Скачать ОСТ 34-42-675-84 Детали и сборочные единицы трубопроводов АЭС Рраб<2,2 МПа (22 кгс/см2), Т<=350 °C. Тройники сварные равнопроходные. Конструкция и размерыДата актуализации: 10.08.2017 ОСТ 34-42-675-84
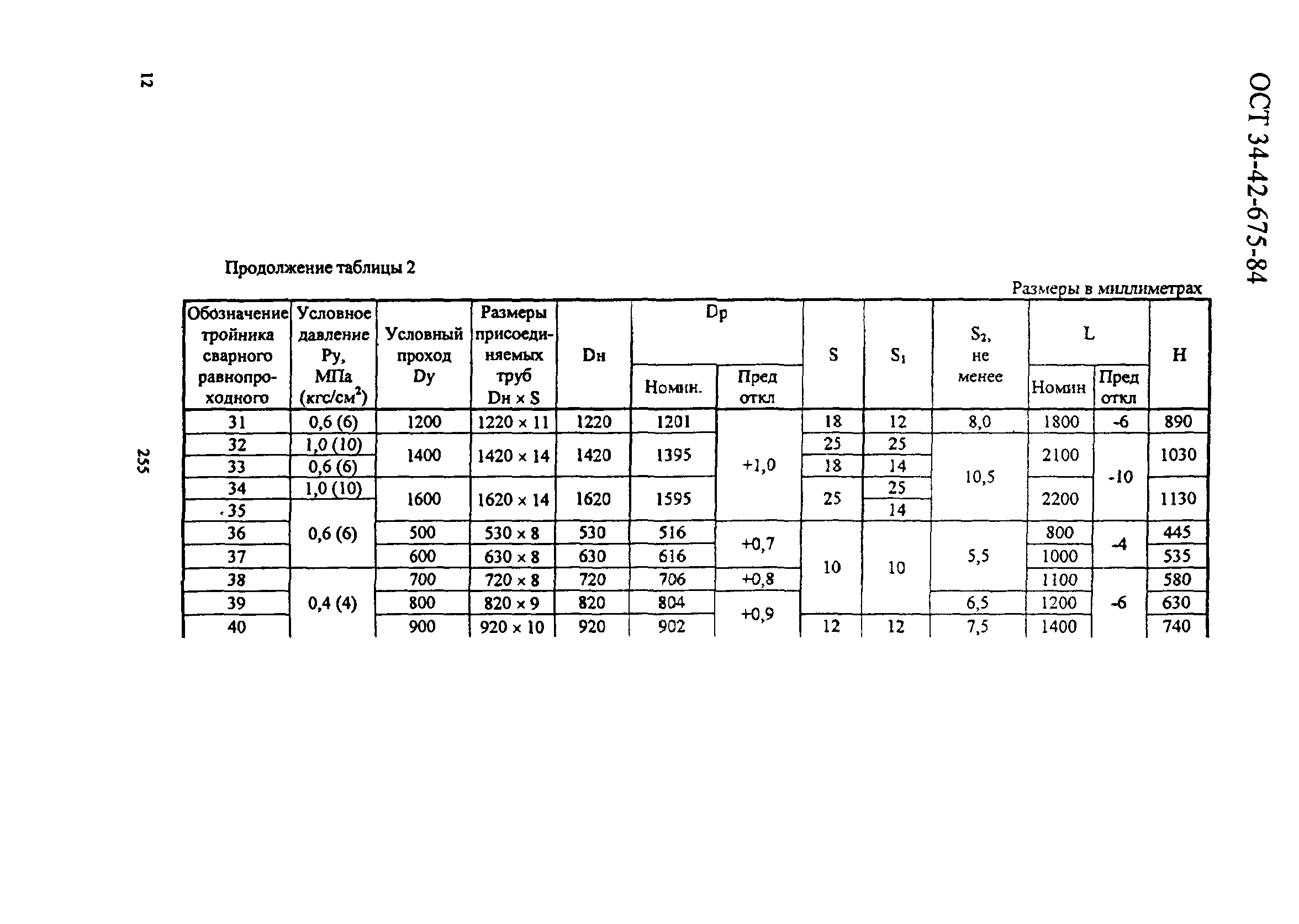
Детали и сборочные единицы трубопроводов АЭС Рраб<2,2 МПа (22 кгс/см2), Т<=350 °C. Тройники сварные равнопроходные. Конструкция и размерыОбозначение: | ОСТ 34-42-675-84 | Обозначение англ: | OST 34-42-675-84 | Статус: | заменен | Название рус.: | Детали и сборочные единицы трубопроводов АЭС Рраб<2,2 МПа (22 кгс/см2), Т<=350 °C. Тройники сварные равнопроходные. Конструкция и размеры | Дата добавления в базу: | 01.09.2013 | Дата актуализации: | 05.05.2017 | Дата введения: | 24.02.2013 | Область применения: | Стандарт распространяется на тройники сварные равнопроходные из углеродистой стали для трубопроводов второго контура атомных электростанций. | Разработан: | ПТИ Энергомонтажпроект Минэнерго СССР
| Утверждён: | 24.04.1984 Министерство энергетики и электрификации СССР (USSR Ministry of Energy and Electrical Power 163)
| Принят: | ВГНИПИИ Атомтеплоэлектропроект
| Расположен в: |
| Чем заменён: | - СТО 95 126-2013 «Тройники сварные равнопроходные. Конструкция и размеры»
- СТО СРО-П 60542948 00023–2013 «Тройники сварные равнопроходные. Конструкция и размеры»
|
                         
|