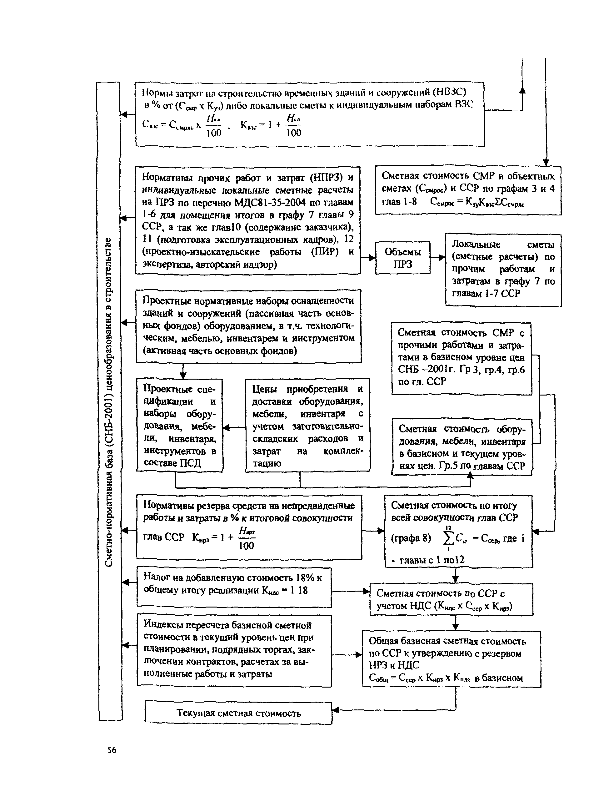
Приложение № 16 Блок-схема. Состав, назначение и применение сметно-нормативной базы (СНБ-2001) ценообразования и строительстве на территории Московской области
Приложение № 17 Блок-схема «Система нормативных методов управления стоимостью в строительстве»
Разработан: Мособлгосэкспертиза
Утверждён:17.11.2004 Московская областная комиссия по индексации цен и ценообразованию в строительстве Московской области (11)
Расположен в:Техническая документация Строительство Нормативные документы Нормативные документы субъектов Российской Федерации Нормативные документы Московской области
Нормативные ссылки:
Методика Методика Методика Методика Методика Методика Методика Методика Методика Методика Методика Методика Методика Методика Методика Методика Методика Методика Методика Методика Методика Методика Методика Методика Методика Методика Методика Методика Методика Методика Методика Методика Методика Методика Методика Методика Методика Методика Методика Методика Методика Методика Методика Методика Методика Методика Методика Методика Методика Методика Методика Методика Методика Методика Методика Методика Методика Методика Методика

© 2013 Ёшкин Кот :-) Карта сайта