Информационная система
«Ёшкин Кот»

Скачать базу одним архивом
Скачать обновления
История создания базы
Карта сайта

Скачать Сборник форм договоров (контрактов) между заказчиком-застройщиком и другими участниками инвестиционной деятельности (с комментариями положений нового Гражданского кодекса Российской Федерации). Выпуск 2

Дата актуализации: 10.08.2017

Сборник форм договоров (контрактов) между заказчиком-застройщиком и другими участниками инвестиционной деятельности (с комментариями положений нового Гражданского кодекса Российской Федерации). Выпуск 2

Статус:действует
Название рус.:Сборник форм договоров (контрактов) между заказчиком-застройщиком и другими участниками инвестиционной деятельности (с комментариями положений нового Гражданского кодекса Российской Федерации). Выпуск 2
Дата добавления в базу:01.09.2013
Дата актуализации:05.05.2017
Дата введения:01.01.1996
Область применения:Рекомендации предназначены для организаций-заказчиков проектных (изыскательских) работ, проектных и изыскательских организаций вне зависимости профиля проектируемых объектов и организационно-правовых форм их построения.
Оглавление:1 Типовые формы контрактов (договоров) между заказчиком и проектировщиком (изыскателем) с рекомендациями по их применению
   1.1 Примерная типовая форма контракта (договора) между заказчиком и проектировщиком (изыскателем) на выполнение проектных и изыскательских работ
   Приложение 1 Определение терминов и понятий
   Приложение 2 Перечень основных и дополнительных работ
   Приложение 3 Техническое задание на проведение инженерных изысканий
   Приложение 4 Программа работ на выполнение изыскательских работ
   Приложение 5 Задание на проектирование
   Приложение 6 Календарный план выполнения работ
   Приложение 7 График выполнения Заказчиком обязательств по обеспечению Исполнителя оборудованием, материалами, изделиями, услугами и прочим при проведении инженерных изысканий
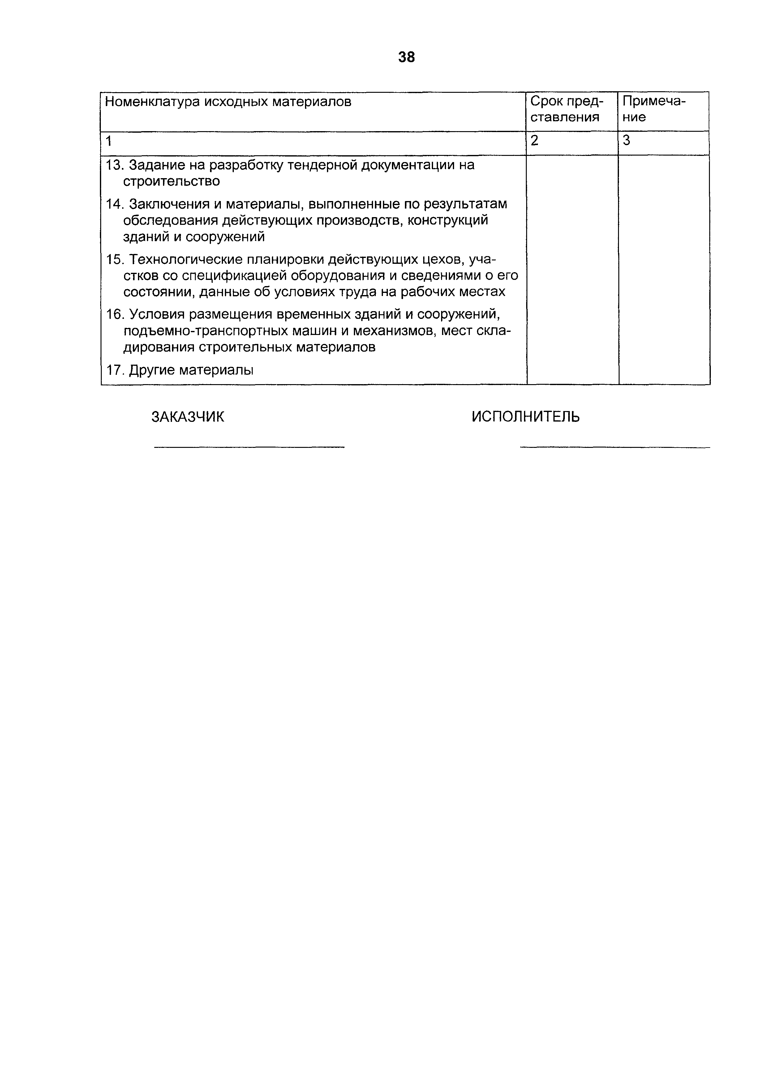
   Приложение 8 Перечень исходных данных и материалов, выдаваемых Заказчиком
   1.2 Примерный титульный лист типовой формы государственного контракта на выполнение подрядных проектных и изыскательских работ для государственных нужд
2 Условия договора строительного подряда:
   2.1 Раздел "Стоимость работ по договору и порядок ее корректировки"
   2.2 Раздел "Порядок платежей и расчетов"
   2.3 Раздел "Гарантии и поручительства"
   2.4 Раздел "Производство работ"
   2.5 Раздел "Меры имущественной ответственности"
3 Строительный подряд в Гражданском кодексе Российской Федерации. Комментарии
4 Договор поставки между заказчиком и заводом-изготовителем оборудования для строящегося объекта. Комментарии
Разработан: Консультационный центр ЦНИОпроект-ИНВЕСТ
Утверждён:01.01.1996 Консультационный центр ЦНИОпроект-ИНВЕСТ
Издан: КЦ ЦНИОпроект-ИНВЕСТ (1996 г. )
Расположен в:Техническая документация Экология СТРОИТЕЛЬНЫЕ МАТЕРИАЛЫ И СТРОИТЕЛЬСТВО Строительная промышленность Правовые аспекты Строительство Нормативно-правовые документы Договоры (контракты), соглашения, конкурсы Национальные стандарты Проектирование, строительство, ремонт и содержание автомобильных дорог Общие вопросы проектирования и строительства (реконструкции) автомобильных дорог
Нормативные ссылки:

© 2013 Ёшкин Кот :-) Карта сайта