Информационная система
«Ёшкин Кот»

Скачать базу одним архивом
Скачать обновления
История создания базы
Карта сайта

Скачать Информационно-технический сборник том 2 Часть III

Дата актуализации: 10.08.2017

Информационно-технический сборник том 2

Часть III

Обозначение: Информационно-технический сборник том 2
Обозначение англ: том 2
Статус:действует
Название рус.:Часть III
Дата добавления в базу:01.09.2013
Дата актуализации:05.05.2017
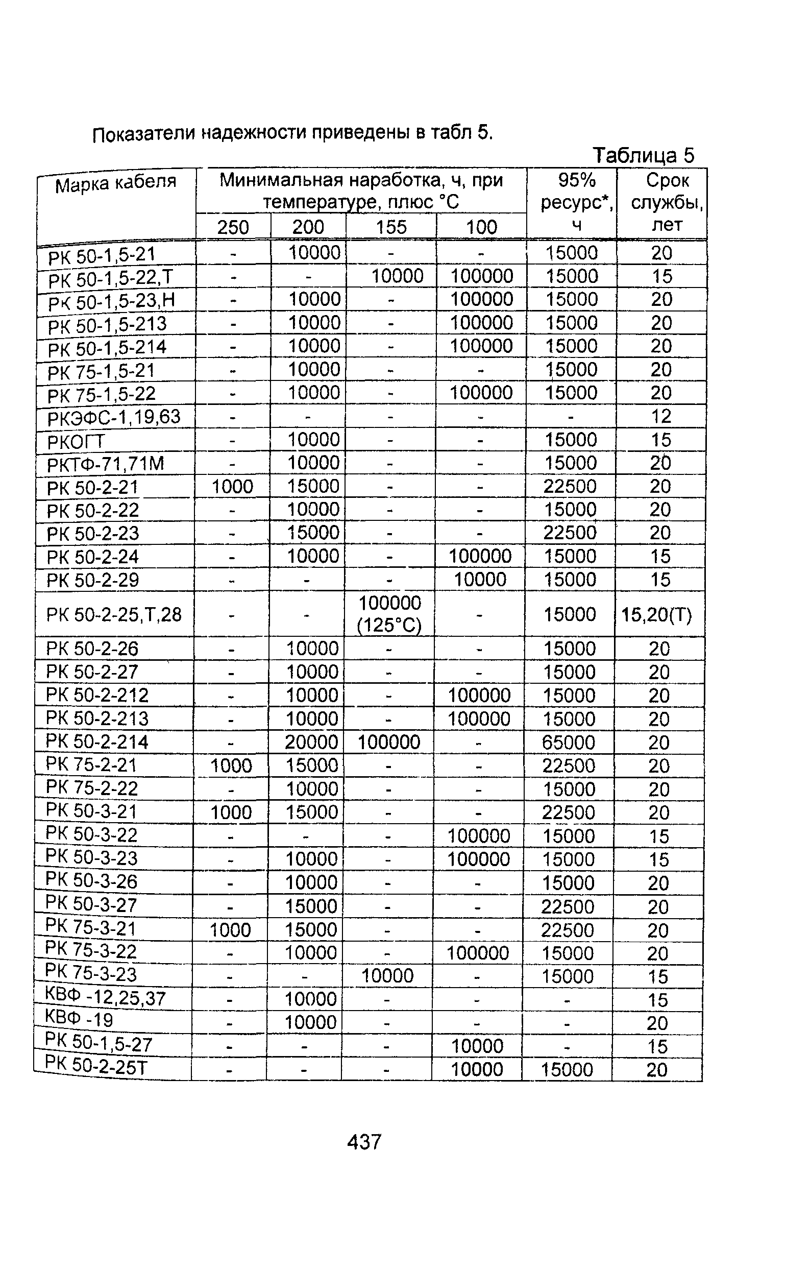
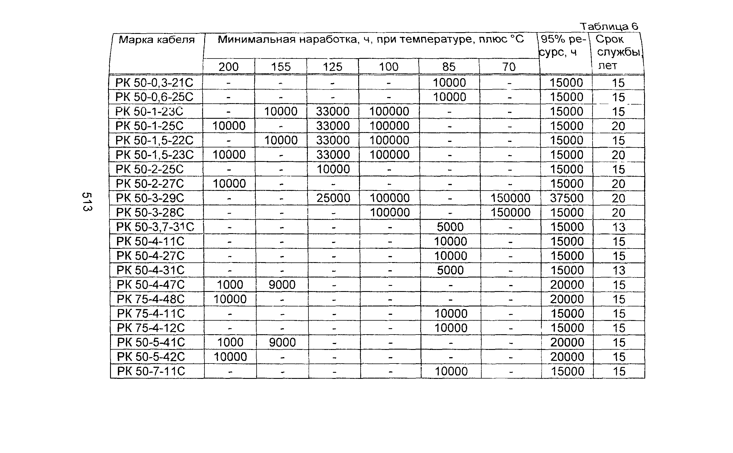
Оглавление:Раздел IX. Радиочастотные кабели
Разработан: ОАО ВНИИКП
Утверждён:01.10.2004 ОАО ВНИИКП
Издан: ОАО ВНИИКП (2004 г. )
Расположен в:Техническая документация Экология ТЕЛЕКОММУНИКАЦИИ. АУДИО-И ВИДЕОТЕХНИКА Волоконно-оптическая связь Волокна и кабели ЭЛЕКТРОТЕХНИКА Электрические провода и кабели Кабели
Нормативные ссылки:
Информационно-технический сборник том 2Информационно-технический сборник том 2Информационно-технический сборник том 2Информационно-технический сборник том 2Информационно-технический сборник том 2Информационно-технический сборник том 2Информационно-технический сборник том 2Информационно-технический сборник том 2Информационно-технический сборник том 2Информационно-технический сборник том 2Информационно-технический сборник том 2Информационно-технический сборник том 2Информационно-технический сборник том 2Информационно-технический сборник том 2Информационно-технический сборник том 2Информационно-технический сборник том 2Информационно-технический сборник том 2Информационно-технический сборник том 2Информационно-технический сборник том 2Информационно-технический сборник том 2Информационно-технический сборник том 2Информационно-технический сборник том 2Информационно-технический сборник том 2Информационно-технический сборник том 2Информационно-технический сборник том 2Информационно-технический сборник том 2Информационно-технический сборник том 2Информационно-технический сборник том 2Информационно-технический сборник том 2Информационно-технический сборник том 2Информационно-технический сборник том 2Информационно-технический сборник том 2Информационно-технический сборник том 2Информационно-технический сборник том 2Информационно-технический сборник том 2Информационно-технический сборник том 2Информационно-технический сборник том 2Информационно-технический сборник том 2Информационно-технический сборник том 2Информационно-технический сборник том 2Информационно-технический сборник том 2Информационно-технический сборник том 2Информационно-технический сборник том 2Информационно-технический сборник том 2Информационно-технический сборник том 2Информационно-технический сборник том 2Информационно-технический сборник том 2Информационно-технический сборник том 2Информационно-технический сборник том 2Информационно-технический сборник том 2Информационно-технический сборник том 2Информационно-технический сборник том 2Информационно-технический сборник том 2Информационно-технический сборник том 2Информационно-технический сборник том 2Информационно-технический сборник том 2Информационно-технический