Информационная система
«Ёшкин Кот»

Скачать базу одним архивом
Скачать обновления
История создания базы
Карта сайта

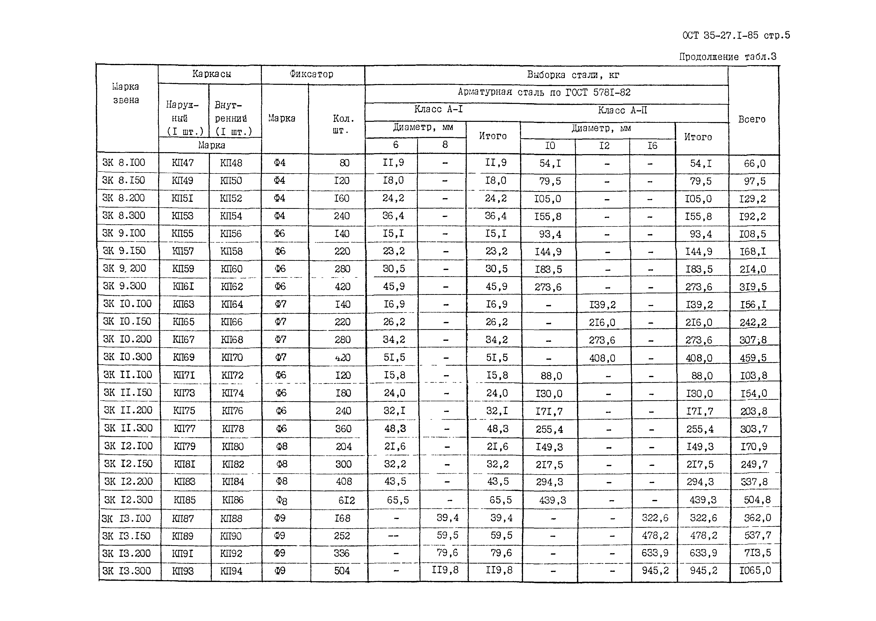
Скачать ОСТ 35-27.1-85 Звенья железобетонные круглых и прямоугольных водопропускных труб под железные и автомобильные дороги. Конструкция и размеры

Дата актуализации: 10.08.2017

ОСТ 35-27.1-85

Звенья железобетонные круглых и прямоугольных водопропускных труб под железные и автомобильные дороги. Конструкция и размеры

Обозначение: ОСТ 35-27.1-85
Обозначение англ: OST 35-27.1-85
Статус:не определен законодательством
Название рус.:Звенья железобетонные круглых и прямоугольных водопропускных труб под железные и автомобильные дороги. Конструкция и размеры
Дата добавления в базу:01.09.2013
Дата актуализации:05.05.2017
Дата введения:30.06.2003
Область применения:Стандарт распространяется на звенья железобетонные круглых водопропускных труб под железные и автомобильные дороги и устанавливает конструкцию звеньев и арматурных изделий к ним.
Разработан: Ленгипротрансмост
СибЦНИИС
Утверждён:18.06.1985 Министерство транспортного строительства СССР (USSR Ministry of Transport Construction 193)
Расположен в:Техническая документация Экология ГРАЖДАНСКОЕ СТРОИТЕЛЬСТВО Строительство дорог Дорожно-строительные материалы Строительство Стандарты Отраслевые стандарты и технические условия Отраслевые стандарты Национальные стандарты Проектирование, строительство, ремонт и содержание искусственных сооружений на автомобильных дорогах Водопропускные трубы на автомобильных дорогах
Нормативные ссылки:
ОСТ 35-27.1-85ОСТ 35-27.1-85ОСТ 35-27.1-85ОСТ 35-27.1-85ОСТ 35-27.1-85ОСТ 35-27.1-85ОСТ 35-27.1-85ОСТ 35-27.1-85ОСТ 35-27.1-85ОСТ 35-27.1-85ОСТ 35-27.1-85ОСТ 35-27.1-85ОСТ 35-27.1-85ОСТ 35-27.1-85

© 2013 Ёшкин Кот :-) Карта сайта