Скачать ТЕР 2001-15 Московской области Отделочные работы. Территориальные единичные расценки для определения стоимости строительства в Московской областиДата актуализации: 10.08.2017 ТЕР 2001-15 Московской области
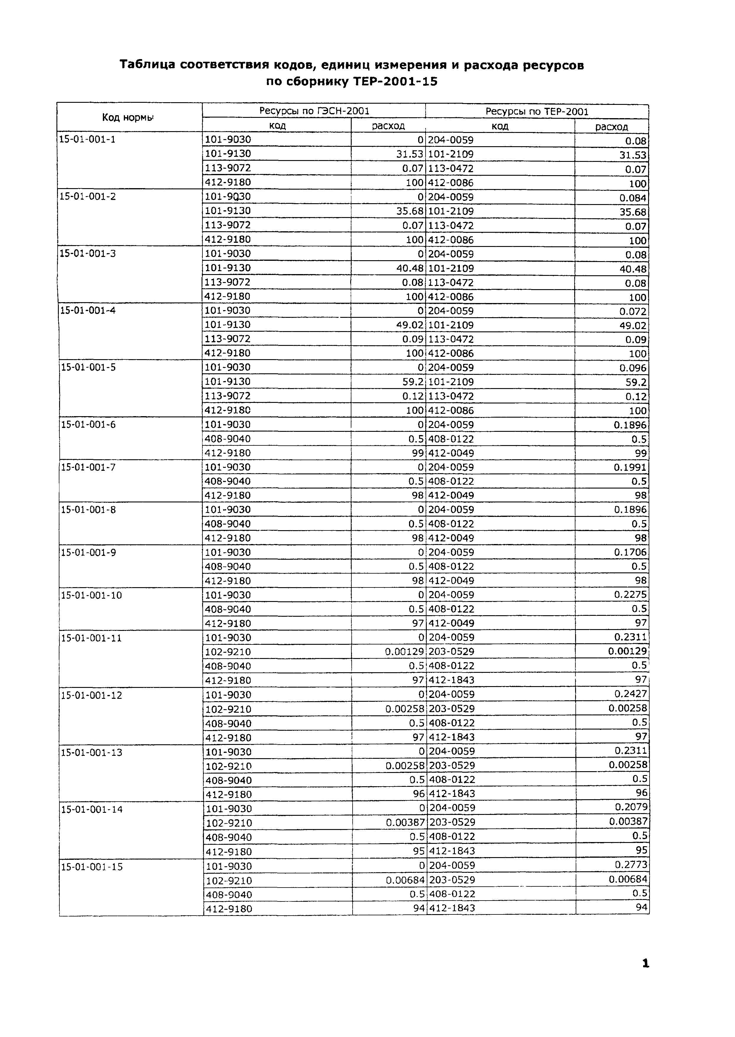
Отделочные работы. Территориальные единичные расценки для определения стоимости строительства в Московской областиОбозначение: | ТЕР 2001-15 Московской области | Обозначение англ: | TER 2001-15 Московской области | Статус: | действует | Название рус.: | Отделочные работы. Территориальные единичные расценки для определения стоимости строительства в Московской области | Дата добавления в базу: | 01.09.2013 | Дата актуализации: | 05.05.2017 | Область применения: | Предназначены для определения прямых затрат в сметной стоимости строительных работ при выполнении отделочных работ, а также для расчетов за выполненные работы. | Оглавление: | Техническая часть 1. Общие указания 2. Правила исчисления объемов работ 3. Коэффициенты к расценкам Таблица 15-01-001 Облицовка стен гранитными плитами Таблица 15-01-002 Облицовка стен плитами из известняка, мрамора и травертина Таблица 15-01-003 Облицовка гранитными плитами Таблица 15-01-004 Облицовка плитами из известняка, мрамора и травертина Таблица 15-01-005 На каждые 10 мм изменения толщины плит при облицовке стен и колонн добавлять или исключать Таблица 15-01-006 При облицовке поверхностей природным камнем с прокладкой в горизонтальных швах свинца добавлять Таблица 15-01-007 Облицовка поверхностей линейными полированными фасонными камнями Таблица 15-01-008 Облицовка поверхностей линейными чистотесанными фасонными камнями Таблица 15-01-009 Облицовка поверхностей полированными плитами толщиной 10 мм Таблица 15-01-010 Облицовка мрамором ступеней к укладка мраморных плит Таблица 15-01-016 Наружная облицовка по бетонной поверхности керамическими отдельными плитками Таблица 15-01-017 Наружная облицовка по бетонной поверхности фасадными керамическими цветными плитками (типа "кабанчик") на цементном растворе Таблица 15-01-018 Наружная облицовка по бетонной поверхности коврами из мелких керамических плиток на полимерцементной мастике Таблица 15-01-019 Гладкая облицовка стен, столбов, пилястр и откосов (без карнизных, плинтусных и угловых плиток) Таблица 15-01-020 Облицовка поверхностей с карнизными, плинтусными и угловыми плитками Таблица 15-01-021 Устройство основания под облицовку искусственным мрамором Таблица 15-01-022 Облицовка оселковым мрамором стен, столбов, колонии пилястр Таблица 15-01-023 Облицовка оселковым мрамором откосов, тяг, поясков, плинтусов и капителей Таблица 15-01-024 Облицовка утюжным мрамором стен, столбов, колонн и пилястр Таблица 15-01-025 Облицовка утюжным мрамором откосов, тяг. поясков, плинтусов и капителей Таблица 15-01-031 Облицовка стен полированными плитами Таблица 15-01-032 Облицовка полированными плитами колонн Таблица 15-01-033 Облицовка плитами толщиной до 40 мм из туфа, известняка и ракушечника стен, пилястр, откосов, проемов Таблица 15-01-034 Облицовка плитами толщиной до 40 мм из туфа, известняка и ракушечника колонн Таблица 15-01-035 Устройство полов из полированных плит различной формы Таблица 15-01-036 Облицовка арок полированными плитами Таблица 15-01-037 Облицовка крышки парапета гранитными полированными плитами толщиной 40-60 мм Таблица 15-01-038 Облицовка ступеней гранитными плитами Таблица 15-01-039 Установка цельных гранитных ступеней толщиной 150 мм Таблица 15-01-040 Устройство полов гладких или орнаментированных из полированных плит Таблица 15-01-041 Облицовка пилястр, откосов полированными плитами из мрамора Таблица 15-01-047 Облицовка потолков декоративными плитами с установкой каркасов Таблица 15-01-048 Облицовка доломитовыми плитами стен, колонн, пилястр и