Информационная система
«Ёшкин Кот»

Скачать базу одним архивом
Скачать обновления
История создания базы
Карта сайта

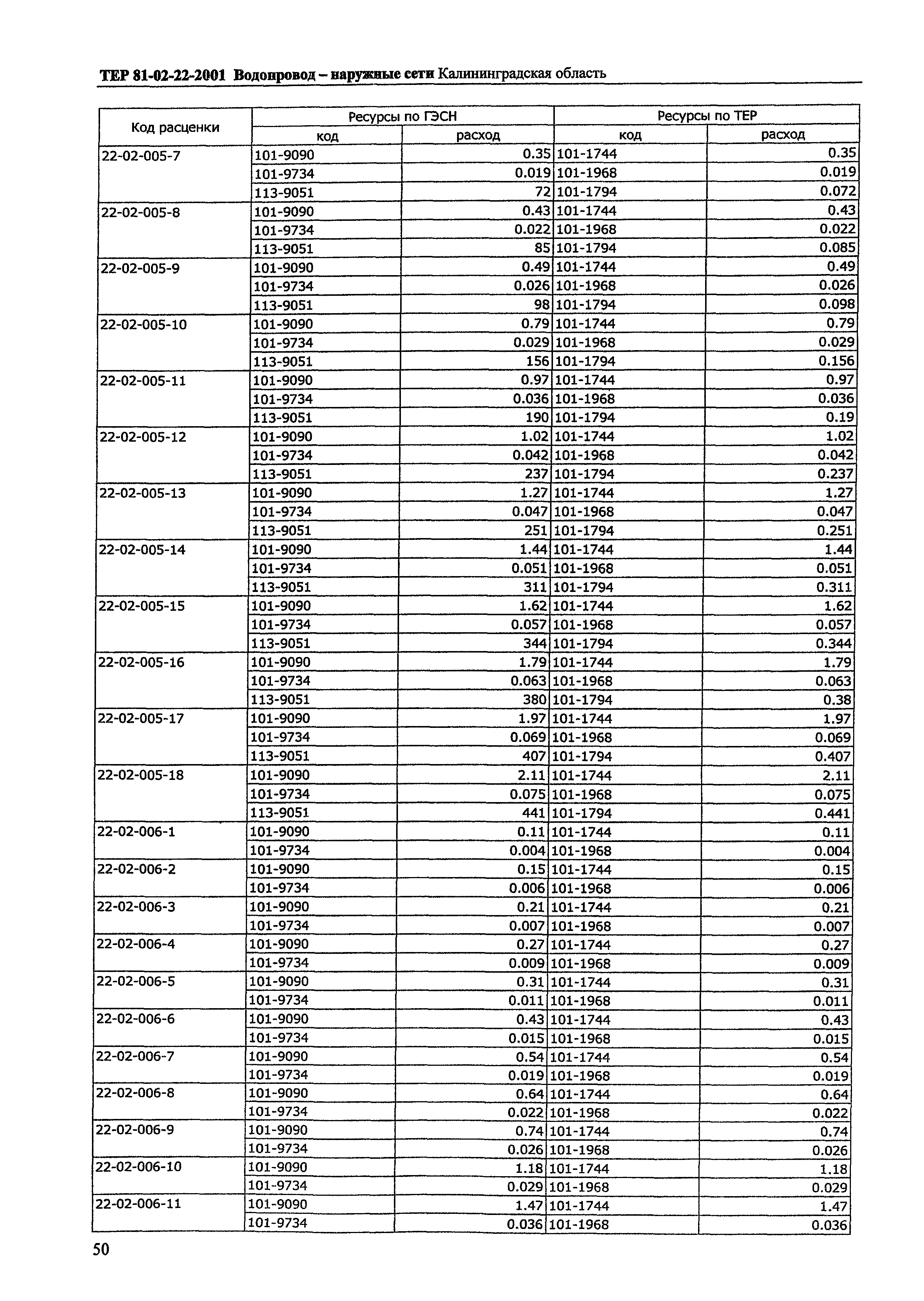
Скачать ТЕР Калининградской области 2001-22 Водопровод - наружные сети. Территориальные единичные расценки на строительные работы в Калининградской области

