Скачать ПО 02.02.08-01 Выключатели (переключатели) неавтоматические, кнопки управления, счетчики электрической энергииДата актуализации: 10.08.2017 ПО 02.02.08-01
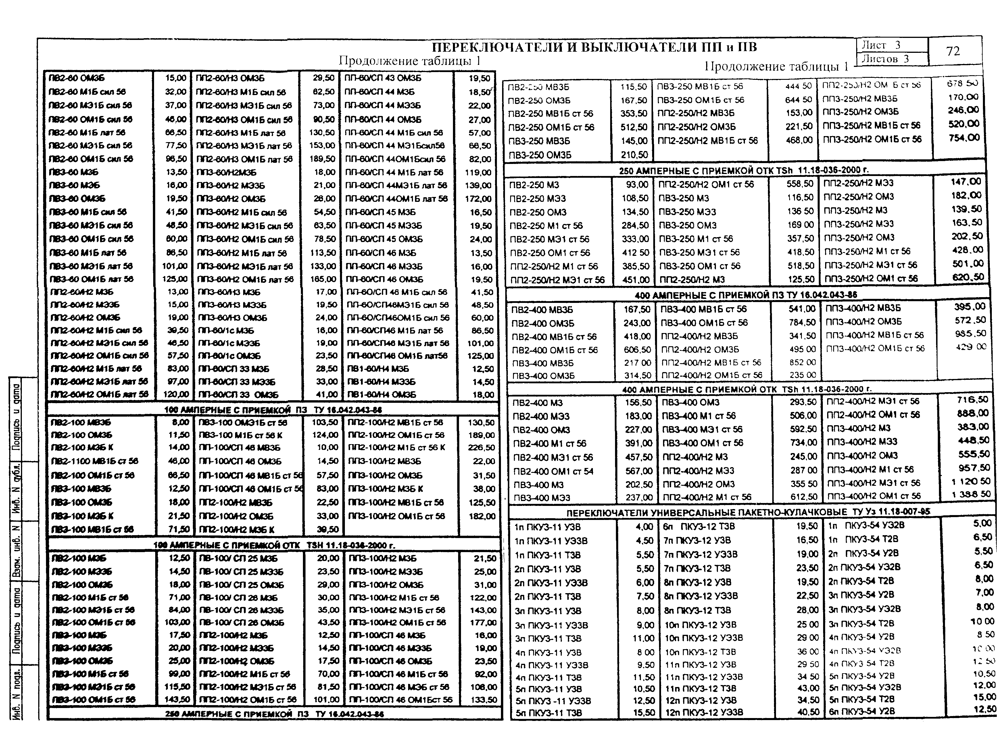
Выключатели (переключатели) неавтоматические, кнопки управления, счетчики электрической энергииОбозначение: | ПО 02.02.08-01 | Обозначение англ: | 02.02.08-01 | Статус: | действует | Название рус.: | Выключатели (переключатели) неавтоматические, кнопки управления, счетчики электрической энергии | Дата добавления в базу: | 01.09.2013 | Дата актуализации: | 05.05.2017 | Дата введения: | 01.01.2001 | Оглавление: | 1. Переключатели ПК 16, ПК 25 2. Переключатели пакетные серии ПВП 17 3. Переключатели пакетные серии ПМО 4. Переключатели пакетные серии МК 5. Переключатели пакетные серии ПМ 6. Выключатели путевые типа ВП-1 7. Выключатели путевые серии ВП 61 8. Выключатели путевые конечные ВПК-2000, ВП-16 9. Выключатели путевые ВПУ 011 10. Выключатели путевые конечные ВПК2010, ВПК2110, ВПК2111, ВПК2112 11. Выключатели путевые ВП15К21Б 12. Выключатели концевые типа ВК 13. Выключатели путевые взрывозащищенные типа ВПВ-1А 14. Выключатели путевые взрывозащищенные типа ВПВ-4М 15. Выключатели путевые взрывозащищенные типа ВСГ 16. Выключатели клавишные ВК 42 17. Выключатели кнопочные серии КЕ 18. Выключатели кнопочные ВК 50 19. Выключатели кнопочные КУ 20. Посты кнопочные ПКУ1 … ПКУ4 21. Посты управления кнопочные ПКЕ, ПКЕ М 22. Посты управления кнопочные ПКУ 15В 23. Посты управления кнопочные взрывозащищенные и рудничные КУ-90 24. Посты управления взрывозащищенные кнопочные типа ПВК 25. Посты управления кнопочные КУ121, КУ122, КУ 123 26. Переключатели универсальные серии УП 5300 27. Микровыключатели МП 1000Л 28. Микровыключатели серии МП 2000Л 29. Микропереключатель взрывозащищенный типа МПВ-1 30. Переключатель малогабаритный низкочастотный типа МПН-1 31. Счетчики электрической энергии индукционные 32. Счетчики электрической энергии электронные 33. Комплексы измерительно-информационные для контроля и учеты энергопотребления типа ЭМОС-МЗЭП 34. Автоматизированная система контроля и учета энергопотребления бытовых потребителей типа АСКУЭ БП 35. Система многотарифного учета электроэнергии с предоплатой 36. Система учета электроэнергии на базе «Полиграф» для промышленных потребителей 37. Система автоматизированного учета потребления энергоресурсов бытовыми потребителями 38. Блоки резисторов и реостаты 39. Переключатели и выключатели пакетные ПП, ПВ 40. Адреса заводов-изготовителей | Разработан: | 31 ГПИ специального строительства Минобороны Координационный центр по ценообразованию и сметному нормированию в строительстве
| Утверждён: | 01.01.2001 31 ГПИ СС Минобороны России
| Расположен в: |
| Заменяет собой: | - ПО 02.02.01.07-97 «Выключатели (переключатели) неавтоматические, кнопки управления, счетчики электрической энергии»
|
                                                                      
|