Скачать ТСЦ Белгородская область 81-01-2001 Часть I. Материалы для общестроительных работ. Территориальный сборник средних сметных цен на материалы, изделия и конструкции, применяемые в Белгородской областиДата актуализации: 10.08.2017 ТСЦ Белгородская область 81-01-2001
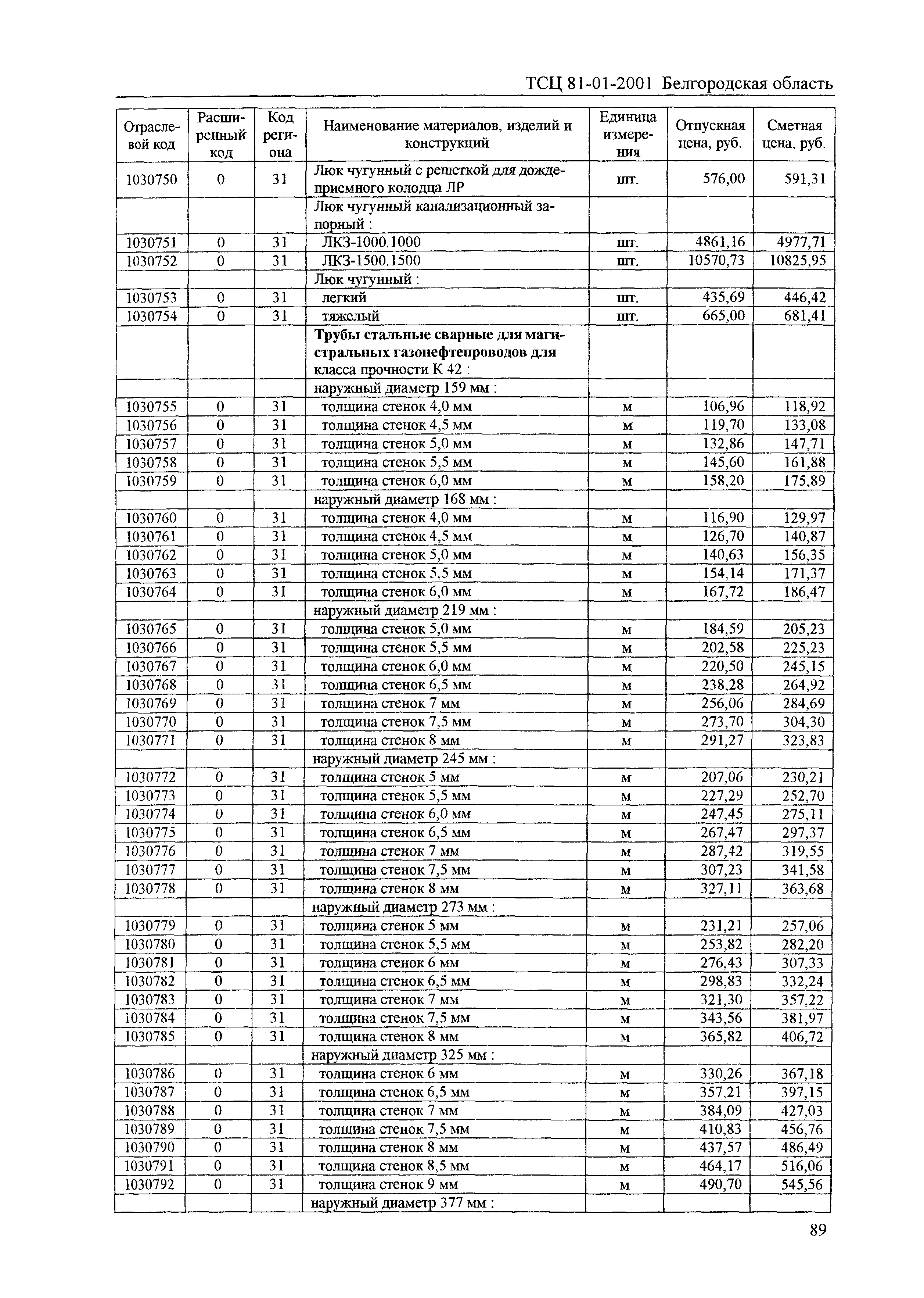
Часть I. Материалы для общестроительных работ. Территориальный сборник средних сметных цен на материалы, изделия и конструкции, применяемые в Белгородской областиОбозначение: | ТСЦ Белгородская область 81-01-2001 | Обозначение англ: | 81-01-2001 | Статус: | действует | Название рус.: | Часть I. Материалы для общестроительных работ. Территориальный сборник средних сметных цен на материалы, изделия и конструкции, применяемые в Белгородской области | Дата добавления в базу: | 01.09.2013 | Дата актуализации: | 05.05.2017 | Оглавление: | Раздел 1 Материалы для общестроительных работ Раздел 2 Лесоматериалы Раздел 3 Трубы стальные, чугунные, асбестоцементные, керамические и пульпопроводные Раздел 4 Материалы для теплоизоляционных работ Раздел 5 Материалы верхнего строения пути железных дорог широкой колеи Раздел 6 Материалы верхнего строения пути железных дорог узкой колеи Раздел 7 Материалы верхнего строения трамвайных путей Раздел 8 Материалы и изделия для строительства метрополитенов и тоннелей Раздел 9 Маетриалы для горнопроходческих работ Раздел 10 Материалы для сооружения связи Раздел 11 Материалы для строительства сигнализации, централизации, автоблокировки и электрификации железных дорог Раздел 12 Материалы для взрывных общестроительных и горнопроходческих работ Раздел 13 Материалы для антикоррозионных защитных покрытий Раздел 14 Материалы для удобрения и химические средства защиты растений Раздел 15 Огнеупорные материалы и изделия | Разработан: | Департамент строительства и транспорта правительства администрации Белгородской области
| Утверждён: | 21.06.2003 Администрация Белгородской области (17)
| Издан: | Администрация Белгородской области (2003 г. )
| Расположен в: |
|
                                                                                                                        
|