Информационная система
«Ёшкин Кот»

Скачать базу одним архивом
Скачать обновления
История создания базы
Карта сайта

Скачать Часть 2. Строительные конструкции и детали

Дата актуализации: 10.08.2017

Часть 2. Строительные конструкции и детали

Статус:действует
Название рус.:Часть 2. Строительные конструкции и детали
Дата добавления в базу:01.09.2013
Дата актуализации:05.05.2017
Дата введения:13.05.2003
Оглавление:Общие указания по применению сборника средних сметных цен на материалы, изделия и конструкции для применения в Московской области по состоянию на 1 января 2000 года
   2.1 Строительные конструкции и изделия
   2.2 Деревянные конструкции и детали
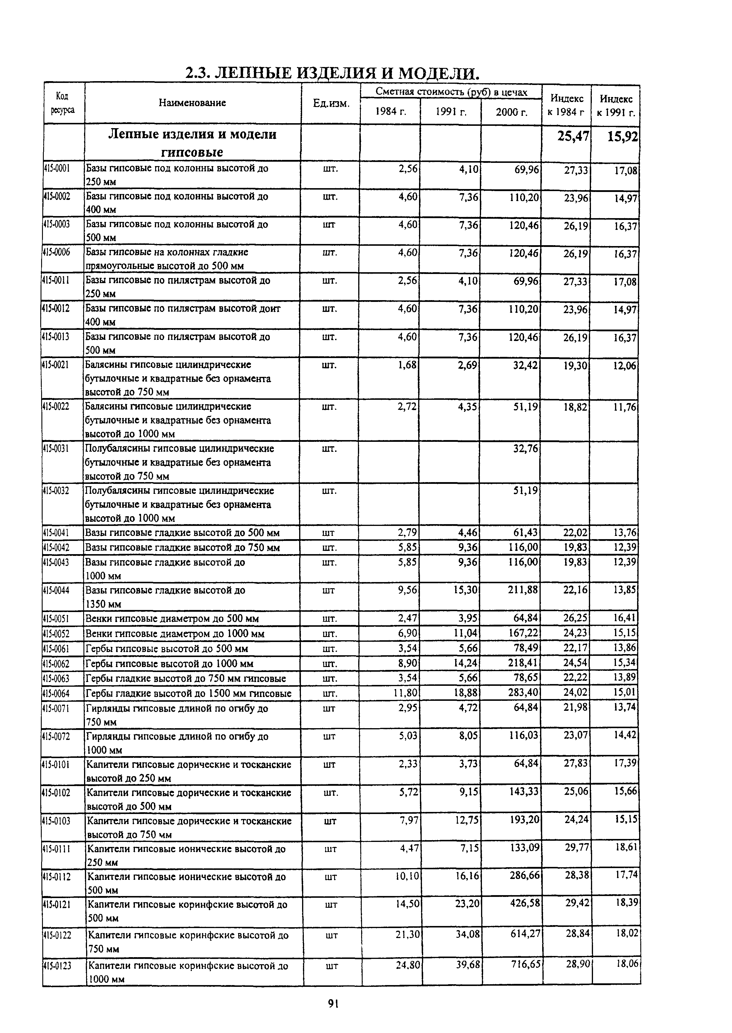
   2.3 Лепные изделия и модели
   2.4 Товарная арматура, детали анкерные, закладные и накладные
   2.5 Алюминиевые конструкции
Разработан: Мособлгосэкспертиза
Утверждён:13.05.2003 Мособлгосэкспертиза (5)
Издан: Мособлгосэкспертиза (2003 г. )
Расположен в:Техническая документация Экология СТРОИТЕЛЬНЫЕ МАТЕРИАЛЫ И СТРОИТЕЛЬСТВО Строительная промышленность Стоимость строительства и обслуживания зданий и сооружений -50 Стоимость строительных и строительно-монтажных работ Строительство Нормативные документы Нормативные документы субъектов Российской Федерации Нормативные документы Московской области
Список изменений:
  • № 1 (Мособлгосэкспертиза)
Нормативные ссылки:

Текстовое изменение № 1

№ 1№ 1№ 1№ 1№ 1№ 1№ 1№ 1№ 1№ 1№ 1№ 1№ 1№ 1№ 1№ 1№ 1

© 2013 Ёшкин Кот :-) Карта сайта