Дата актуализации: 10.08.2017

ТЕР Калининградской области 2001-22

Водопровод - наружные сети. Территориальные единичные расценки на строительные работы в Калининградской области

Обозначение: ТЕР Калининградской области 2001-22
Обозначение англ: 2001-22
Статус:действует
Название рус.:Водопровод - наружные сети. Территориальные единичные расценки на строительные работы в Калининградской области
Дата добавления в базу:01.09.2013
Дата актуализации:05.05.2017
Дата введения:15.12.2003
Область применения:Предназначены для определения прямых затрат в сметной стоимости строительных работ по строительству наружных сетей водопровода, а также для расчетов за выполненные работы.
Оглавление:Техническая часть
Раздел 01. Укладка трубопроводов
Разработан: Калининградский ОГУ Региональный центр по ценообразованию в строительстве
Утверждён:02.12.2003 Администрация Калининградской области (669)
Издан: Администрация Калининградской области (2004 г. )
Расположен в:Техническая документация Строительство Нормативные документы Нормативные документы субъектов Российской Федерации Нормативные документы Калининградской области Документы Системы нормативных документов в строительстве Нормативные документы по экономике к.81 Ценообразование и сметы Классификатор ISO Нормативные документы по экономике Ценообразование и сметы
Заменяет собой:
  • «Сборник № 22 "Водопровод - наружные сети" единых районных единичных расценок на строительные конструкции и работы "СНиП IV-5-82"»
Нормативные ссылки:
ТЕР Калининградской области 2001-22ТЕР Калининградской области 2001-22ТЕР Калининградской области 2001-22ТЕР Калининградской области 2001-22ТЕР Калининградской области 2001-22ТЕР Калининградской области 2001-22ТЕР Калининградской области 2001-22ТЕР Калининградской области 2001-22ТЕР Калининградской области 2001-22ТЕР Калининградской области 2001-22ТЕР Калининградской области 2001-22ТЕР Калининградской области 2001-22ТЕР Калининградской области 2001-22ТЕР Калининградской области 2001-22ТЕР Калининградской области 2001-22ТЕР Калининградской области 2001-22ТЕР Калининградской области 2001-22ТЕР Калининградской области 2001-22ТЕР Калининградской области 2001-22ТЕР Калининградской области 2001-22ТЕР Калининградской области 2001-22ТЕР Калининградской области 2001-22ТЕР Калининградской области 2001-22ТЕР Калининградской области 2001-22ТЕР Калининградской области 2001-22ТЕР Калининградской области 2001-22ТЕР Калининградской области 2001-22ТЕР Калининградской области 2001-22ТЕР Калининградской области 2001-22ТЕР Калининградской области 2001-22ТЕР Калининградской области 2001-22ТЕР Калининградской области 2001-22ТЕР Калининградской области 2001-22ТЕР Калининградской области 2001-22ТЕР Калининградской области 2001-22ТЕР Калининградской области 2001-22ТЕР Калининградской области 2001-22ТЕР Калининградской области 2001-22ТЕР Калининградской области 2001-22ТЕР Калининградской области 2001-22ТЕР Калининградской области 2001-22ТЕР Калининградской области 2001-22ТЕР Калининградской области 2001-22ТЕР Калининградской области 2001-22ТЕР Калининградской области 2001-22ТЕР Калининградской области 2001-22ТЕР Калининградской области 2001-22ТЕР Калининградской области 2001-22ТЕР Калининградской области 2001-22ТЕР Калининградской области 2001-22ТЕР Калининградской области 2001-22ТЕР Калининградской области 2001-22ТЕР Калининградской области 2001-22ТЕР Калининградской области 2001-22ТЕР Калининградской области 2001-22ТЕР Калининградской области 2001-22ТЕР Калининградской области 2001-22ТЕР Калининградской области 2001-22ТЕР Калининградской области 2001-22ТЕР Калининградской области 2001-22

© 2013 Ёшкин Кот :-) Карта сайта