откосов Таблица 15-01-049 Облицовка стен по готовому каркасу щитами-картинами из древесностружечных плит (ДСП) Таблица 15-01-050 Облицовка стен и откосов декоративным бумажно-слоистым пластиком или листами из синтетических материалов Таблица 15-02-001 Улучшенная штукатурка цементно-известковым раствором по камню Таблица 15-02-002 Высококачественная штукатурка цементно-известковым раствором по камню стен, колонн, пилястр Таблица 15-02-003 Высококачественная штукатурка цементно-известковым раствором по камню откосов Таблица 15-02-004 Высококачественная штукатурка цементно-известковым раствором по камню карнизов, тяг, наличников Таблица 15-02-005 Высококачественная штукатурка декоративным раствором по камню стен, колонн, пилястр Таблица 15-02-006 Высококачественная штукатурка декоративным раствором по камню откосов Таблица 15-02-007 Высококачественная штукатурка декоративным раствором по камню карнизов, тяг, наличников Таблица 15-02-008 Фактурная отделка фасадов мраморной крошкой Таблица 15-02-009 Фактурная отделка фасадов стеклянной крошкой Таблица 15-02-015 Штукатурка поверхностей известковым раствором Таблица 15-02-016 Оштукатуривание поверхностей цементно-известковым или цементным раствором по камню и бетону Таблица 15-02-017 Оштукатуривание внутренних поверхностей наружных стен известковым раствором по камню и бетону (когда остальные поверхности не оштукатуриваются) Таблица 15-02-018 Оштукатуривание внутренних поверхностей наружных стен цементно-известковым или цементным раствором по камню и бетону (когда остальные поверхности не оштукатуриваются) Таблица 15-02-019 Сплошное выравнивание бетонных поверхностей (однослойная штукатурка) известковым раствором Таблица 15-02-020 Оштукатуривание цементно-церезитовое по камню и бетону Таблица 15-02-021 Оштукатуривание рентгенозащитным раствором Таблица 15-02-022 Оштукатуривание прямоугольных кессонов площадью проекции до 12 м2 по ребристому железобетонному перекрытию Таблица 15-02-023 Оштукатуривание прямоугольных кессонов площадью проекции более 12 м2 по ребристому железобетонному перекрытию Таблица 15-02-024 Облицовка листами сухой штукатурки Таблица 15-02-025 Обработка швов сухой штукатурки Таблица 15-02-031 Оштукатуривание отдельных мест Таблица 15-02-032 Устройство наличников тянутых Таблица 15-02-033 Обивка поверхностей Таблица 15-02-034 Оштукатуривание лестничных маршей и площадок Таблица 15-02-035 Отделка поверхностей из сборных элементов и плит под окраску или оклейку обоями Таблица 15-02-036 Оштукатуривание по сетке без устройства каркаса Таблица 15-02-037 Устройство каркаса Таблица 15-02-038 Механизированная отделка поверхности под мелкозернистую фактуру шагрень Таблица 15-03-001 Установка гипсовых погонных деталей орнаментированных плоских, выпуклых, рельефных, простого или сложного рисунка (порезки, пояса, фриза, капли и т.п.) Таблица 15-03-002 Установка гипсовых штучных розеток (кессонных, потолочных круглых, многогранных простого, среднего и сложного рисунков) Таблица 15-03-003 Установка на колоннах гипсовых штучных деталей Таблица 15-03-004 Установка гипсовых штучных деталей Таблица 15-03-005 Установка цементных деталей погонных орнаментированных плоских, выпуклых и рельефных простого или сложного рисунка Таблица 15-03-006 Установка цементных штучных деталей (розеток кессонных, балясин) Таблица 15-03-007 Установка цементных деталей (капителей, баз, шишек, сухарей, кронштейнов и модульонов) Таблица 15-03-008 Установка цементных деталей (ваз, гербов) Таблица 15-04-001 Окраска клеевыми и казеиновыми составами внутри помещений Таблица 15-04-002 Окраска известковыми и силикатными составами внутри помещений Таблица 15-04-003 Силикатная окраска деревянных сегментных ферм (со всех сторон за 2 раза) Таблица 15-04-004 Разделка поверхности по