сборник том 2Информационно-технический сборник том 2Информационно-технический сборник том 2Информационно-технический сборник том 2Информационно-технический сборник том 2Информационно-технический сборник том 2Информационно-технический сборник том 2Информационно-технический сборник том 2Информационно-технический сборник том 2Информационно-технический сборник том 2Информационно-технический сборник том 2Информационно-технический сборник том 2Информационно-технический сборник том 2Информационно-технический сборник том 2Информационно-технический сборник том 2Информационно-технический сборник том 2Информационно-технический сборник том 2Информационно-технический сборник том 2Информационно-технический сборник том 2Информационно-технический сборник том 2Информационно-технический сборник том 2Информационно-технический сборник том 2Информационно-технический сборник том 2Информационно-технический сборник том 2Информационно-технический сборник том 2Информационно-технический сборник том 2Информационно-технический сборник том 2Информационно-технический сборник том 2Информационно-технический сборник том 2Информационно-технический сборник том 2Информационно-технический сборник том 2Информационно-технический сборник том 2Информационно-технический сборник том 2Информационно-технический сборник том 2Информационно-технический сборник том 2Информационно-технический сборник том 2Информационно-технический сборник том 2Информационно-технический сборник том 2Информационно-технический сборник том 2Информационно-технический сборник том 2Информационно-технический сборник том 2Информационно-технический сборник том 2Информационно-технический сборник том 2Информационно-технический сборник том 2Информационно-технический сборник том 2Информационно-технический сборник том 2Информационно-технический сборник том 2Информационно-технический сборник том 2Информационно-технический сборник том 2Информационно-технический сборник том 2Информационно-технический сборник том 2Информационно-технический сборник том 2Информационно-технический сборник том 2Информационно-технический сборник том 2Информационно-технический сборник том 2Информационно-технический сборник том 2Информационно-технический сборник том 2Информационно-технический сборник том 2Информационно-технический сборник том 2Информационно-технический сборник том 2Информационно-технический сборник том 2Информационно-технический сборник том 2Информационно-технический сборник том 2Информационно-технический сборник том 2Информационно-технический сборник том 2Информационно-технический сборник том 2Информационно-технический сборник том 2Информационно-технический сборник том 2Информационно-технический сборник том 2Информационно-технический сборник том 2Информационно-технический сборник том 2Информационно-технический сборник том 2Информационно-технический сборник том 2Информационно-технический сборник том 2Информационно-технический сборник том 2Информационно-технический сборник том 2Информационно-технический сборник том 2Информационно-технический сборник том 2Информационно-технический сборник том 