Информационная система
«Ёшкин Кот»

Скачать базу одним архивом
Скачать обновления
История создания базы
Карта сайта

Скачать ГОСТ 7681-55 Канаты стальные. Канат (трос) многопрядный типа ЛК-О 18 x 7 = 126 проволок с органическим сердечником. Прядь 1+6

Дата актуализации: 10.08.2017

ГОСТ 7681-55

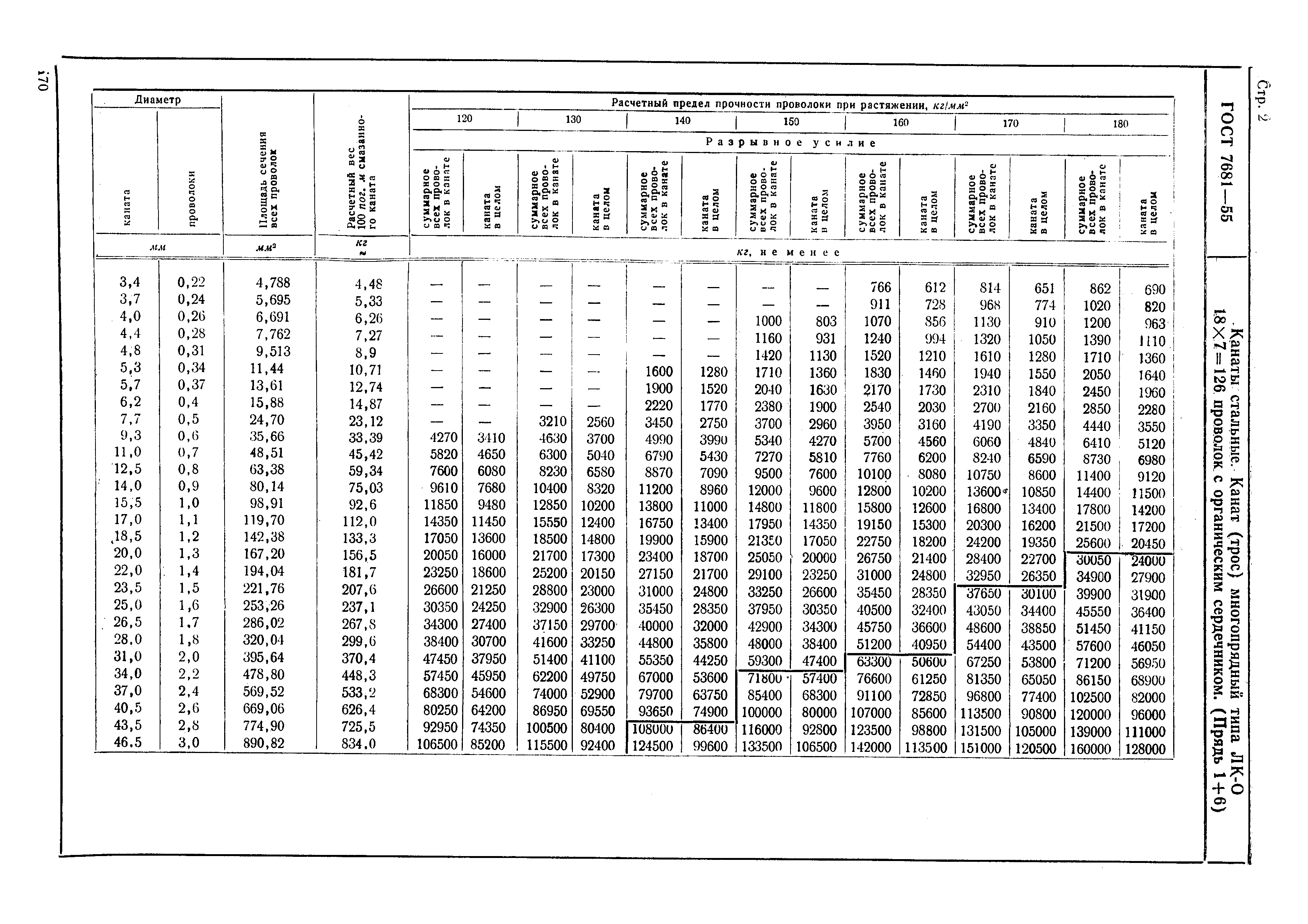
Канаты стальные. Канат (трос) многопрядный типа ЛК-О 18 x 7 = 126 проволок с органическим сердечником. Прядь 1+6

Обозначение: ГОСТ 7681-55
Обозначение англ: GOST 7681-55
Статус:действует
Название рус.:Канаты стальные. Канат (трос) многопрядный типа ЛК-О 18 x 7 = 126 проволок с органическим сердечником. Прядь 1+6
Дата добавления в базу:01.02.2017
Дата актуализации:05.05.2017
Область применения:Стандарт распространяется на стальные канаты (тросы) многопрядные с линейным касанием проволок в прядях, типа ЛК-О, с одним органическим сердечником.
Разработан: Министерство черной металлургии СССР
Утверждён:10.10.1955 Комитет стандартов, мер и измерительных приборов при Совете Министров Союза ССР
Издан: Издательство стандартов (1956 г. )
Расположен в:Техническая документация
Чем заменён:
  • ГОСТ 7681-66 «Канаты стальные. Канат двойной свивки многопрядный типа ЛК-О конструкции 18х7(1+6)+1 О. С.» (Сведения из перечня "Указатель государственных стандартов СССР 1970 г.", Издательство комитета стандартов 1970)
Нормативные ссылки:
ГОСТ 7681-55ГОСТ 7681-55ГОСТ 7681-55ГОСТ 7681-55

© 2013 Ёшкин Кот :-) Карта сайта