Информационная система
«Ёшкин Кот»

Скачать базу одним архивом
Скачать обновления
История создания базы
Карта сайта

Скачать Часть 1. Строительные материалы

Дата актуализации: 10.08.2017

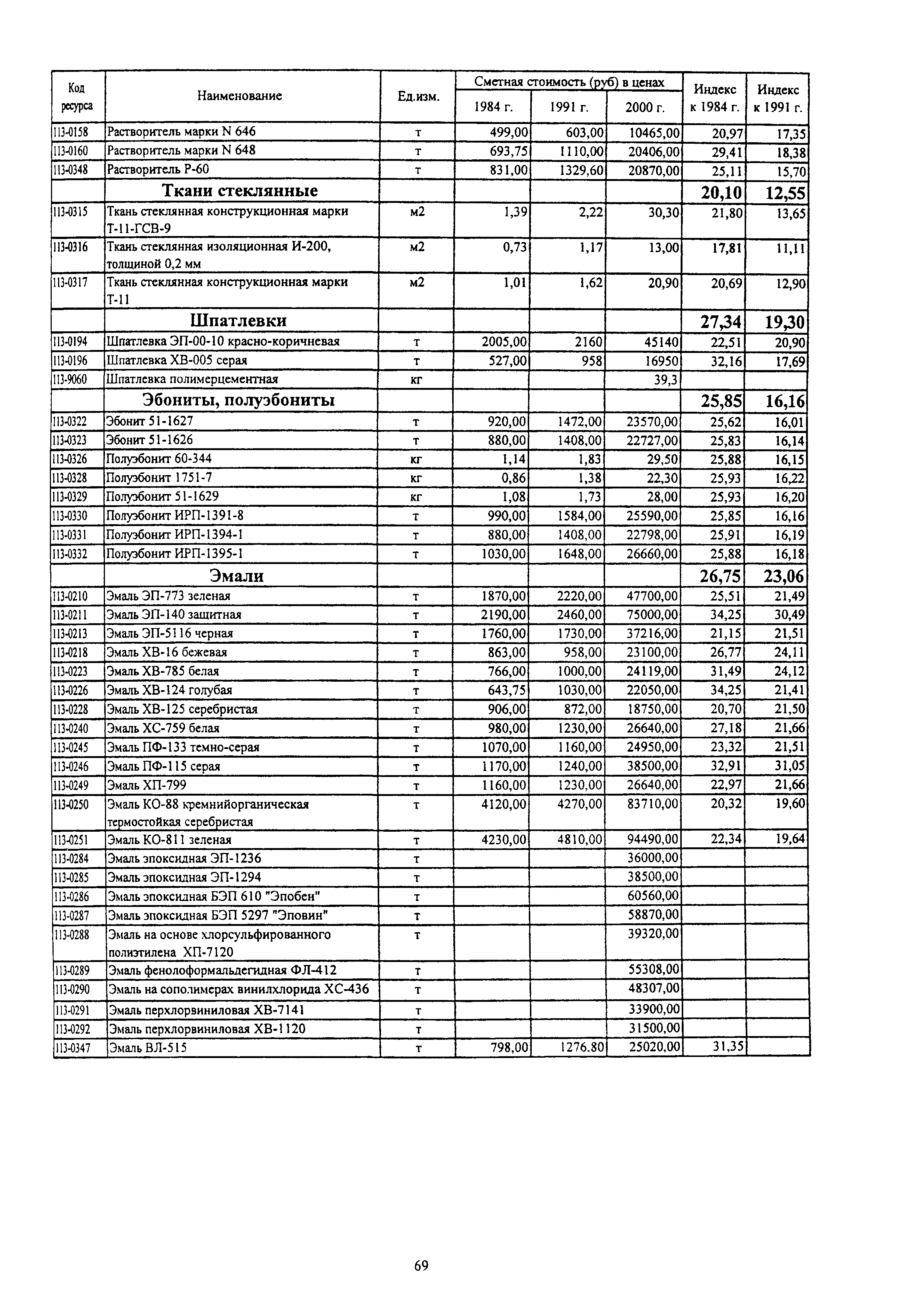
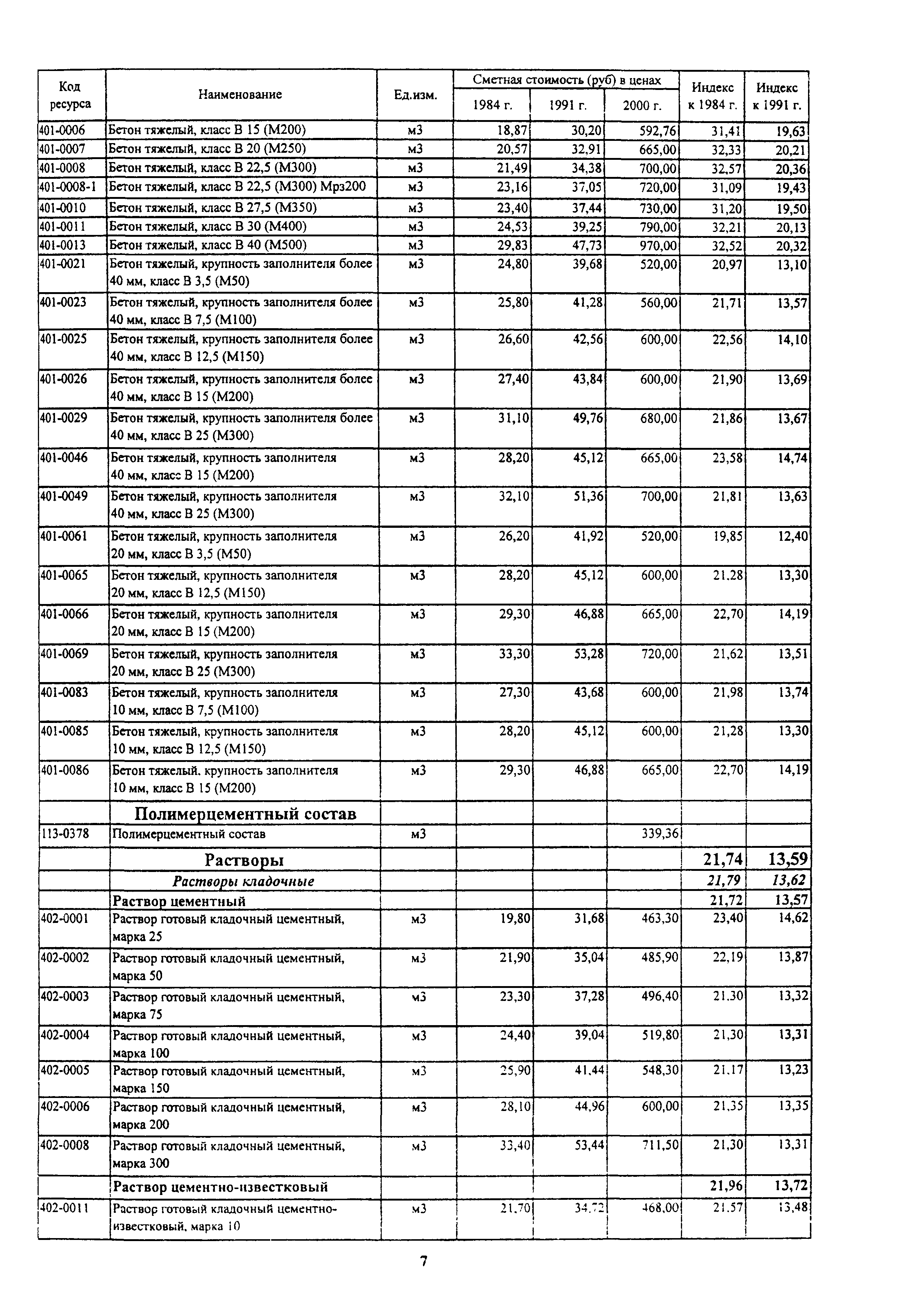
Часть 1. Строительные материалы