2Информационно-технический сборник том 2Информационно-технический сборник том 2Информационно-технический сборник том 2Информационно-технический сборник том 2Информационно-технический сборник том 2Информационно-технический сборник том 2Информационно-технический сборник том 2Информационно-технический сборник том 2Информационно-технический сборник том 2Информационно-технический сборник том 2Информационно-технический сборник том 2Информационно-технический сборник том 2Информационно-технический сборник том 2Информационно-технический сборник том 2Информационно-технический сборник том 2Информационно-технический сборник том 2Информационно-технический сборник том 2Информационно-технический сборник том 2Информационно-технический сборник том 2Информационно-технический сборник том 2Информационно-технический сборник том 2Информационно-технический сборник том 2Информационно-технический сборник том 2Информационно-технический сборник том 2Информационно-технический сборник том 2Информационно-технический сборник том 2Информационно-технический сборник том 2Информационно-технический сборник том 2Информационно-технический сборник том 2Информационно-технический сборник том 2Информационно-технический сборник том 2Информационно-технический сборник том 2Информационно-технический сборник том 2Информационно-технический сборник том 2Информационно-технический сборник том 2Информационно-технический сборник том 2Информационно-технический сборник том 2Информационно-технический сборник том 2Информационно-технический сборник том 2Информационно-технический сборник том 2Информационно-технический сборник том 2Информационно-технический сборник том 2Информационно-технический сборник том 2Информационно-технический сборник том 2Информационно-технический сборник том 2Информационно-технический сборник том 2Информационно-технический сборник том 2Информационно-технический сборник том 2Информационно-технический сборник том 2Информационно-технический сборник том 2Информационно-технический сборник том 2Информационно-технический сборник том 2Информационно-технический сборник том 2Информационно-технический сборник том 2Информационно-технический сборник том 2Информационно-технический сборник том 2Информационно-технический сборник том 2Информационно-технический сборник том 2Информационно-технический сборник том 2Информационно-технический сборник том 2Информационно-технический сборник том 2Информационно-технический сборник том 2Информационно-технический сборник том 2Информационно-технический сборник том 2Информационно-технический сборник том 2Информационно-технический сборник том 2Информационно-технический сборник том 2Информационно-технический сборник том 2Информационно-технический сборник том 2Информационно-технический сборник том 2Информационно-технический сборник том 2Информационно-технический сборник том 2Информационно-технический сборник том 2Информационно-технический сборник том 2Информационно-технический сборник том 2Информационно-технический сборник том 2Информационно-технический сборник том 2Информационно-технический сборник том 2

© 2013 Ёшкин Кот :-) Карта сайта