Информационная система
«Ёшкин Кот»

Скачать базу одним архивом
Скачать обновления
История создания базы
Карта сайта

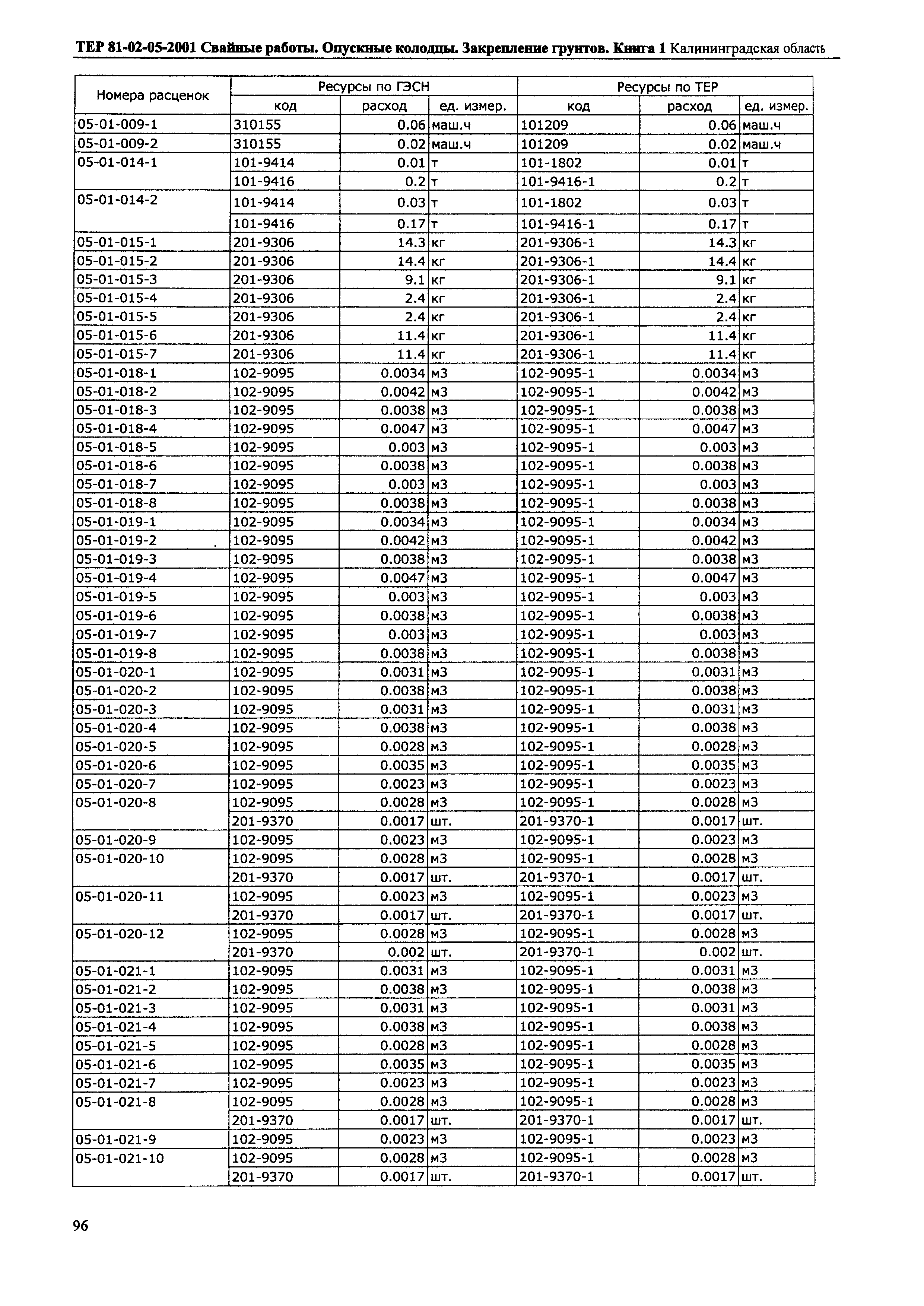
Скачать ТЕР Калининградской области 2001-05 Свайные работы. Опускные колодцы. Закрепление грунтов. Книга 1. Территориальные единичные расценки на строительные работы в Калининградской области

Дата актуализации: 10.08.2017

ТЕР Калининградской области 2001-05

Свайные работы. Опускные колодцы. Закрепление грунтов. Книга 1. Территориальные единичные расценки на строительные работы в Калининградской области