Статус:действует
Название рус.:Часть 1. Строительные материалы
Дата добавления в базу:01.09.2013
Дата актуализации:05.05.2017
Дата введения:13.05.2003
Оглавление:Общие указания по применению сборника средних сметных цен на материалы, изделия и конструкции для применения в Московской области по состоянию на 1 января 2000 года
   1.1 Строительные материалы
   1.2 Лесоматериалы
   1.3 Трубы
   1.4 Материалы теплоизоляционные и пористые наполнители
   1.5 Материалы верхнего строения путей
   1.6 Материалы для горнопроходческих работ
   1.7 Материалы для сооружений связи и ЛЭП
   1.8 Материалы для взрывных работ
   1.9 Материалы для антикоррозийных и защитных покрытий
   1.10 Растительная земельная смесь, удобрения, семена
   1.11 Материалы и изделия огнеупорные
Разработан: Мособлгосэкспертиза
Утверждён:13.05.2003 Мособлгосэкспертиза (5)
Издан: Мособлгосэкспертиза (2003 г. )
Расположен в:Техническая документация Экология СТРОИТЕЛЬНЫЕ МАТЕРИАЛЫ И СТРОИТЕЛЬСТВО Строительная промышленность Стоимость строительства и обслуживания зданий и сооружений -50 Стоимость строительных и строительно-монтажных работ Строительство Нормативные документы Нормативные документы субъектов Российской Федерации Нормативные документы Московской области
Список изменений:
  • № 1 (Мособлгосэкспертиза)
Нормативные ссылки:

Текстовое изменение № 1

№ 1№ 1№ 1№ 1№ 1№ 1№ 1№ 1№ 1№ 1№ 1№ 1№ 1№ 1№ 1№ 1№ 1

© 2013 Ёшкин Кот :-) Карта сайта