| ||||||||||||||||||||||||||||||||||
Скачать ГОСТ 8430-67 Шины пневматические для большегрузных автомобилей, строительных, дорожных и подъемно-транспортных машинДата актуализации: 10.08.2017
|
| Обозначение: | ГОСТ 8430-67 |
| Обозначение англ: | GOST 8430-67 |
| Статус: | взамен |
| Название рус.: | Шины пневматические для большегрузных автомобилей, строительных, дорожных и подъемно-транспортных машин |
| Название англ.: | Pneumatic tires for trucks building, road and lifting vehicles |
| Дата добавления в базу: | 01.02.2017 |
| Дата актуализации: | 05.05.2017 |
| Область применения: | Стандарт распространяется на пневматические шины (покрышки, камеры и ободные ленты) для большегрузных автомобилей и тягачей (большой и особо большой грузоподъемности), работающих в особых условиях эксплуатации (стройки, карьеры лесоразработки, открытые угле- и рудоразработки), строительных, дорожных, погрузочно-разгрузочных и подъемно-транспортных машин, прицепов и полуприцепов. Стандарт не распространяется на шины специальных конструкций (регулируемого давления, широкопрофильные, типа Р и др.) и специального назначения (для работы в шахтах, рудниках и др.). |
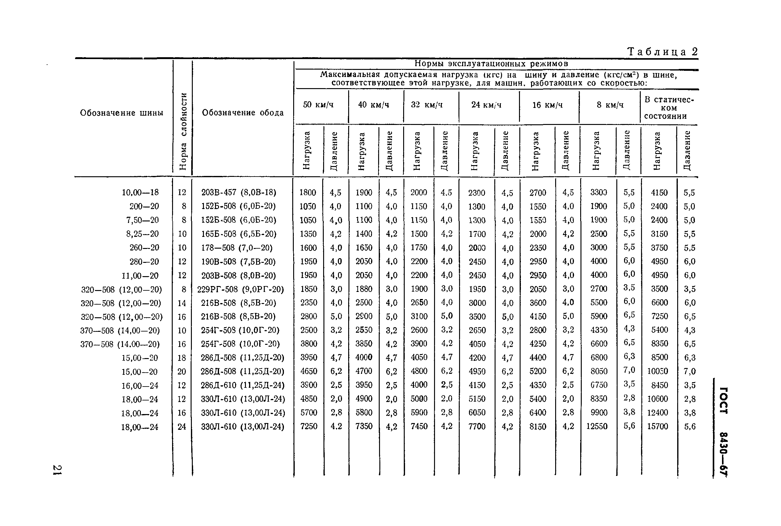
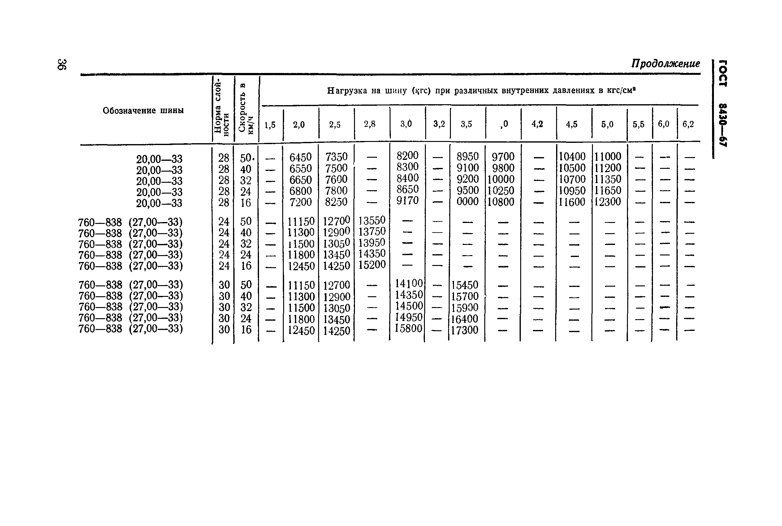
| Оглавление: | 1. Ассортимент, основные параметры и размеры 2. Технические требования 3. Методы испытаний 4. Маркировка, упаковка, транспортирование, эксплуатация и хранение Приложение 1 Типы рисунков протектора Приложение 2 Таблица норм нагрузок и давления шин при разных скоростях (для выбора размера шин и уточнения режима эксплуатации) |
| Утверждён: | 03.03.1967 Комитет стандартов, мер и измерительных приборов при Совете Министров СССР (Committee on Standards, Measures, and Measuring Instruments at the USSR Cabinet of Ministers ) |
| Издан: | Издательство стандартов (1975 г. ) |
| Расположен в: | |
| Заменяет собой: |
|
| Чем заменён: |
|
| Нормативные ссылки: |





