Обозначение: ТЕР Калининградской области 2001-05
Обозначение англ: 2001-05
Статус:действует
Название рус.:Свайные работы. Опускные колодцы. Закрепление грунтов. Книга 1. Территориальные единичные расценки на строительные работы в Калининградской области
Дата добавления в базу:01.09.2013
Дата актуализации:05.05.2017
Дата введения:15.06.2004
Область применения:Предназначены для определения прямых затрат в сметной стоимости строительных работ при выполнении свайных работ при строительстве зданий и сооружений любого назначения на всех видах строительства в условиях выполнения с земли, по сооружению опускных колодцев на всех видах строительства и закреплению грунтов, а также для расчетов за выполненные работы.
Оглавление:Техническая часть
   1 Общие положения
   2 Затраты труда и размер средств на оплату труда
Раздел 01. Свайные работы
   1 Свайные работы, выполняемые с земли
   2 Свайные работы, выполняемые в мерзлых и вечномерзлых грунтах
Раздел 02. Опускные колодцы
Раздел 03. Закрепление грунтов
Приложение 1 Сметные цены и расценки на эксплуатацию строительных машин и автотранспортных средств в базисных ценах Калининградской области по состоянию на 01.01.2000 г.
Приложение 2 Сметные цена на материалы, изделия и конструкции в базисных ценах Калининградской области по состоянию на 01.01.2000 г.
Приложение 3 Таблица замены ресурсов
Разработан: Калининградский ОГУ Региональный центр по ценообразованию в строительстве
Утверждён:21.05.2004 Администрация Калининградской области (236)
Издан: Администрация Калининградской области (2004 г. )
Расположен в:Техническая документация Строительство Нормативные документы Нормативные документы субъектов Российской Федерации Нормативные документы Калининградской области Документы Системы нормативных документов в строительстве Нормативные документы по экономике к.81 Ценообразование и сметы Классификатор ISO Нормативные документы по экономике Ценообразование и сметы
Заменяет собой:
  • «Сборника № 5 "Свайные работы. Закрепление грунтов. Опускные колодцы" единых районных единичных расценок на строительные конструкции и работы "СНИП IV-5-82"»
Нормативные ссылки:
ТЕР Калининградской области 2001-05ТЕР Калининградской области 2001-05ТЕР Калининградской области 2001-05ТЕР Калининградской области 2001-05ТЕР Калининградской области 2001-05ТЕР Калининградской области 2001-05ТЕР Калининградской области 2001-05ТЕР Калининградской области 2001-05ТЕР Калининградской области 2001-05ТЕР Калининградской области 2001-05ТЕР Калининградской области 2001-05ТЕР Калининградской области 2001-05ТЕР Калининградской области 2001-05ТЕР Калининградской области 2001-05ТЕР Калининградской области 2001-05ТЕР Калининградской области 2001-05ТЕР Калининградской области 2001-05ТЕР Калининградской области 2001-05ТЕР Калининградской области 2001-05ТЕР Калининградской области 2001-05ТЕР Калининградской области 2001-05ТЕР Калининградской области 2001-05ТЕР Калининградской области 2001-05ТЕР Калининградской области 2001-05ТЕР Калининградской области 2001-05ТЕР Калининградской области 2001-05ТЕР Калининградской области 2001-05ТЕР Калининградской области 2001-05ТЕР Калининградской области 2001-05ТЕР Калининградской области 2001-05ТЕР Калининградской области 2001-05ТЕР Калининградской области 2001-05ТЕР Калининградской области 2001-05ТЕР Калининградской области 2001-05ТЕР Калининградской области 2001-05ТЕР Калининградской области 2001-05ТЕР Калининградской области 2001-05ТЕР Калининградской области 2001-05ТЕР Калининградской области 2001-05ТЕР Калининградской области 2001-05ТЕР Калининградской области 2001-05ТЕР Калининградской области 2001-05ТЕР Калининградской области 2001-05ТЕР Калининградской области 2001-05ТЕР Калининградской области 2001-05ТЕР Калининградской области 2001-05ТЕР Калининградской области 2001-05ТЕР Калининградской области 2001-05ТЕР Калининградской области 2001-05ТЕР Калининградской области 2001-05ТЕР Калининградской области 2001-05ТЕР Калининградской области 2001-05ТЕР Калининградской области 2001-05ТЕР Калининградской области 2001-05ТЕР Калининградской области 2001-05ТЕР Калининградской области 2001-05ТЕР Калининградской области 2001-05ТЕР Калининградской области 2001-05ТЕР Калининградской области 2001-05ТЕР Калининградской области 2001-05ТЕР Калининградской области 2001-05ТЕР Калининградской области 2001-05ТЕР Калининградской области 2001-05ТЕР Калининградской области 2001-05ТЕР Калининградской области 2001-05ТЕР Калининградской области 2001-05ТЕР Калининградской области 2001-05ТЕР Калининградской области 2001-05ТЕР Калининградской области 2001-05ТЕР Калининградской области 2001-05ТЕР Калининградской области 2001-05ТЕР Калининградской области 2001-05ТЕР Калининградской области 2001-05ТЕР Калининградской области 2001-05ТЕР Калининградской области 2001-05ТЕР Калининградской области 2001-05ТЕР Калининградской области 2001-05ТЕР Калининградской области 2001-05ТЕР Калининградской области 2001-05ТЕР Калининградской области 2001-05ТЕР Калининградской области 2001-05ТЕР Калининградской области 2001-05ТЕР Калининградской области 2001-05ТЕР Калининградской области 2001-05ТЕР Калининградской области 2001-05ТЕР Калининградской области 2001-05ТЕР Калининградской области 2001-05ТЕР Калининградской области 2001-05ТЕР Калининградской области 2001-05ТЕР Калининградской области 2001-05ТЕР Калининградской области 2001-05ТЕР Калининградской области 2001-05ТЕР Калининградской области 2001-05ТЕР Калининградской области 2001-05ТЕР Калининградской области 2001-05ТЕР Калининградской области 2001-05ТЕР Калининградской области 2001-05ТЕР Калининградской области 2001-05ТЕР Калининградской области 2001-05ТЕР Калининградской области 2001-05ТЕР Калининградской области 2001-05ТЕР Калининградской области 2001-05ТЕР Калининградской области 2001-05ТЕР Калининградской области 2001-05ТЕР Калининградской области 2001-05ТЕР Калининградской области 2001-05ТЕР Калининградской области 2001-05ТЕР Калининградской области 2001-05ТЕР Калининградской области 2001-05ТЕР Калининградской области 2001-05ТЕР Калининградской области 2001-05ТЕР Калининградской области 2001-05ТЕР Калининградской области 2001-05ТЕР Калининградской области 2001-05ТЕР Калининградской области 2001-05ТЕР Калининградской области 2001-05ТЕР Калининградской области 2001-05ТЕР Калининградской области 2001-05ТЕР Калининградской области 2001-05

© 2013 Ёшкин Кот :-) Карта сайта