клеевой окраске Таблица 15-04-005 Окраска поливинилацетатными водоэмульсионными составами Таблица 15-04-011 Окраска фасадов с лесов с подготовкой поверхности известковыми, силикатными и цементными составами Таблица 15-04-012 Окраска фасадов с лесов с подготовкой поверхности перхлорвиниловыми, кремнийорганическими и поливинилацетатными составами Таблица 15-04-013 Окраска фасадов с лесов по подготовленной поверхности известковыми, силикатными и цементными составами Таблица 15-04-014 Окраска фасадов с лесов по подготовленной поверхности перхлорвиниловыми, кремнийорганическими и поливинилацетатными составами Таблица 15-04-015 Окраска фасадов с люлек с подготовкой поверхности известковыми, силикатными и цементными составами Таблица 15-04-016 Окраска фасадов с люлек с подготовкой поверхности перхлорвиниловыми, кремнийорганическими и поливинилацетатными составами Таблица 15-04-017 Окраска фасадов с люлек по подготовленной поверхности известковыми, силикатными и цементными составами Таблица 15-04-018 Окраска фасадов с люлек по подготовленной поверхности перхлорвиниловыми, кремнийорганическими и поливинилацетатными составами Таблица 15-04-024 Простая окраска масляными составами Таблица 15-04-025 Улучшенная окраска масляными составами Таблица 15-04-026 Высококачественная окраска масляными составами Таблица 15-04-027 Третья шпатлевка при высококачественной окраске Таблица 15-04-028 Рядовая разделка с последующей лессировкой окрашиваемой поверхности Таблица 15-04-029 Покрытие полов лаком и оклейка тканями Таблица 15-04-030 Масляная окраска металлических поверхностей и трубопроводов по изоляции Таблица 15-04-031 Окраска кровли суриком Таблица 15-04-032 Окраска суриком стальных обделок на фасадах Таблица 15-04-038 Окраска эмалевыми составами, покрытие масляными и спиртовыми лаками Таблица 15-04-039 Покрытие масляными или спиртовыми лаками по проолифленной поверхности Таблица 15-04-040 Окраска по металлу за 1 раз Таблица 15-04-041 Окраска по металлу за 2 раза Таблица 15-04-047 Декоративная отделка поверхностей Таблица 15-04-048 Отделка поверхностей мелкозернистыми декоративными покрытиям и из минеральных или полимерминеральных пастовых составов на латексной основе Таблица 15-05-001 Остекление оконным стеклом Таблица 15-05-002 Остекление стеклом Таблица 15-05-003 Остекление оконным стеклом толщиной 4 мм Таблица 15-05-004 Тройное остекление деревянных переплетов Таблица 15-05-005 Тройное остекление деревянных переплетов в жилых и общественных зданиях Таблица 15-05-006 Остекление дверных одинарных полотен при толщине стекла свыше 4 мм до 6 мм Таблица 15-05-012 Остекление деревянных переплетов промышленных зданий Таблица 15-05-013 Остекление промышленных зданий стальных переплетов Таблица 15-05-019 Остекление оконных переплетов Таблица 15-05-020 Остекление перегородок Таблица 15-05-021 Остекление в построечных условиях металлических переплетов двухслойными стеклопакетами Таблица 15-05-022 Остекление профильным стеклом зенитных фонарей Таблица 15-06-001 Оклейка обоями Таблица 15-06-002 Оклейка стен моющимися обоями Таблица 15-06-003 Оклейка стен поливинилхлоридной декоративно-отделочной самоклеющейся пленкой Приложение Сборник сметных расценок на эксплуатацию строительных машин и сметных цен на материалы, изделия и конструкции (в базисных ценах московской области по состоянию на 01.01.2000) Затраты труда рабочих-строителей Эксплуатация строительных машин Сметные цены на материальные ресурсы | Разработан: | Мособлгосэкспертиза ООО ИНАС
| Утверждён: | 04.11.2002 Минмособлстрой (Minmosoblstroy 176) 13.04.1998 Правительство Московской области (Government of the Moscow Region 38/11)
| Издан: | Минмособлстрой (2002 г. )
| Расположен в: |
|
                                                                           
|