Информационная система
«Ёшкин Кот»

Скачать базу одним архивом
Скачать обновления
История создания базы
Карта сайта

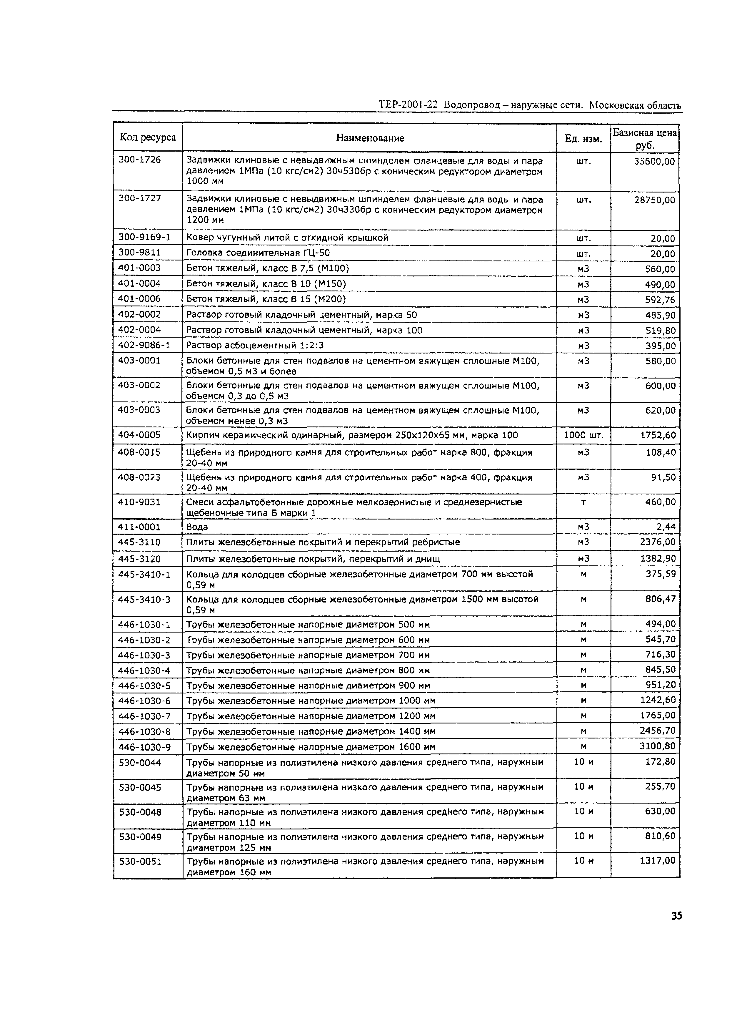
Скачать ТЕР 2001-22 Московской области Водопровод - наружные сети. Территориальные единичные расценки для определения стоимости строительства в Московской области

Дата актуализации: 10.08.2017

ТЕР 2001-22 Московской области

Водопровод - наружные сети. Территориальные единичные расценки для определения стоимости строительства в Московской области

Обозначение: ТЕР 2001-22 Московской области
Обозначение англ: TER 2001-22 Московской области
Статус:действует
Название рус.:Водопровод - наружные сети. Территориальные единичные расценки для определения стоимости строительства в Московской области
Дата добавления в базу:01.09.2013
Дата актуализации:05.05.2017
Область применения:Предназначены для определения прямых затрат в сметной стоимости строительных работ, выполняемых при строительстве наружных сетей водопровода, а также для расчетов за выполненные работы.
Оглавление:Техническая часть
1. Общие указания
2. Правила исчисления объемов работ
3. Коэффициенты к расценкам
Таблица 22-01-001 Укладка асбестоцементных водопроводных труб с соединением при помощи асбестоцементных муфт
Таблица 22-01-002 Укладка асбестоцементных водопроводных труб с соединением труб чугунными муфтами
Таблица 22-01-006 Укладка водопроводных чугунных напорных раструбных труб при заделке раструбов асбестоцементом
Таблица 22-01-007 Укладка водопроводных чугунных напорных труб с заделкой раструбов резиновыми уплотнительными манжетами
Таблица 22-01-011 Укладка стальных водопроводных трубе гидравлическим испытанием
Таблица 22-01-012 Укладка стальных водопроводных труб с пневматическим испытанием
Таблица 22-01-017 Укладка железобетонных напорных труб
Таблица 22-01-021 Укладка трубопроводов из полиэтиленовых труб
Таблица 22-02-001 Нанесение нормальной антикоррозионной битумно-резиновой или битумно-полимерной изоляции на стальные трубопроводы
Таблица 22-02-002 Нанесение усиленной антикоррозионной битумно-резиновой или битумно-полимерной изоляции на стальные трубопроводы
Таблица 22-02-003 Нанесение весьма усиленной антикоррозионной битумно-резиновой или битумно-полимерной изоляции на стальные трубопроводы
Таблица 22-02-004 Нанесение нормальной антикоррозионной битумно-резиновой или битумно-полимерной изоляции на стыки и фасонные части стальных трубопроводов
Таблица 22-02-005 Нанесение усиленной антикоррозионной битумно-резиновой или битумно-полимерной изоляции на стыки и фасонные части стальных трубопроводов
Таблица 22-02-006 Нанесение весьма усиленной антикоррозионной битумно-резиновой или битумно-полимерной изоляции на стыки и фасонные части стальных трубопроводов
Таблица 22-02-007 Нанесение изоляции стальных трубопроводов диаметром более 1200 мм
Таблица 22-02-008 Нанесение нормальной антикоррозионной изоляции из полимерных липких лент на стальные трубопроводы
Таблица 22-02-009 Нанесение усиленной антикоррозионной изоляции из полимерных липких лент на стальные трубопроводы
Таблица 22-02-010 Нанесение весьма усиленной антикоррозионной изоляции из полимерных липких лент на стальные трубопроводы
Таблица 22-02-011 Нанесение нормальной антикоррозионной изоляции из полимерных липких лент на стыки и фасонные части стальных трубопроводов
Таблица 22-02-012 Нанесение усиленной антикоррозионной изоляции из полимерных липких лент на стыки и фасонные части стальных трубопроводов
Таблица 22-02-013 Нанесение весьма усиленной антикоррозионной изоляции из полимерных липких лент на стыках и фасонные части стальных трубопроводов
Таблица 22-03-001 Установка фасонных частей
Таблица 22-03-002 Установка полиэтиленовых фасонных частей
Таблица 22-03-006 Установка задвижек или клапанов обратных чугунных
Таблица 22-03-007 Установка задвижек или клапанов обратных стальных
Таблица 22-03-011 Установка ванту зов, гидрантов, колонок
Таблица 22-03-014 Приварка фланцев к стальным трубопроводам
Таблица 22-04-001 Устройство круглых колодцев из сборного железобетона
Таблица 22-04-002 Устройство водопроводных кирпичных колодцев
Таблица 22-04-003 Устройство водопроводных бетонных колодцев с монолитными стенами и покрытием из сборного железобетона
Таблица 22-04-004 Установка путевых водоразборных кранов
Таблица 22-05-001 Продавливание с разработкой грунта вручную
Таблица 22-05-002 Продавливание без разработки грунта (прокол)
Таблица 22-05-003 Протаскивание в футляр стальных труб
Таблица 22-05-004 Заделка битумом и прядью концов футляра
Таблица 22-06-001 Промывка с дезинфекцией трубопроводов
Таблица 22-06-002 Промывка без дезинфекции трубопроводов
Таблица 22-06-005 Врезка в существующие сети из стальных труб стальных штуцеров (патрубков)
Таблица 22-06-006 Врезка в существующие сети из чугунных труб чугунных тройников
Таблица 22-06-011 Подвешивание подземных коммуникаций при пересечении их трассой трубопровода
Таблица 22-06-012 Устройство постоянных бетонных упоров на трубопроводе
Приложение. Сборник сметных расценок на эксплуатацию строительных машин и сметных цен на материалы, изделия и конструкции (в базисных ценах Московской области по состоянию на 01.01.2000)
Затраты труда рабочих-строителей
Эксплуатация строительных машин
Сметные цены на материальные ресурсы
Разработан: Мособлгосэкспертиза
ООО ИНАС
Утверждён:04.11.2002 Минмособлстрой (Minmosoblstroy 176)
13.04.1998 Правительство Московской области (Government of the Moscow Region 38/11)
Издан: Минмособлстрой (2002 г. )
Расположен в:Техническая документация Экология СТРОИТЕЛЬНЫЕ МАТЕРИАЛЫ И СТРОИТЕЛЬСТВО Строительная промышленность Стоимость строительства и обслуживания зданий и сооружений -50 Стоимость строительных и строительно-монтажных работ Строительство Нормативные документы Нормативные документы субъектов Российской Федерации Нормативные документы Московской области Документы Системы нормативных документов в строительстве Нормативные документы по экономике к.81 Ценообразование и сметы Классификатор ISO Нормативные документы по экономике Ценообразование и сметы
ТЕР 2001-22 Московской областиТЕР 2001-22 Московской областиТЕР 2001-22 Московской областиТЕР 2001-22 Московской областиТЕР 2001-22 Московской областиТЕР 2001-22 Московской областиТЕР 2001-22 Московской областиТЕР 2001-22 Московской областиТЕР 2001-22 Московской областиТЕР 2001-22 Московской областиТЕР 2001-22 Московской областиТЕР 2001-22 Московской областиТЕР 2001-22 Московской областиТЕР 2001-22 Московской областиТЕР 2001-22 Московской областиТЕР 2001-22 Московской областиТЕР 2001-22 Московской областиТЕР 2001-22 Московской областиТЕР 2001-22 Московской областиТЕР 2001-22 Московской областиТЕР 2001-22 Московской областиТЕР 2001-22 Московской областиТЕР 2001-22 Московской областиТЕР 2001-22 Московской областиТЕР 2001-22 Московской областиТЕР 2001-22 Московской областиТЕР 2001-22 Московской областиТЕР 2001-22 Московской областиТЕР 2001-22 Московской областиТЕР 2001-22 Московской областиТЕР 2001-22 Московской областиТЕР 2001-22 Московской областиТЕР 2001-22 Московской областиТЕР 2001-22 Московской областиТЕР 2001-22 Московской областиТЕР 2001-22 Московской областиТЕР 2001-22 Московской областиТЕР 2001-22 Московской областиТЕР 2001-22 Московской областиТЕР 2001-22 Московской областиТЕР 2001-22 Московской областиТЕР 2001-22 Московской областиТЕР 2001-22 Московской областиТЕР 2001-22 Московской областиТЕР 2001-22 Московской областиТЕР 2001-22 Московской областиТЕР 2001-22 Московской областиТЕР 2001-22 Московской областиТЕР 2001-22 Московской областиТЕР 2001-22 Московской областиТЕР 2001-22 Московской областиТЕР 2001-22 Московской областиТЕР 2001-22 Московской областиТЕР 2001-22 Московской областиТЕР 2001-22 Московской областиТЕР 2001-22 Московской областиТЕР 2001-22 Московской областиТЕР 2001-22 Московской областиТЕР 2001-22 Московской областиТЕР 2001-22 Московской областиТЕР 2001-22 Московской областиТЕР 2001-22 Московской областиТЕР 2001-22 Московской областиТЕР 2001-22 Московской области

© 2013 Ёшкин Кот :-) Карта сайта